在哪儿资讯网
首页
科技战
去马头整点薯条
筑招网
听雨听世界静听泉落涧
从零到壹gE
说说传娱566
首页
›
跟张老师考满分数学
›
五年级下册数学计算题大全 (小学四年级下册数学计算题)
五年级下册数学计算题大全 (小学四年级下册数学计算题)
🏷️
跟张老师考满分数学
✍️ 全科知识分享,部分资料来源于网络,如若侵权,请联系删除
📅 2026-04-26T00:45:30+00:00
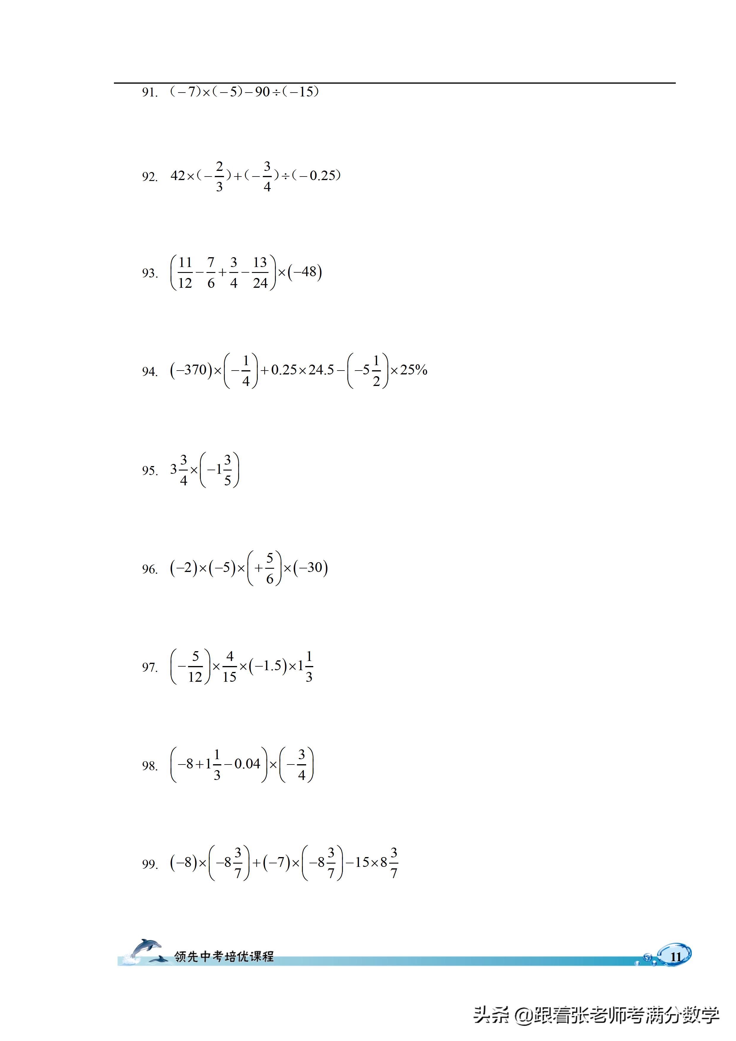
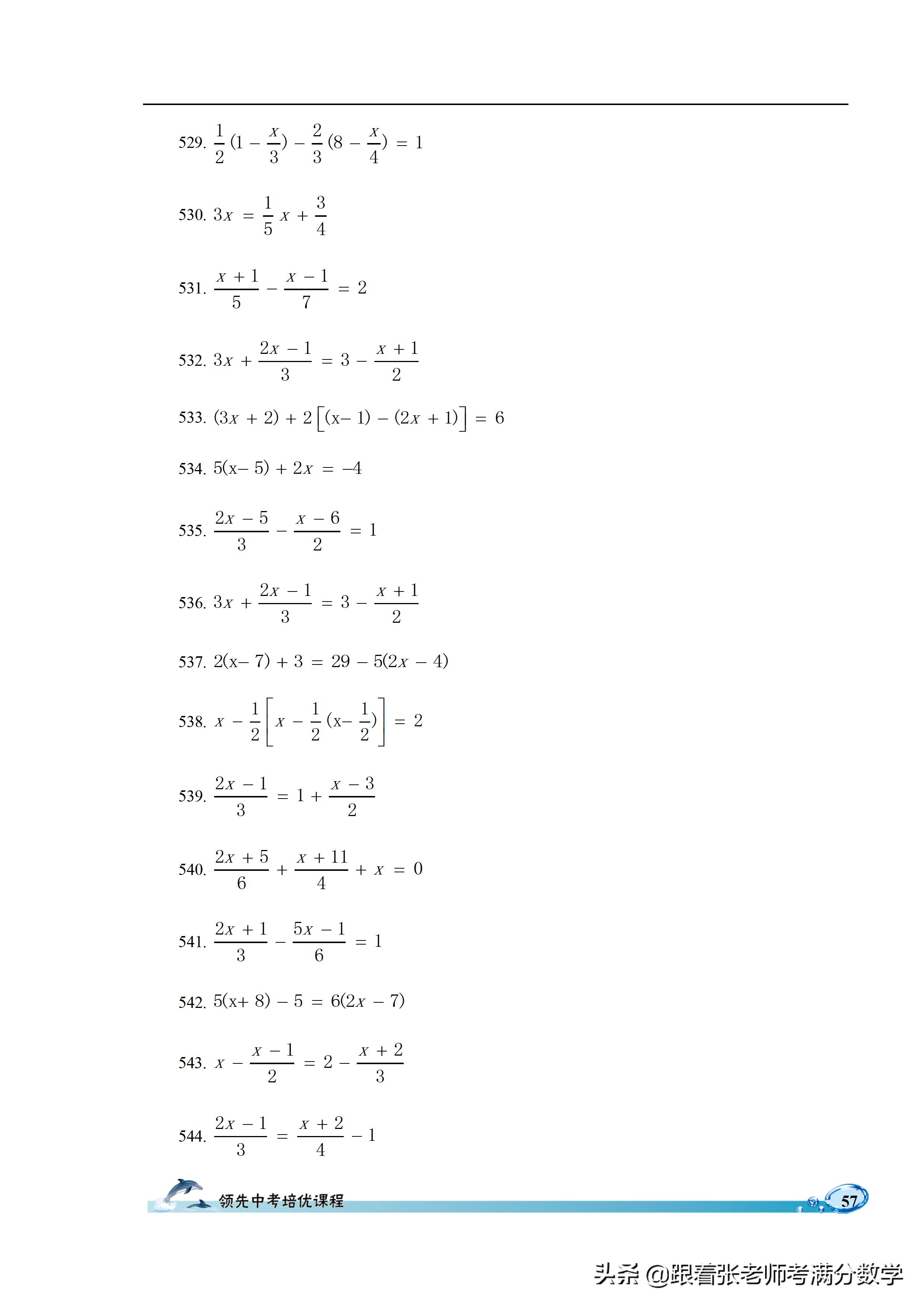
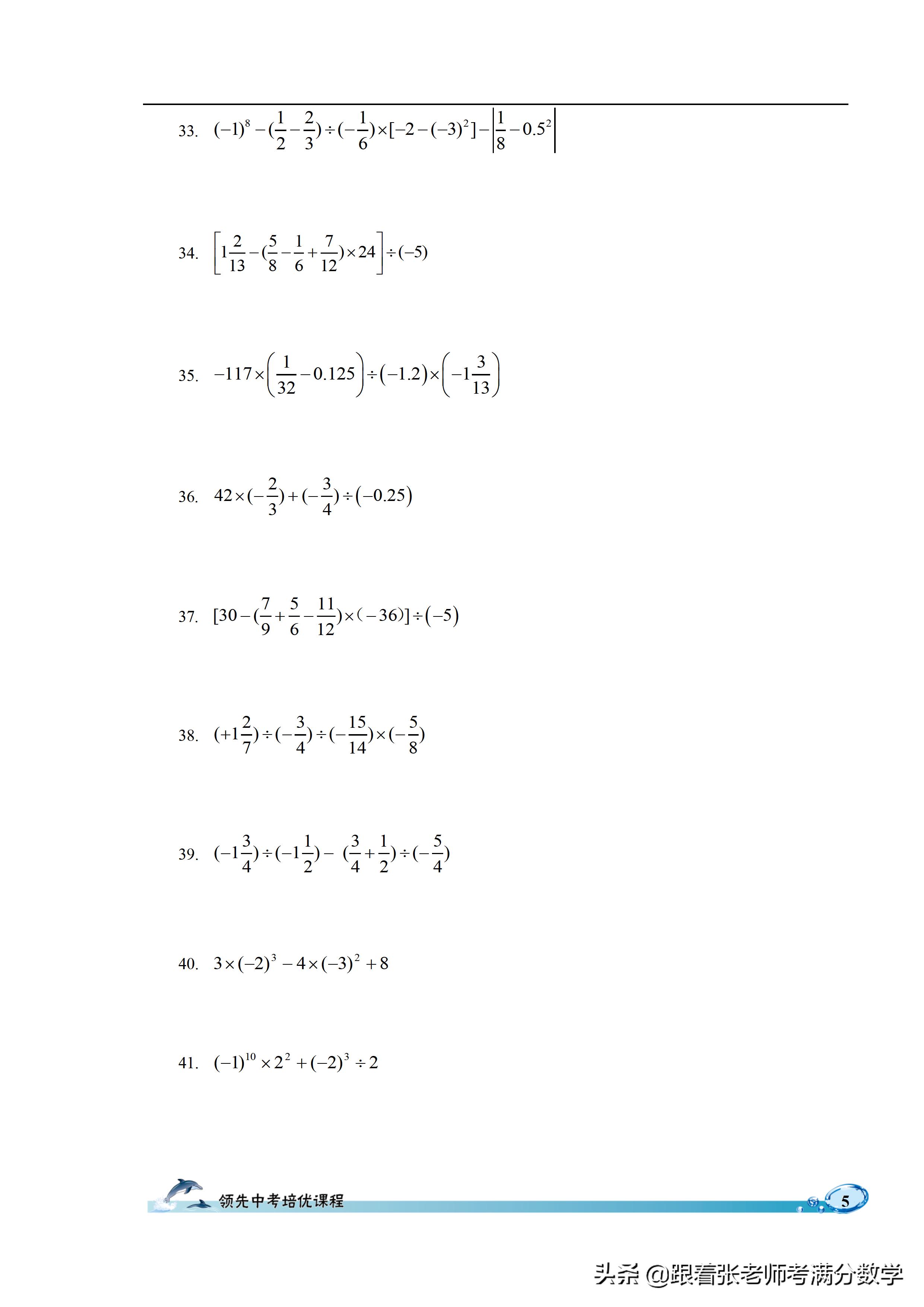
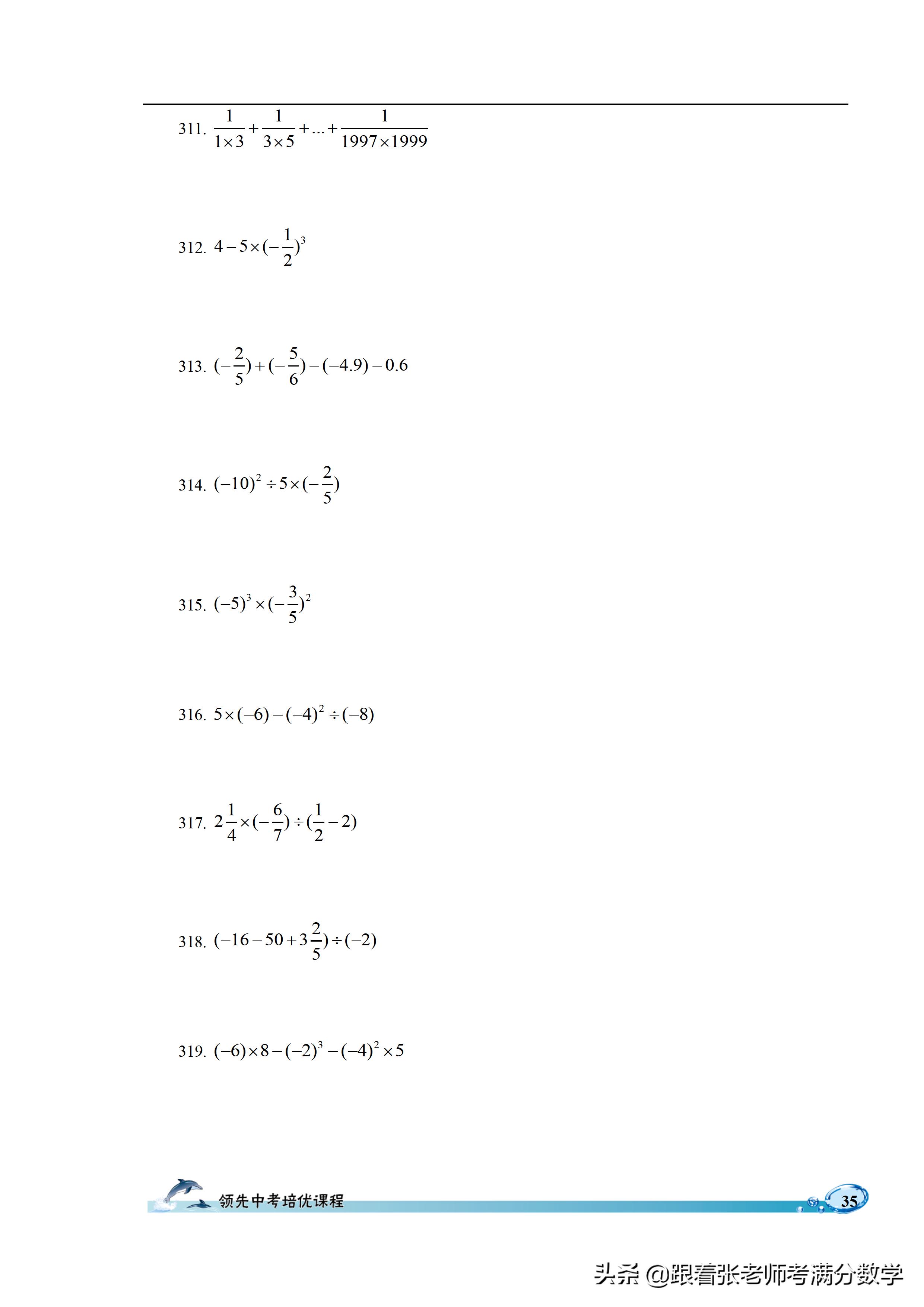
