5月20日,我们推送了《七个电学计量单位是怎么来的?| 世界计量日》一文,介绍了7个以科学家名字命名的电学相关国际单位。本文介绍两个磁学相关单位特斯拉(T)、韦伯(Wb)以及在物理学和各领域常用的单位赫兹(Hz)。
撰文 | 刘景峰
电磁学是一门研究电和磁相互作用现象、规律和应用的物理学分支学科。在奥斯特发现电流的磁效应之前,人们一直认为电和磁是两种完全独立的现象。直到近代以来,随着人们对两者的研究越来越深入,才发现它们的关系如此紧密。
根据近代物理学的观点,磁现象是由运动电荷所产生的,因而在电学的范围内必然不同程度地包含磁学的内容。其实人们对磁学的认识和利用比电学早很多。早在两三千年前,世界各地的人们就已经发现了自然界各种天然存在的磁铁,发现了“磁”这种现象。有学者认为,在我国战国时期就已经能够制作并使用司南(也就是指南针的前身)辨别方向了,尽管古人对于“磁”的原理尚不清楚。

图1:司南模型

图2:指南针
近代磁学的诞生始于1600年英国物理学家吉尔伯特(William Gilbert,1544-1603)《论磁》的发表,他用实验的方法提出地球本身就是一个大磁体,还提出了如“磁轴”、“磁子午线”等概念。在18世纪末期至19世纪初期,库仑(Charles-Augustin de Coulomb 1736 –1806)、泊松(Simeon-Denis Poisson 1781-1840)、格林(George Green,1793-1841)等人先后通过实验及数学理论建立起了静电学和静磁学,对电与磁之间的关系有了科学理性的初步认识。
我们在上篇文章中已经讲了7个关于电学的国际计量单位,这篇文章中我们将会继续介绍两个关于磁学的国际单位制导出单位特斯拉(T)、韦伯(Wb),及一个不仅在电磁学中常用,而且在其他学科一样普遍应用的单位赫兹(Hz)。
1 磁感应强度(B)的国际单位:特斯拉(符号T)
特斯拉(Nikola Tesla,1856-1943)是塞尔维亚裔美籍物理学家、发明家。他是交流电、无线电、无线遥控、火花塞、X光乃至水电工程的重要创造者和推动者,公认为是电力商业化的鼻祖。他一生中最重要的贡献,就在于他主持设计了现代交流电系统,这是电力时代大发展的基础。也正因为这一点,他的崇拜者视他为“发明了20世纪的人”。1960年,为了纪念特斯拉,第十一届国际计量大会决定把国际单位制中磁感应强度的单位命名为特斯拉。美国著名的特斯拉汽车公司创始人将其公司生产的纯电动汽车取名叫“特斯拉”,也是为了向这位伟大的天才和先驱致敬。

图3:特斯拉

图4:特斯拉汽车

图5:磁感应强度单位示意图
磁感应强度也被称为磁通量密度或磁通密度 ,是描述磁场 强弱和方向的物理量 ,常用符号B表示。数值越大表示磁感应越强。数值越小,表示磁感应越弱。
那1特斯拉究竟表示多大磁感应强度呢?根据公式B=F/IL(其中F为在磁场中垂直于磁场方向的通电导线所受的安培力,I为电流大小,L为导线长度)推导,我们得知将带有1A恒定电流 的直长导线垂直放在均匀磁场中,若导线每米长度上受到1N的力,则该均匀磁场的磁感应强度定义为1T。医院中常用的核磁共振就是根据设备磁感应强度的不同分为1.5T,3T,4T等型号。

图6:德国西门子公司生产的3T磁共振成像设备
相对而言,1T的磁感应强度也是相当大的,地球磁场的磁感应强度大概才是0.00005T~0.00006T。
特斯拉是国际单位制,在电磁单位系统中还有另外一种单位制——高斯单位制(Gaussian units)。高斯单位制也属于公制 ,它是从厘米-克-秒制衍生出来的。随着时光的流易,越来越多的国家开始逐渐放弃高斯单位制,改采用国际单位制。在大多数领域,国际单位制也是主要使用的单位制。目前,高斯单位制必须与国际单位制挂钩才有实验意义,因为只有国际单位制才对各个物理量有精确的定义。
在高斯单位制中表示磁感应强度的单位叫高斯(Gs)。它和特斯拉之间的换算关系是1T=10000Gs。所以地球磁场的磁感应强度也可以表示成0.5 Gs ~0.6 Gs。
高斯(Johann Carl Friedrich Gauß,1777-1855),是德国著名的数学家、物理学家、天文学家。然而凭1特斯拉=10000高斯,就能说两人之间的差距有这么大么?肯定是不能如此简单的类比了。
高斯被认为是历史上最重要的数学家之一,并享有“数学王子”之称。高斯一生的成就非常之多,单纯以“高斯”命名的数学概念就至少有几十个,如高斯分布、高斯曲率等,当属数学家中之最。