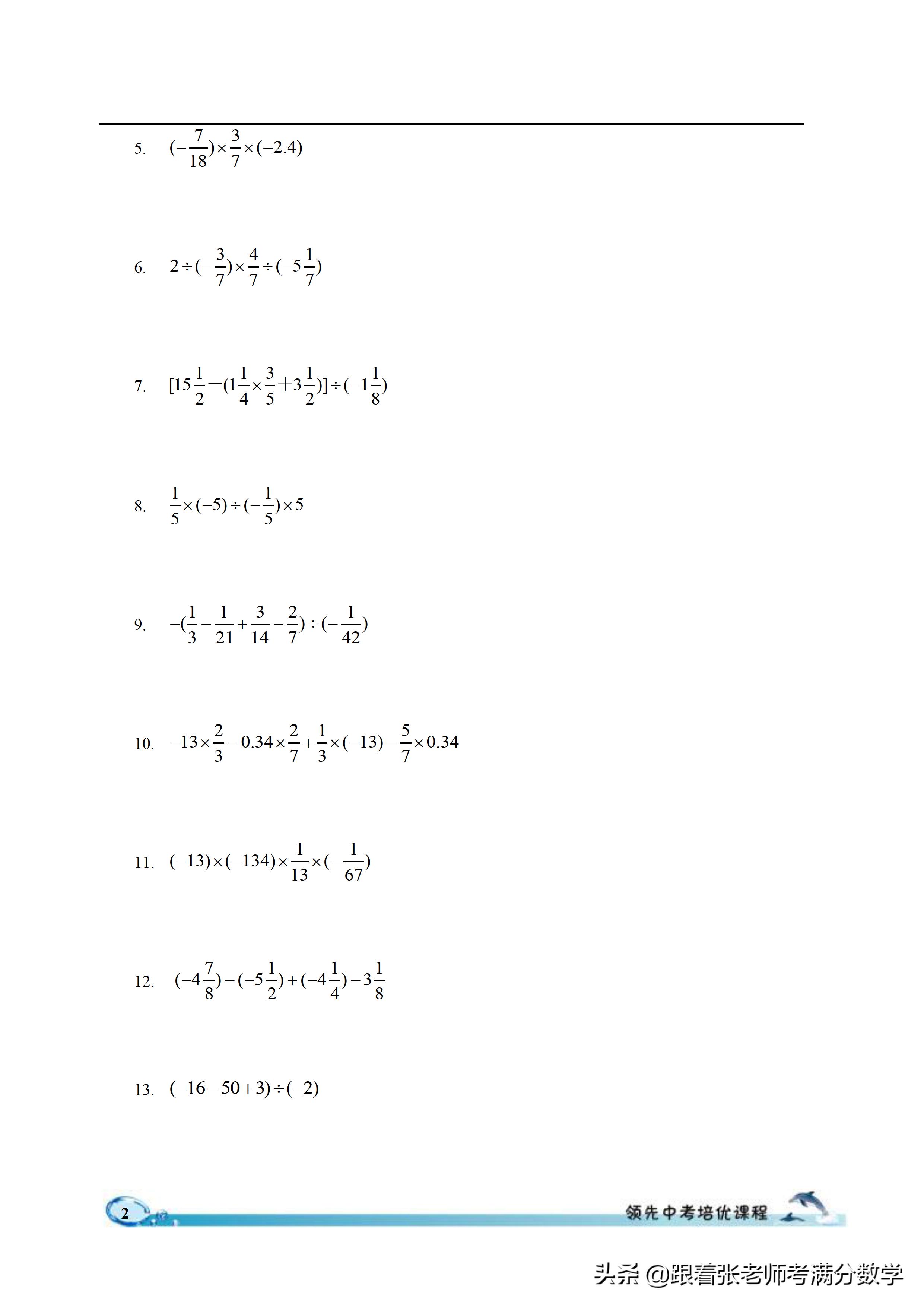
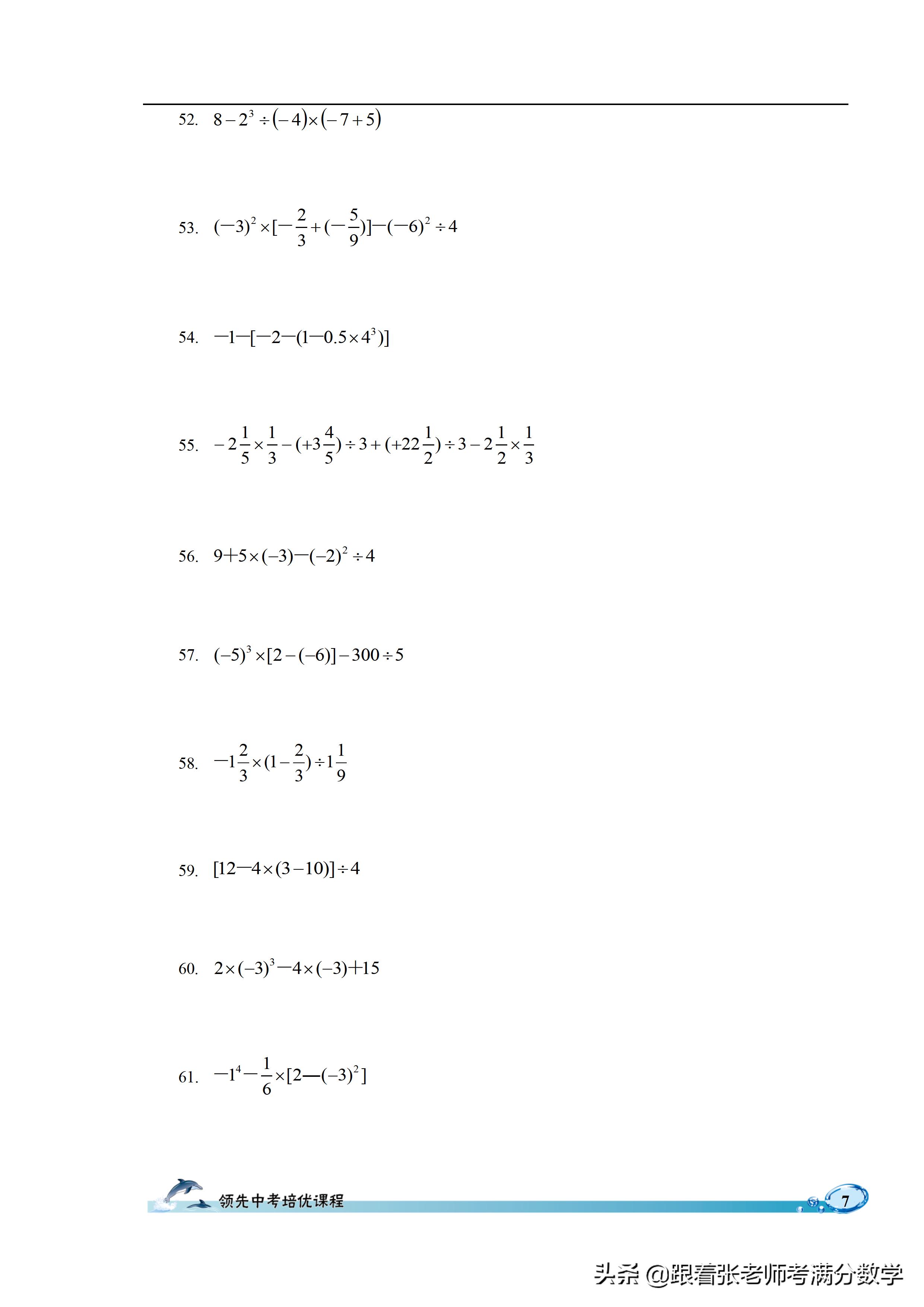
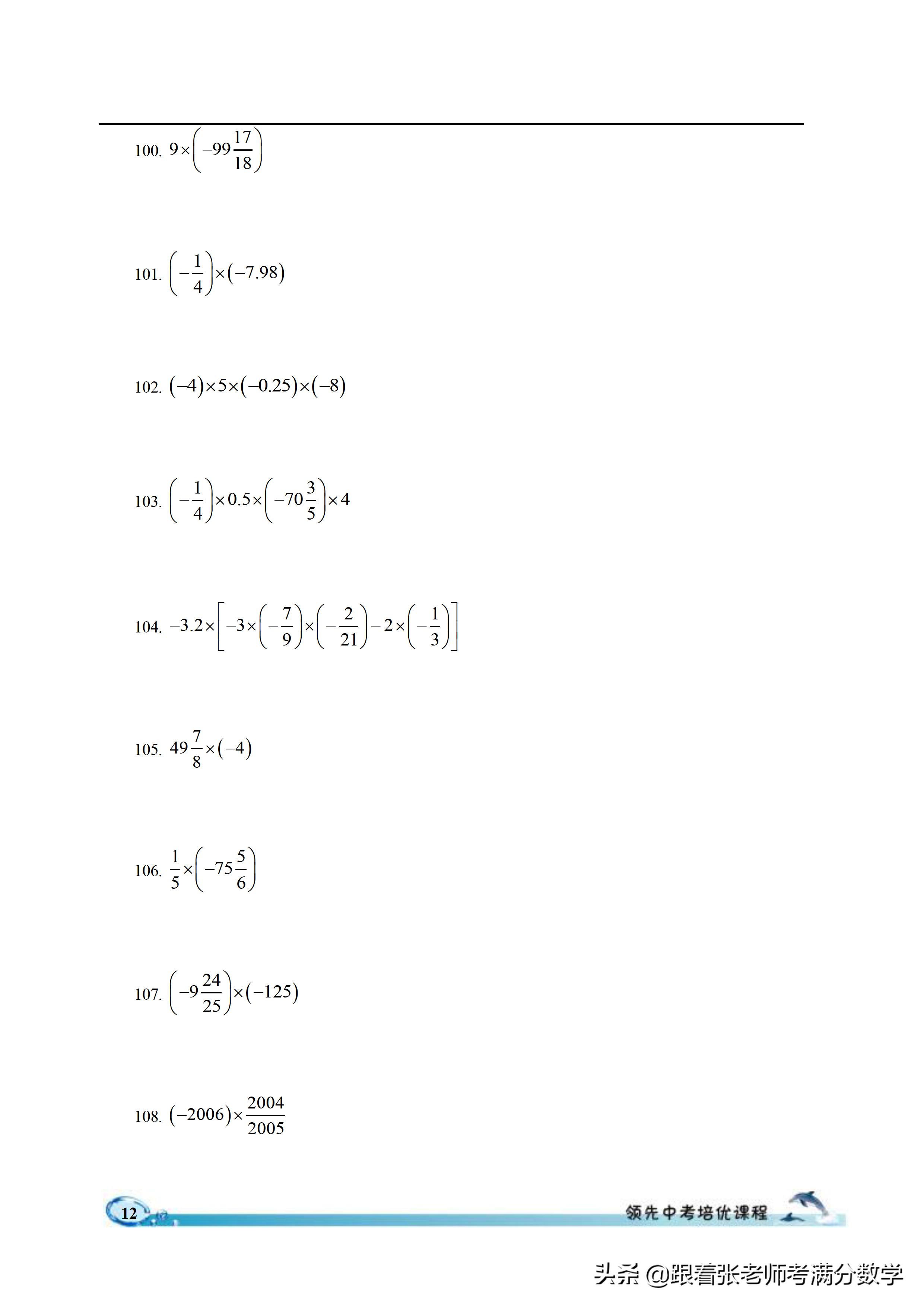
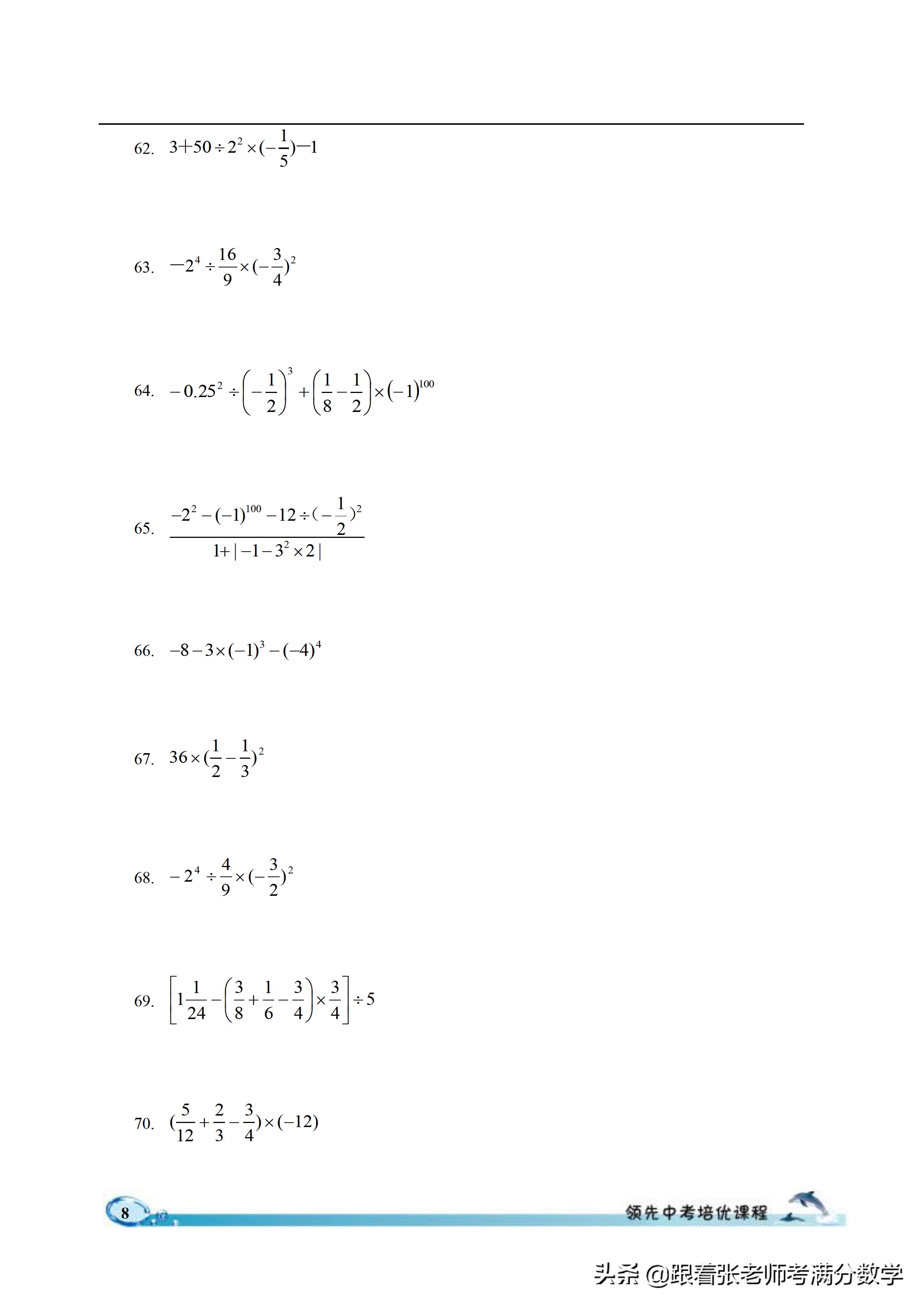
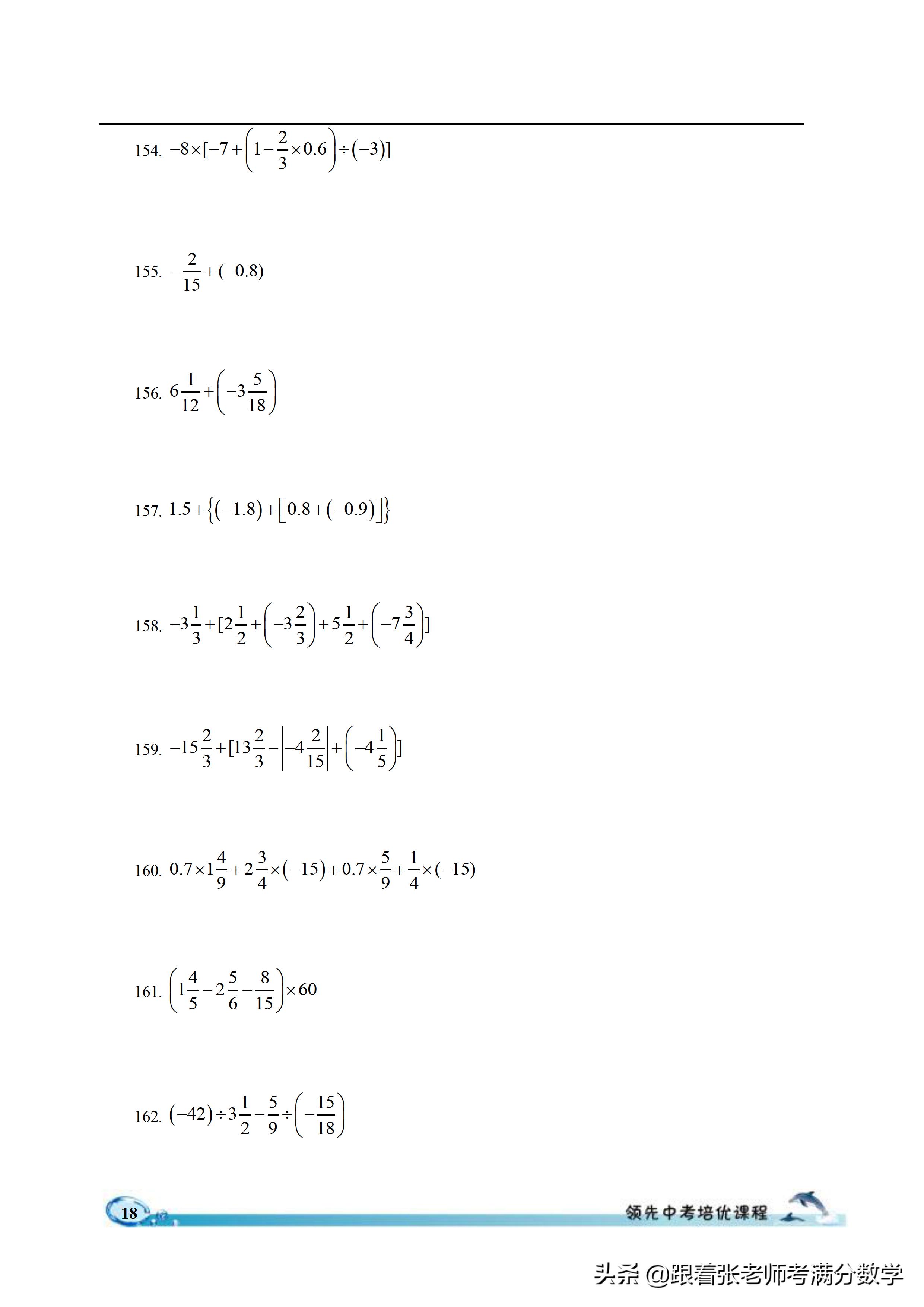
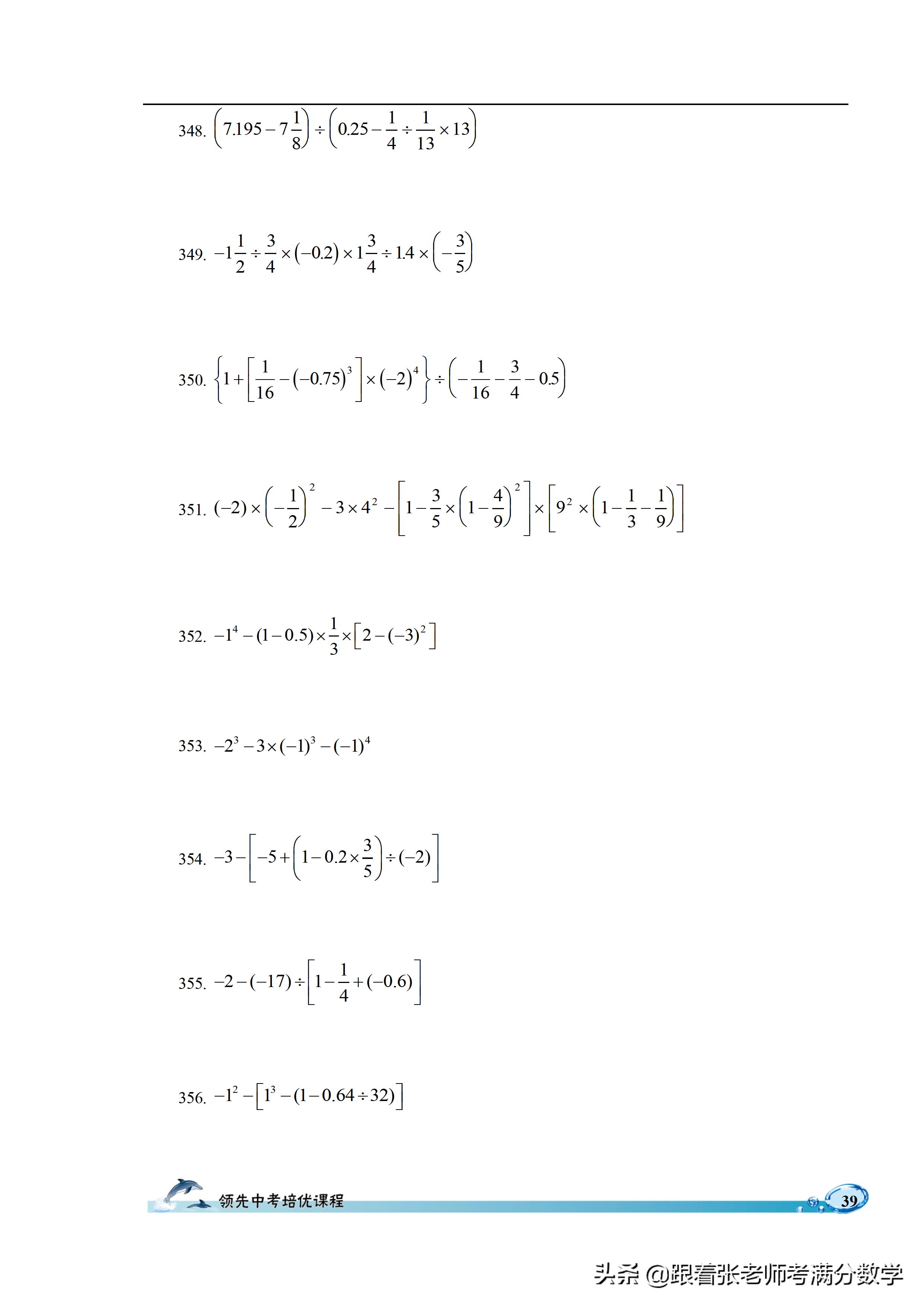
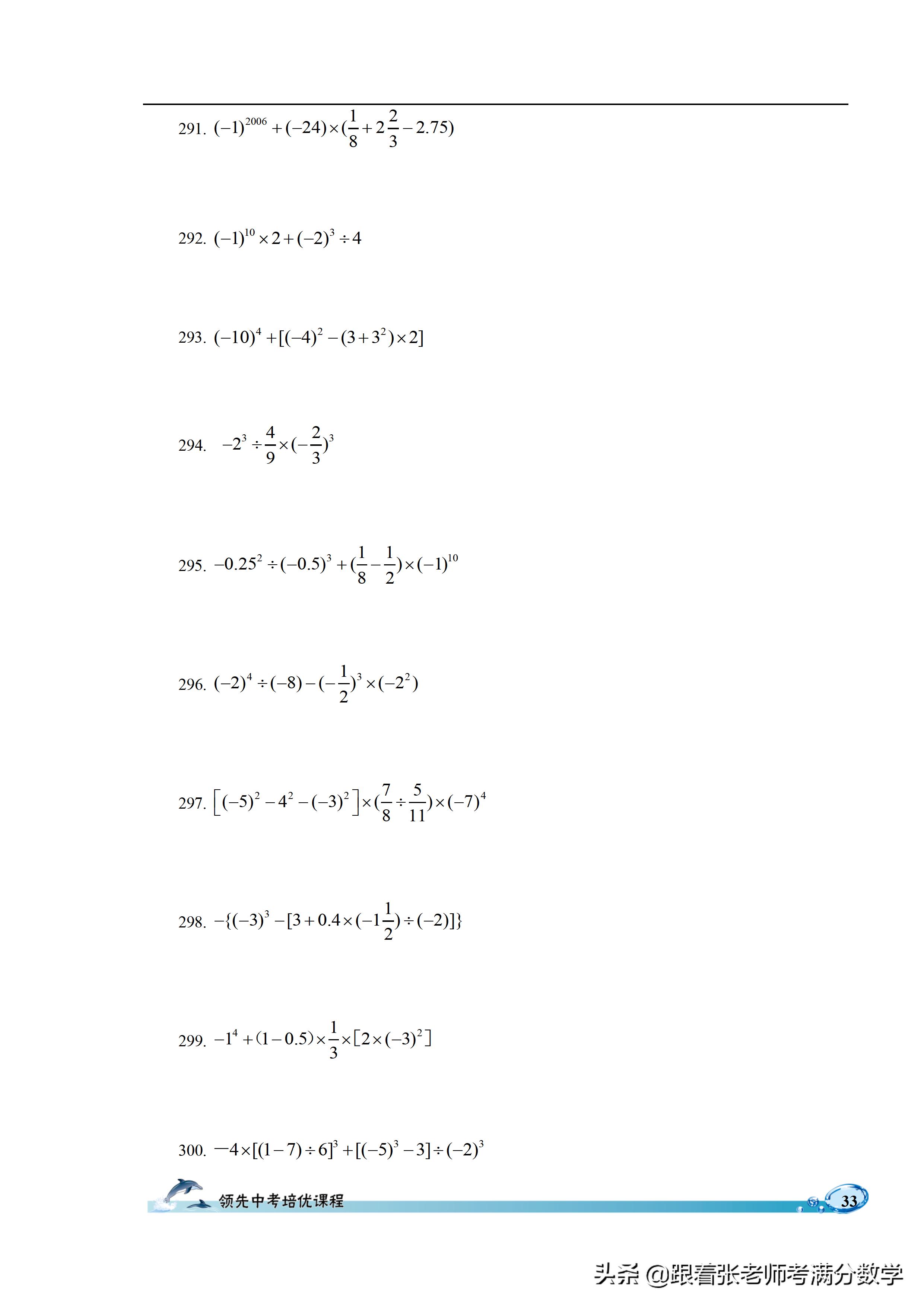
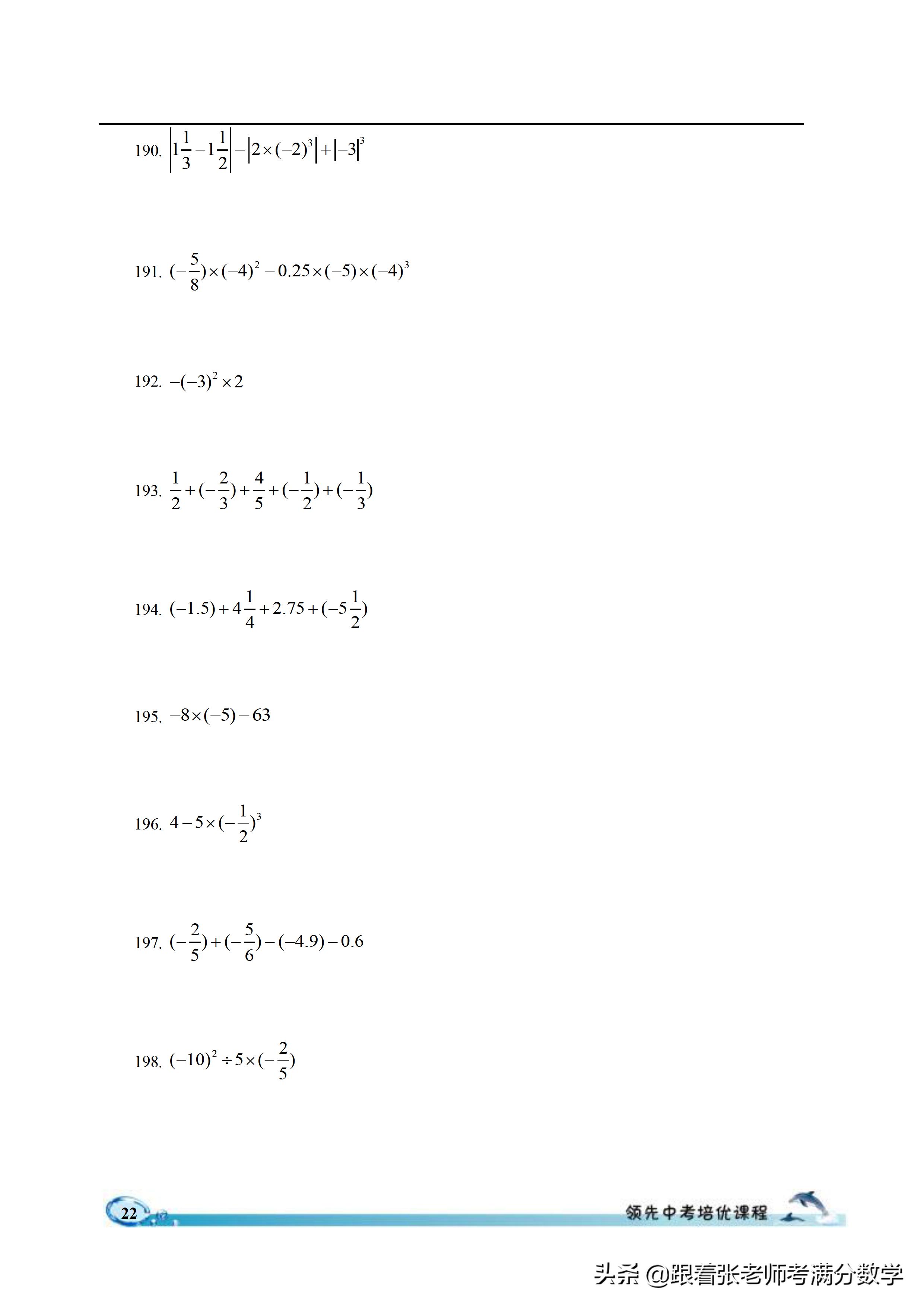