图7:“数学王子”高斯
除了数学之外,高斯在物理学、天文学等方面都创造了惊人的业绩,在电磁学方面取得的成绩尤为突出。高斯从1831年开始进行电磁学的实验研究。1833年,他建成一座地磁观察台,成为当时观察研究磁偏角变化的中心。同时,他与我们将在下文提到的另一位物理学家韦伯合作,成功研制了德国第一台电磁电报设备。1839年,他确立了静电场中的最基本的一个定理:高斯定理。
2 磁通量(Φ)的国际单位:韦伯(符号Wb)
韦伯(Wilhelm Eduard Weber,1804-1891),德国著名的物理学家。1843年,韦伯被莱比锡大学 聘为物理学教授,之后,韦伯对电磁作用 的基本定律进行了研究。

图8:德国物理学家韦伯
19世纪初,牛顿力学定律成功运用于测量那些看得见得重物,在天文学上也获得了惊人的成功。但并不是所有已知的物理现象都能得到合理的解释,如何确定不可估计物质的度量如电、磁、热等量,仍没有解决方法,这在当时是一个重要的研究方向。
为了研究这些基本性质,韦伯发明了许多电磁仪器。他于1841年发明了既可测量地磁强度又可测量电流强度的电流表;1846年发明了可用来测量交流电功率的电功率表;1853年还发明了测量地磁强度垂直分量的地磁感应器。1856年,他和科尔劳施(Rudolf Hermann Arndt Kohlrausch,1809-1858)测出了静电单位电量与电磁单位电量的比值,为麦克斯韦(James Clerk Maxwell,1831-1879)算出光速提供了支持。
此外,韦伯还和“数学王子”高斯一起合作研究磁学。韦伯负责做实验,高斯负责研究理论;韦伯的实验引起了高斯对物理问题的兴趣,而高斯则用数学处理物理实验问题,影响了韦伯的思想方法。1933年国际电工委员会[1]通过了以“韦伯”为磁通量的实用制单位,并在1948年获得国际计量大会的承认。
磁通量是一个标量,符号Φ,它的计算公式为Φ=B·S·cosθ,其中θ为S与B的垂面的夹角。如果在磁感应强度为B的匀强磁场中,一个面积为S且与磁场方向垂直的平面,磁感应强度B与面积S的乘积,就是穿过这个平面的磁通量。

图9:当S与B有夹角时磁通量示意图

图10:S与B垂直时磁通量示意图
由此我们得知,磁通量的物理意义就是表示穿过某个面积的磁感线的条数。发电机的原理就是“切割磁感线”,而“切割磁感线”实际上就是为了改变磁通量。改变磁通量就能产生电流,而电流的大小就和磁通量改变快慢有关。

图11:发电机示意图:转子转动越快,磁通量改变越大,电流越大
1 Wb的磁通量是多大呢?根据公式Φ=B·S·cosθ,我们可以这样计算,在磁感应强度为1T的均匀磁场中,面积为1平方米的平面与磁场方向垂直,θ为零度,cosθ等于1,此时经过这个平面的磁通量就是1 Wb。因为1T的磁感应强度已经是相当大的了,所以1韦伯的磁通量也可以说相当大了。
韦伯(Wb)是国际单位制,在高斯单位制中表示磁通量的单位是麦克斯韦(Mx)。它和韦伯之间的换算关系是1 Wb= 108Mx,即1韦伯等于1亿麦克斯韦。两者之间的数量级明显更大了。麦克斯韦何许人?本文的上篇开篇时介绍了他的计量思想。

图12:英国物理学家麦克斯韦
说起麦克斯韦,在物理学界可以说是无人不知,无人不晓。这位伟大的英国物理学家、数学家被认为是对现代物理学最有影响力的人之一。他凭着过人的天赋与极深的数学造诣在电磁学、分子物理学、统计物理学、光学、力学、弹性理论方面都有所建树,这其中最为闪耀的就是他在电磁学方面的成就。
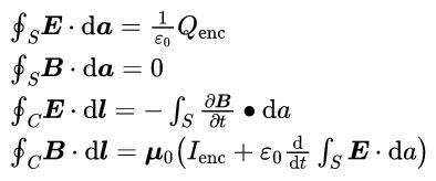
1864年他在英国皇家学会宣读了《电磁场的动力学理论》,第一次完整地阐述了他的电磁场理论,完成了著名的麦克斯韦方程组,震惊了世界。这个方程组也被认为是人类历史上最伟大的公式之一。