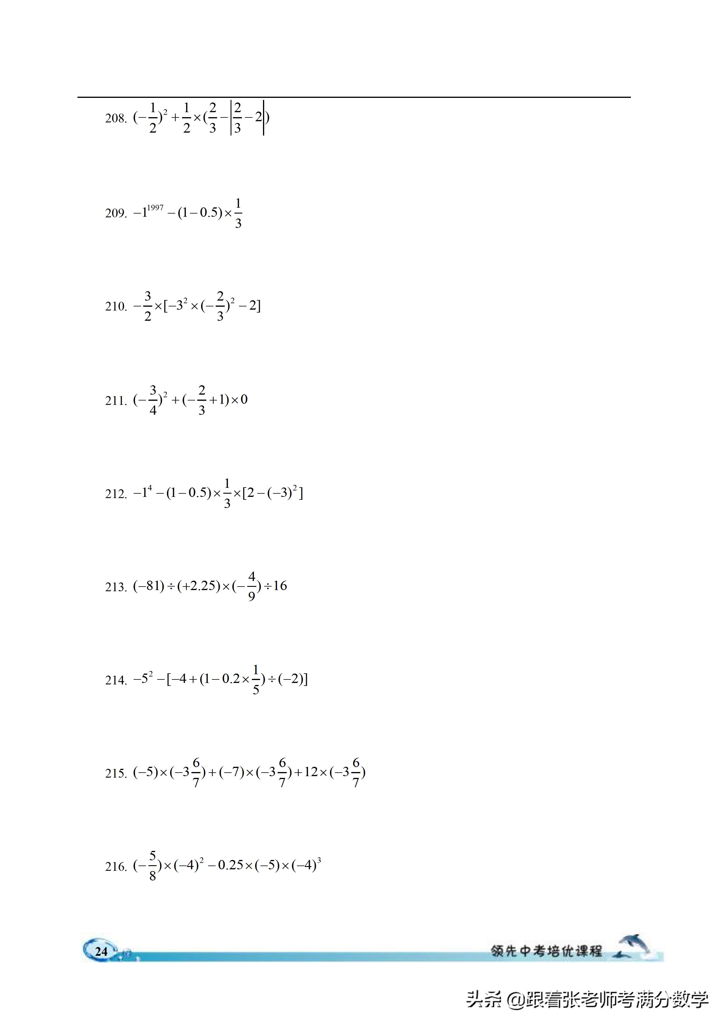
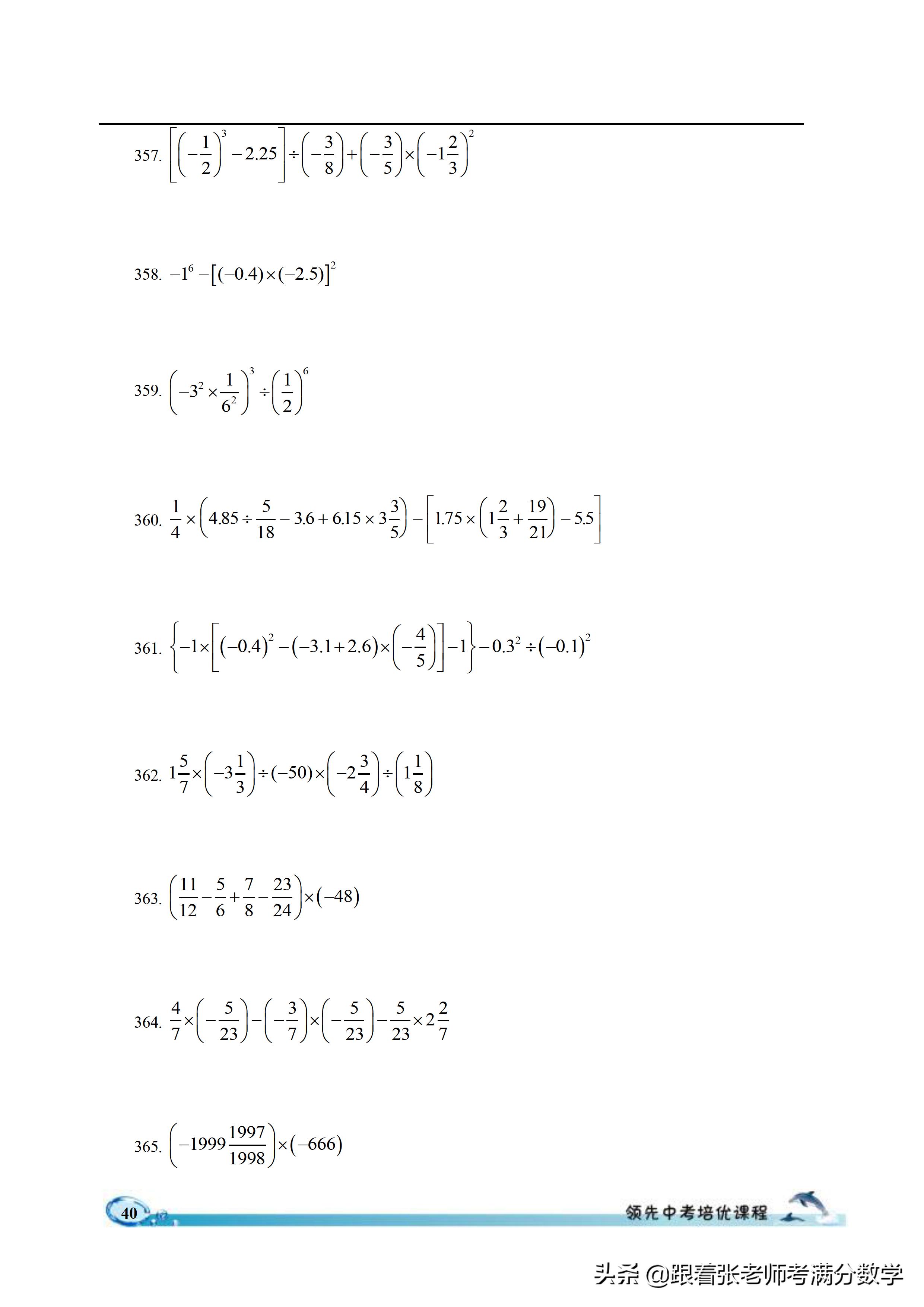
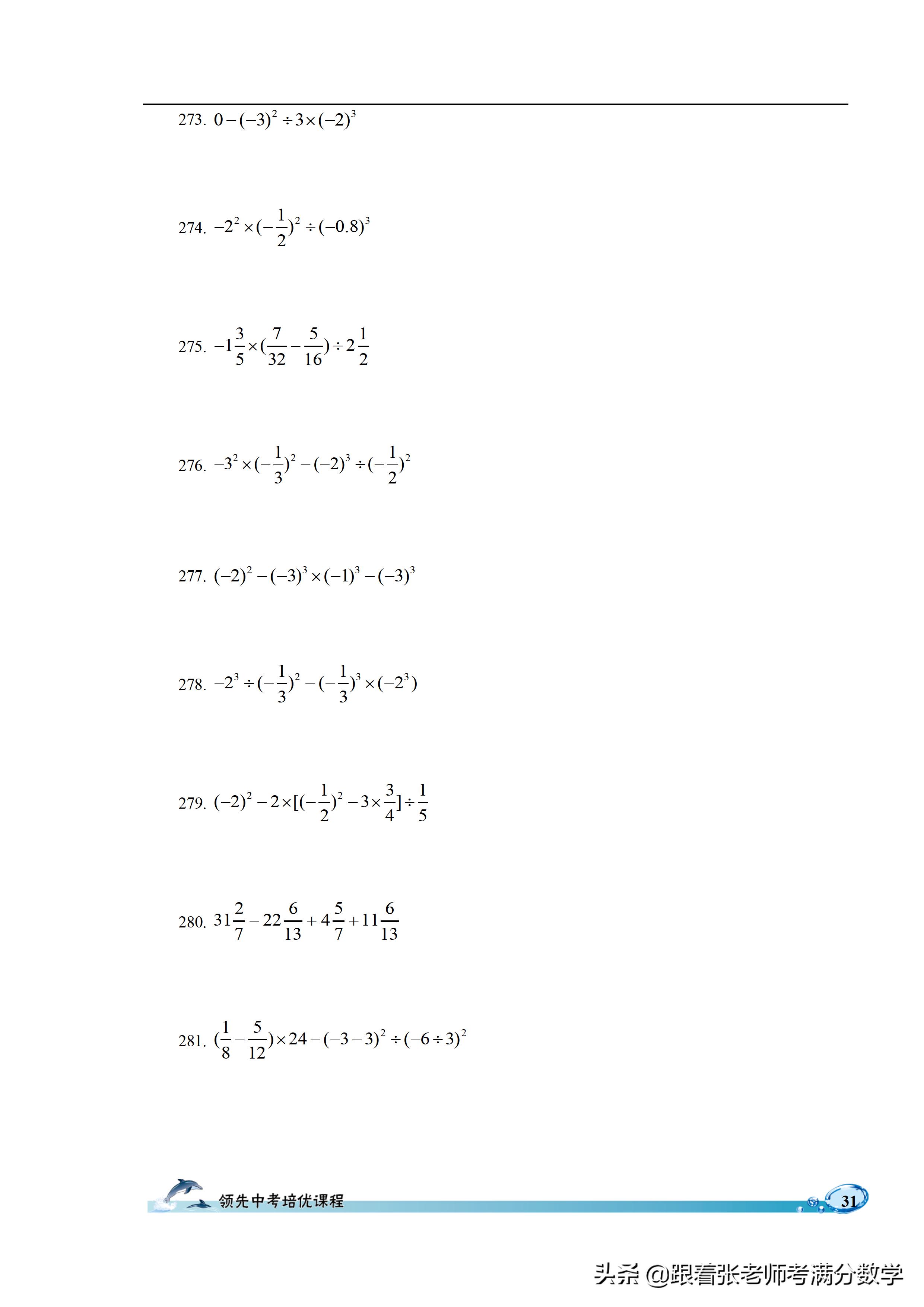
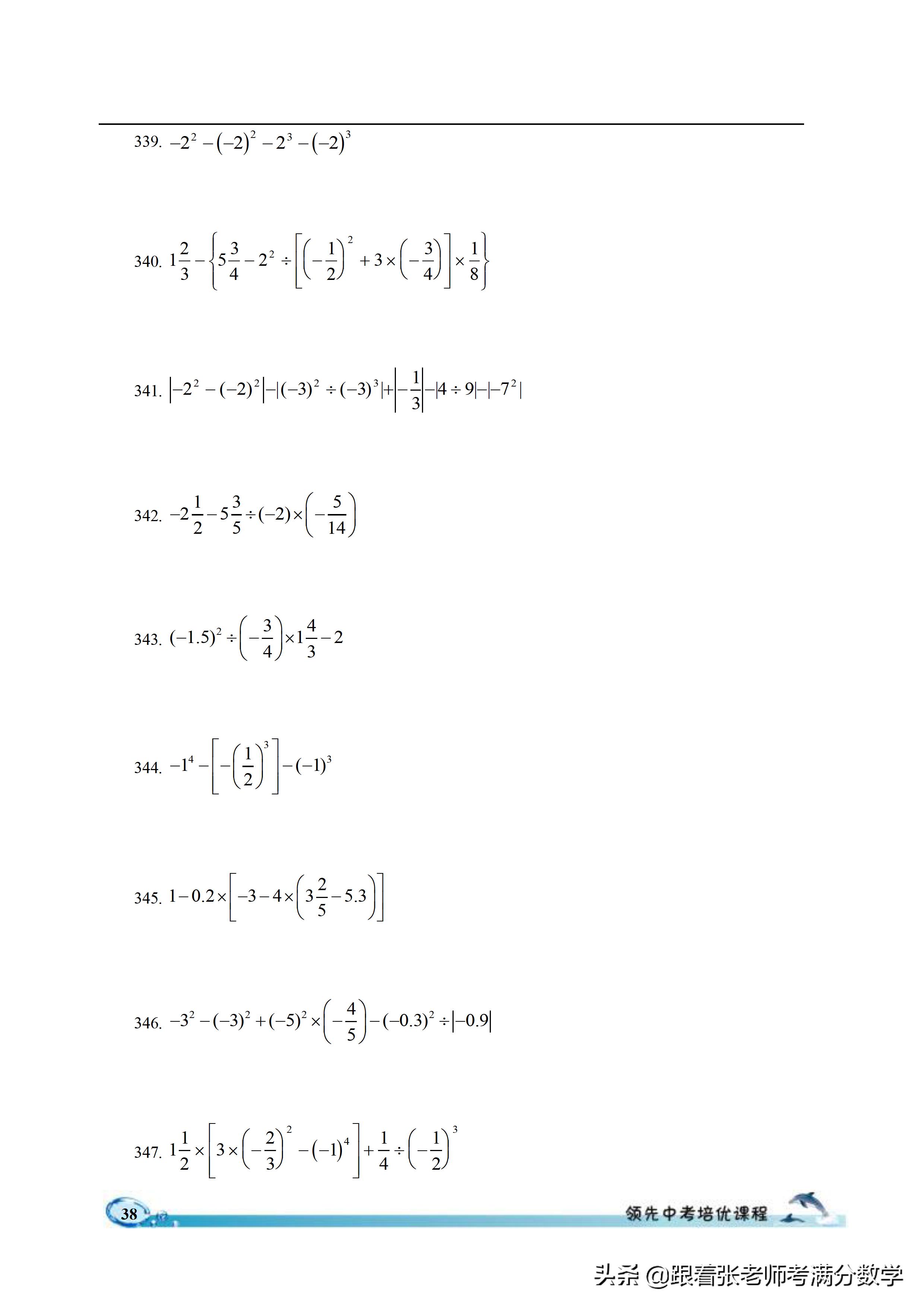
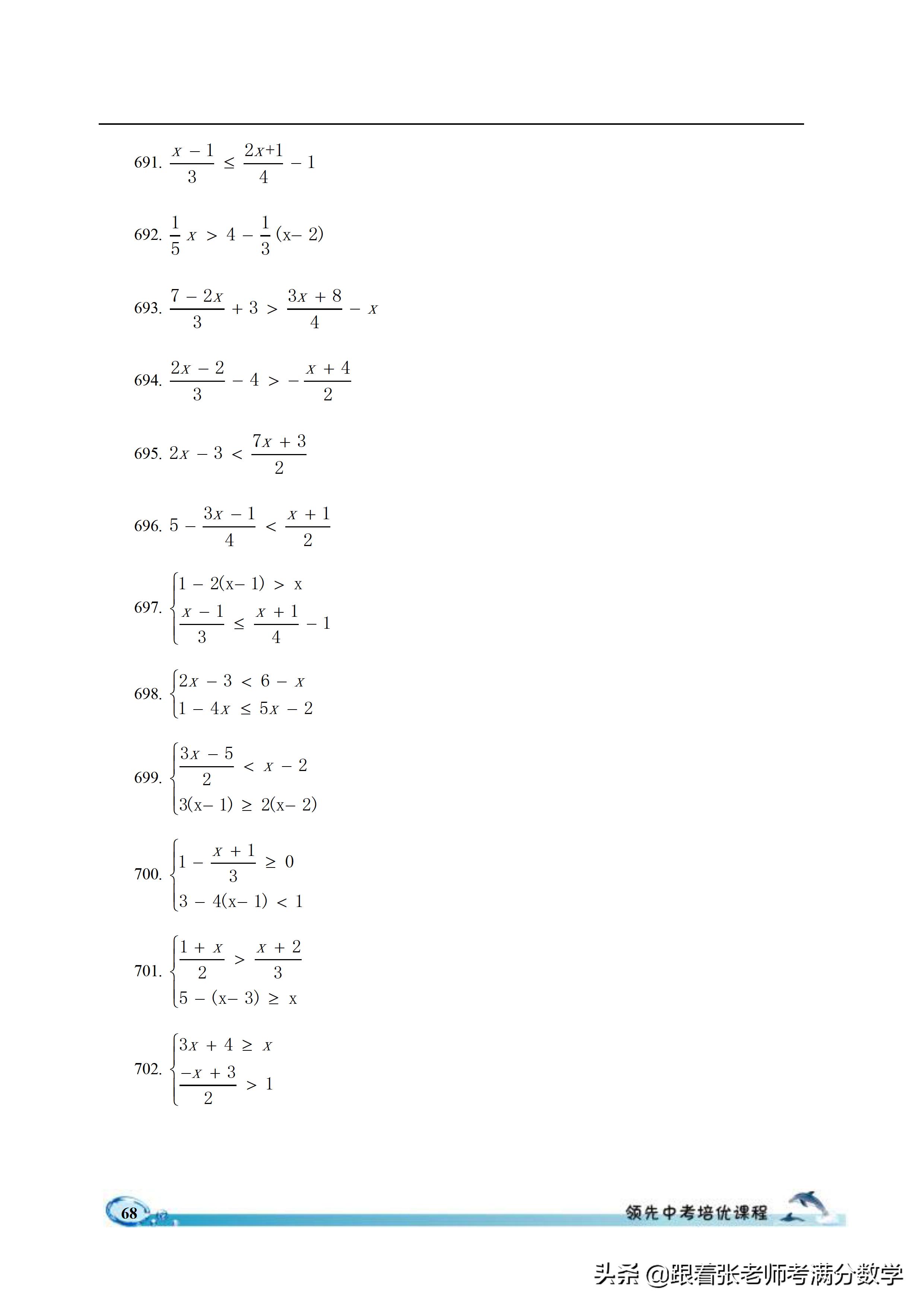
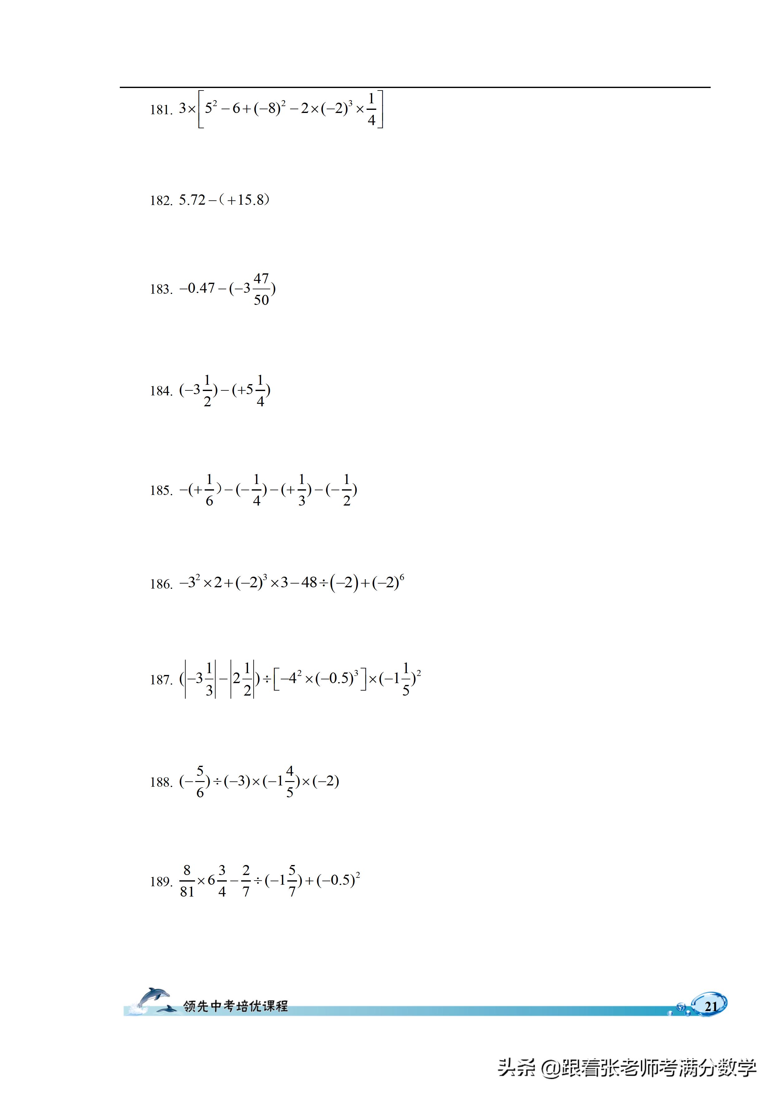
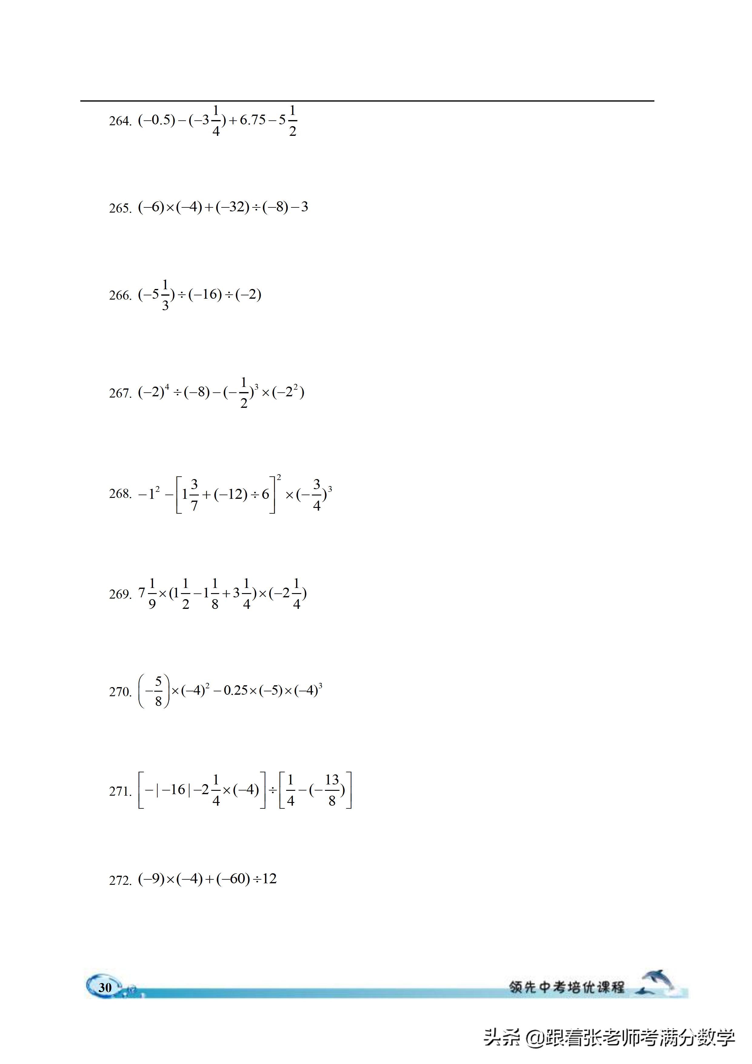
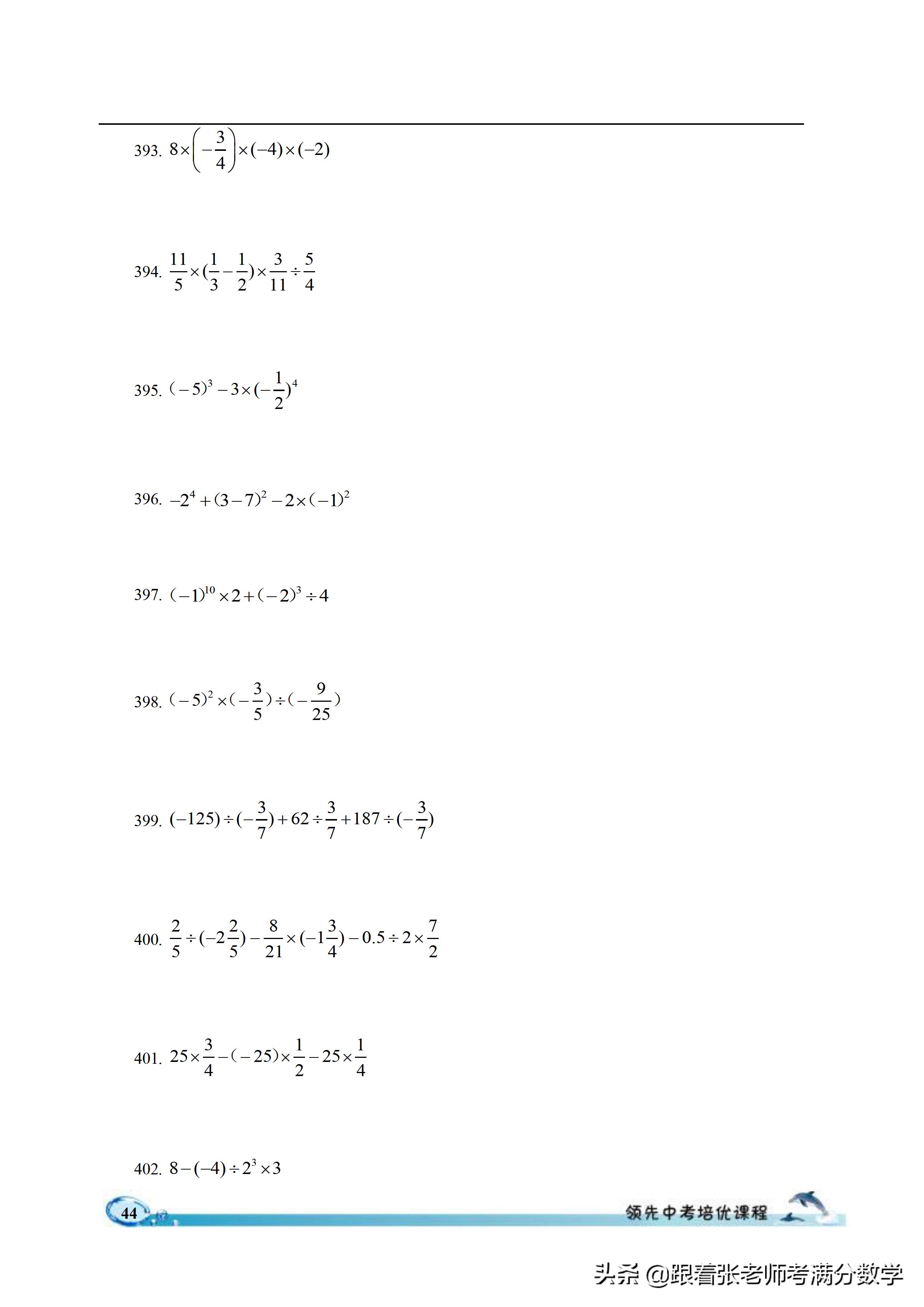
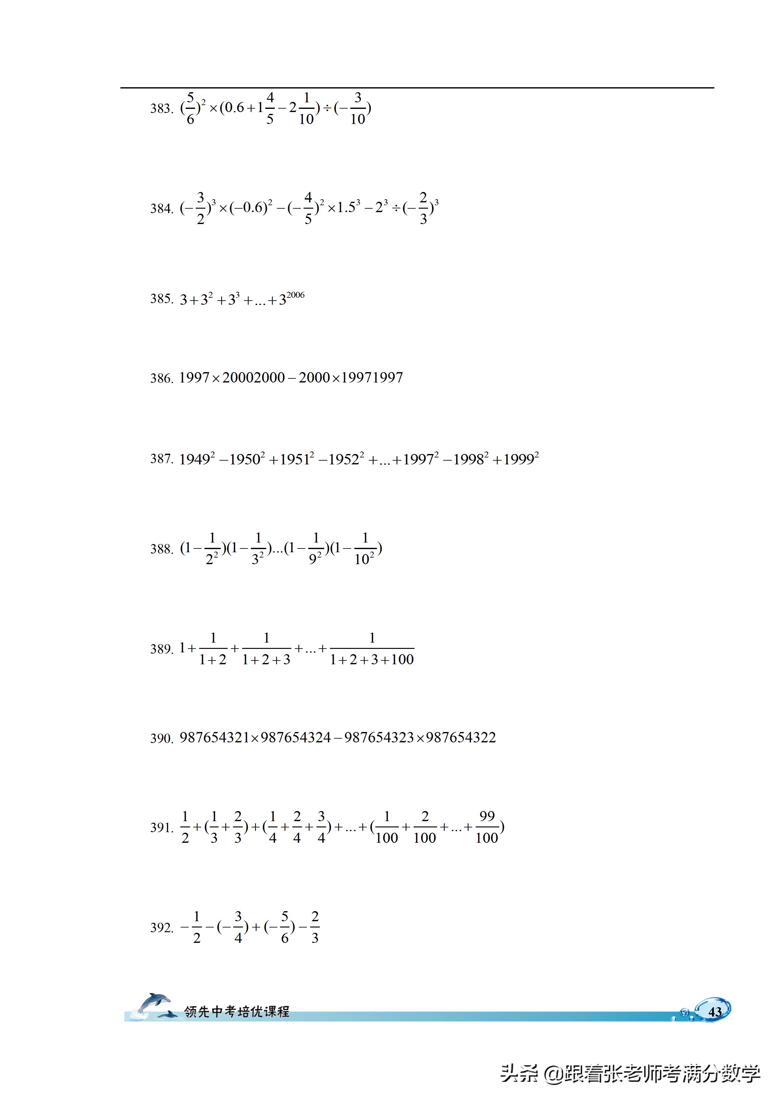
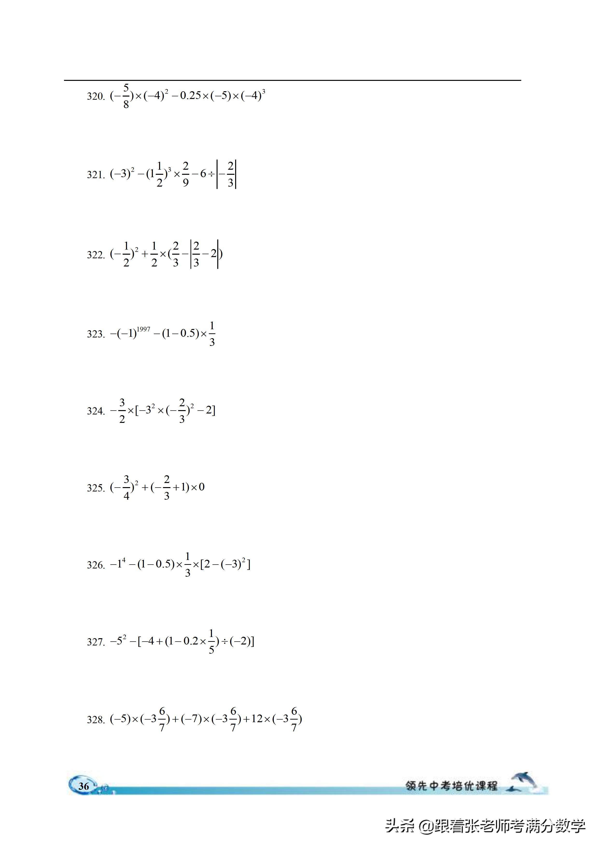
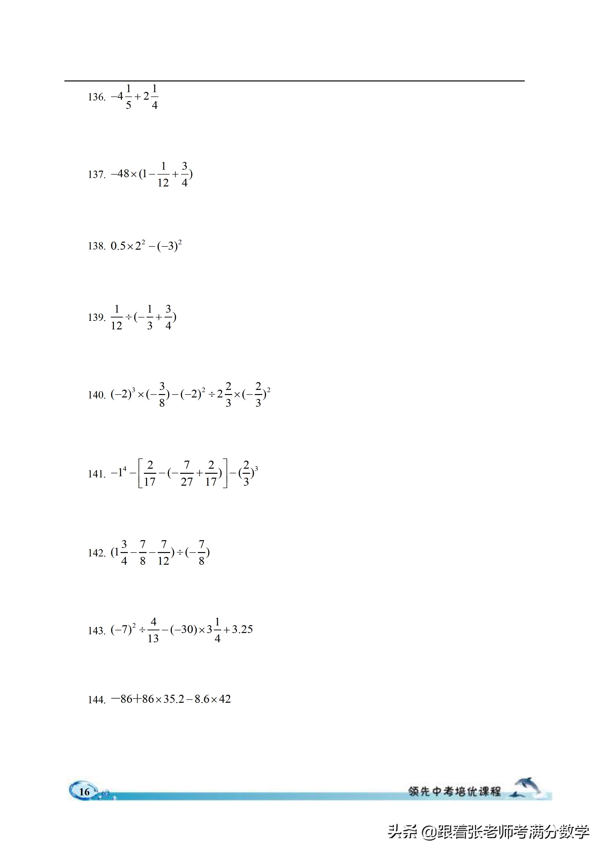
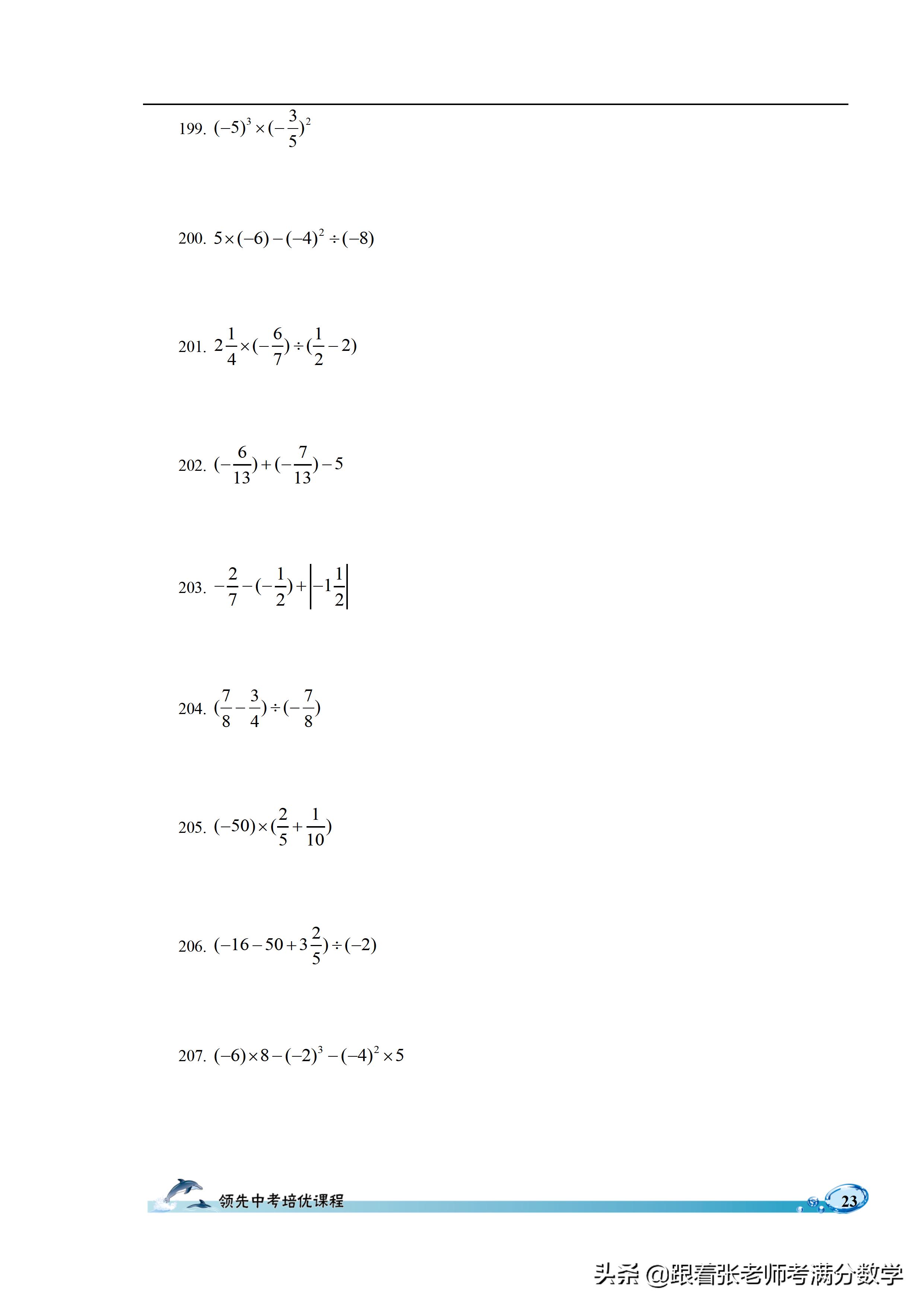
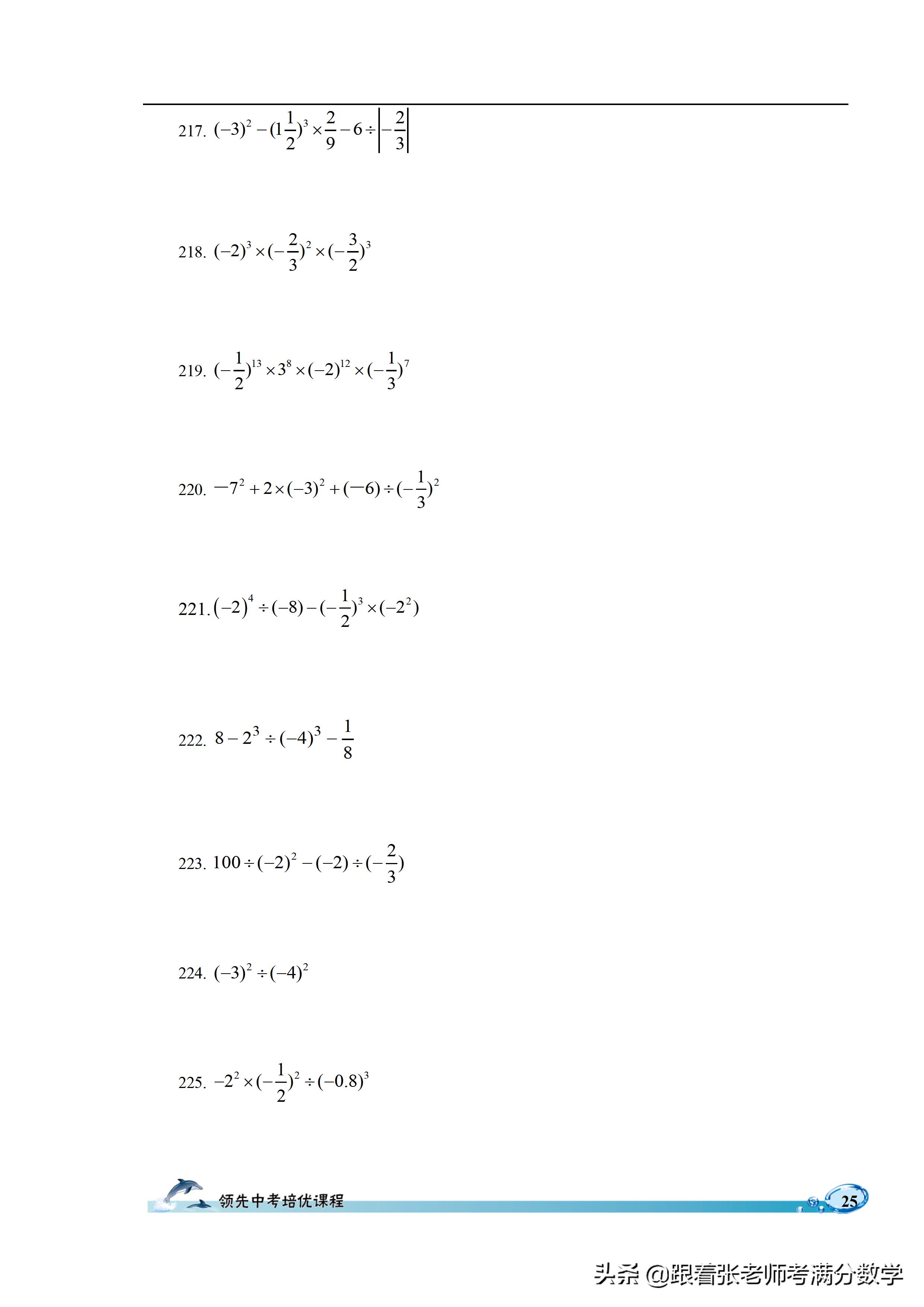
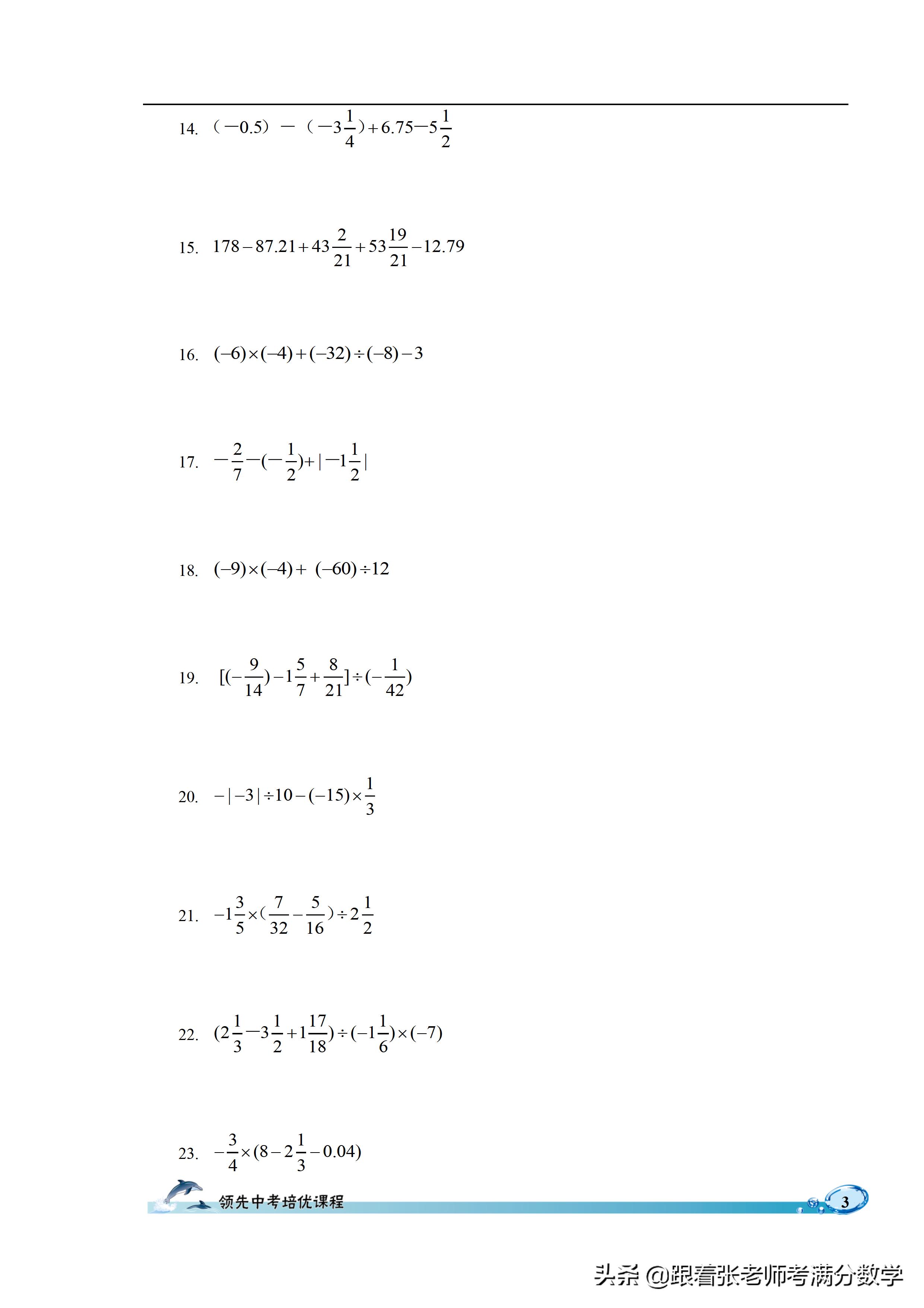
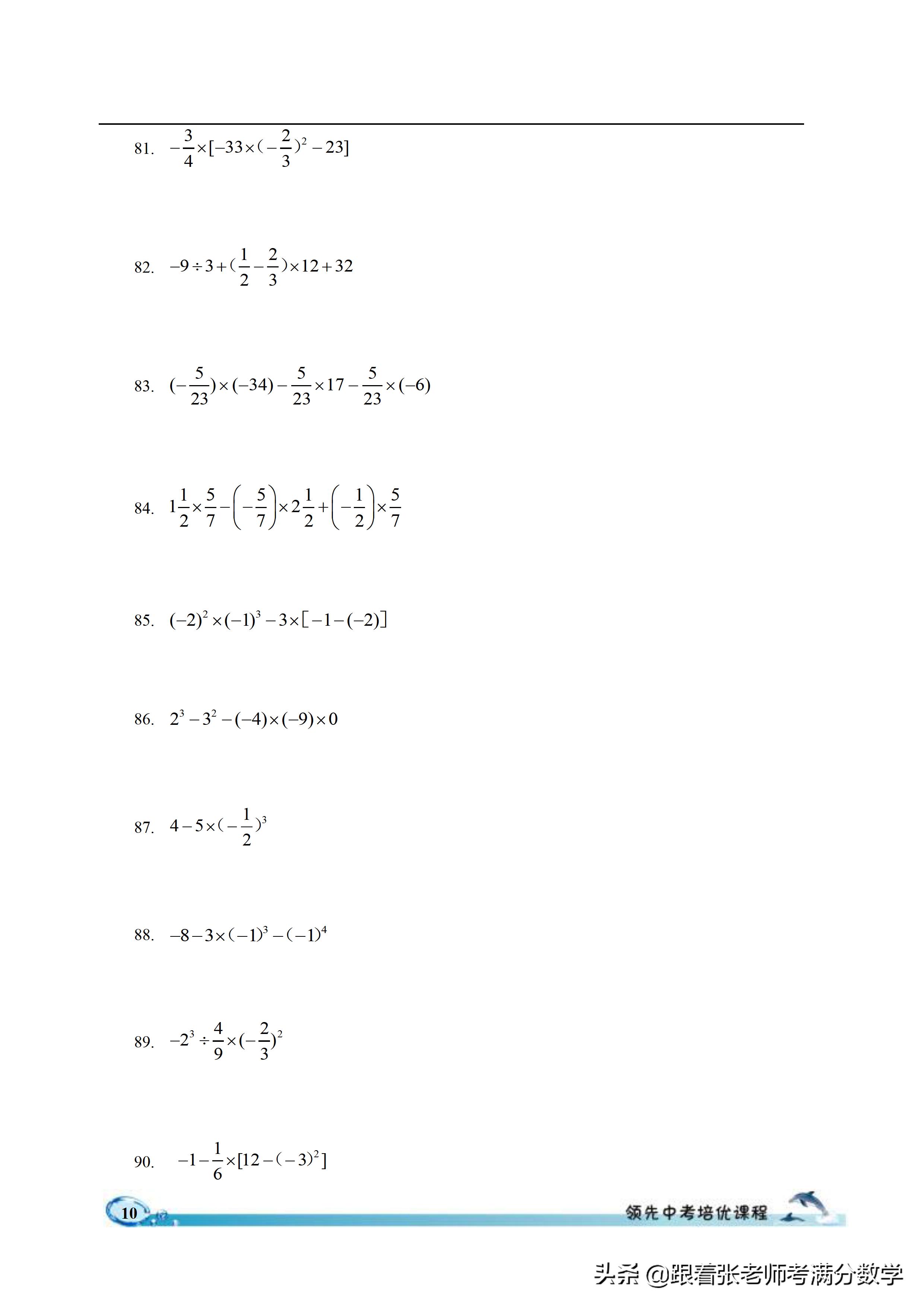
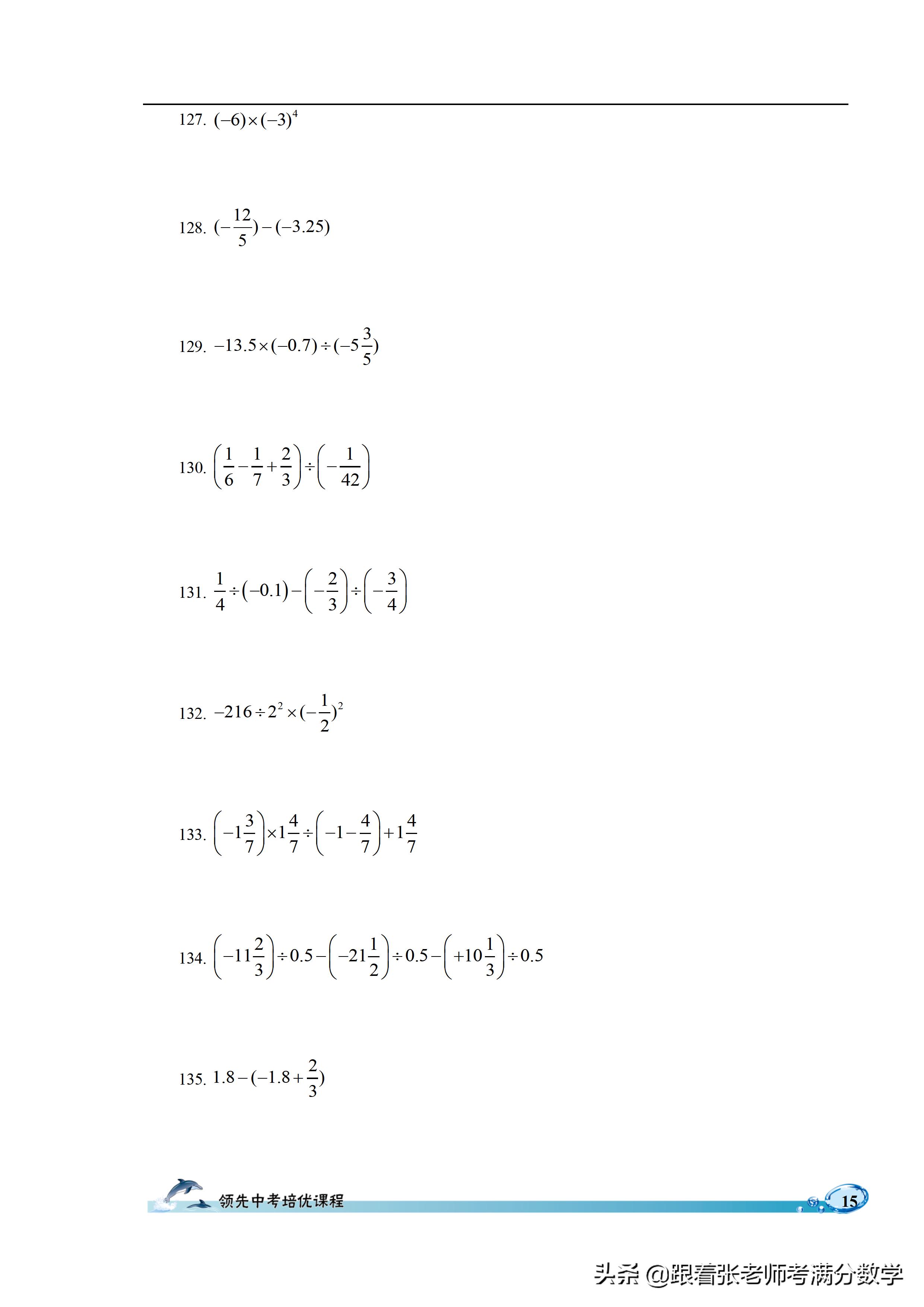
新初一最重要的是计算,在这里我分享700题常考计算题,建议关注收藏给还自己的孩子使用