图13:积分形式的麦克斯韦方程组
麦克斯韦用精确的数学公式描述了电场与磁场的关系,以一种近乎完美的方式统一了电和磁,并预言了电磁波的存在。德国科学家赫兹(Heinrich Rudolf Hertz,1857-1894)对麦克斯韦理论深信不疑,在麦克斯韦去世8年后,赫兹最终用实验证实了电磁波的存在。麦克斯韦这位电磁学的集大成者也被后人誉为“电磁学之父”。
3 频率(f)的单位:赫兹(符号Hz)
频率(f)是单位时间内完成周期性变化的次数,是描述周期运动频繁程度的量。其公式为f=1/t,可以看成时间的倒数,其单位为赫兹(Hz),简称赫,它表示1秒钟周期性变动重复次数。如1赫兹就表示1秒钟内重复1次,2赫兹就表示重复2次,以此类推。因此,凡是有周期性运动的物理现象都会用到频率这个物理量。
在电磁学中,电磁波的频率比较高,赫兹这个单位使用起来就不太方便了,所以电磁学中常用的单位是千赫兹(KHz)、兆赫兹(MHz)、吉赫兹(GHz)等。换算关系如下:
1 KHz=1000 Hz=1×10^3 Hz
1 MHz= 1 000 000 Hz=1×10^6 Hz
1 GHz= 1 000 000 000 Hz=1×10^9 Hz
图14:根据频率高低,将电磁波分为以上几种类型
德国物理学家赫兹,因证实电磁波的存在而被人铭记。在赫兹之前,虽然法拉第发现了电磁感应现象,麦克斯韦也完成了的较为完备的电磁理论体系,但谁也没有检验过电磁波的存在,整个电磁理论还处于“空想”阶段。直到赫兹首先验证了电磁波的存在,才使理论变成了现实,天才的思想终成世人公认的真理。

图15:赫兹验证电磁波实验装置示意图
1888年,赫兹设计了一个谐振器以检测电磁波。这个谐振器非常简单,就是把一个粗铜丝弯成环状,环的两端各连接一个小球。左边的装置就是一个简单的电磁波发射器,当通电时感应线圈中产生震荡电流,在振子中间的两个金属小球间就会放电,形成电火花,而此时距离发射器几米之外的谐振器则会产生感应电流,在两个小球间也会生成电火花。赫兹认为,这种电火花就是电磁波。这个实验成功地表明,感应线圈上发出的能量,确实被辐射了出来,跨越空间并且被接收了下来。

图16:赫兹
但是,即使赫兹是最早证实了电磁波的人,他也从来没有想到电磁波能干什么或者有什么用处。他更不会想到,未来的世界将是一个被电磁波包围的世界。
在发现电磁波 7年后,意大利的马可尼(Guglielmo Marconi,1874-1937)和俄国的波波夫(Алекса́ндр Степа́нович Попо́в,1859-1906)各自独立实现了无线电信息的传递,随后无线电报很快投入实际使用。其他利用电磁波原理的技术也像雨后春笋般相继问世,无线电广播、无线电导航、无线电话、电视、微波通讯、雷达,以及遥控、遥感、卫星通讯、射电天文学,等等,它们使整个世界面貌发生了深刻的变化。人类文明与科技与电磁波紧紧的联系在了一起,电磁波变成我们生活中不可或缺的一部分。
赫兹对人类社会做出贡献无疑是十分巨大且不可估量的。但不幸的是,天妒英才,1894年1月1日赫兹因血液病而英年早逝,年仅36岁。为了纪念他,人们把频率的单位称为赫兹。
铭 记 与 传 承
国际单位制中电磁学中的10个计量单位到此就全部讲完了。二百年间,正是这些我们耳熟能详的科学家们前仆后继,为电磁学理论大厦不断添砖加瓦,后来人才能更好地认识、理解和应用电磁波,使之为我们的现代化生活所服务。这些电磁学的先驱,将值得我们永远铭记。我们也正是以计量单位为他们命名这种最直接的方式向他们表示着敬意。
21世纪的今天,如果我们回头梳理这些科学家的国籍,我们会发现,这些伟大的科学家竟无一例外全部来自当时的欧美等资本主义强国。即使是算上高斯单位制中的科学家(高斯来自德国,麦克斯韦来自英国,奥斯特来自丹麦),也无一例外。
德国(4个):欧姆、西门子、赫兹、韦伯
美国(2个):亨利、特斯拉
法国(2个):安培、库仑
英国(1个):法拉第
意大利(1个):伏特
在整个18、19世纪,西方一直在引领世界的科学技术发展方向,尤其是新兴的电磁学领域。如果我们再认真考虑到整个名单里各国家人数的比例,又能从中看到当时科技中心的转移的趋势:从英法到德美。
在17世纪及18世纪初,英法等国掀起了欧洲启蒙运动,率先完成第一次工业革命,成为了当时世界上最为先进的资本主义国家。而在以电气时代为标志的第二次工业革命中,德、美等国迎头赶上,甚至超过了原来英法老牌科技强国。德国、美国等新兴资本主义国家开始占据科技的中心,英法等老牌帝国开始衰落。当然,这个衰落也是相对而言的,因为此时世界其他地区的多数国家都还处于落后的农业社会时代。
10个人的名单中,德国和美国占据了多半壁江山(6个),正是大量优秀科学家的不断涌现才使得德、美等国迅速崛起。此外,科学在一个国家内部也是有传承性的。一个国家在产生了伟大的科学家后,会更有效和更深远地影响本国人才,从而有更多优秀的科学家踏着前辈的足迹继续探索,使得薪火相传,最后形成这个国家在这个领域大量科学家涌现的盛况。
近代社会以来,人们通过“科学→技术→生产”的发展模式使人类发展进入了快车道。当这些伟大的科学家建立了较为完整的电磁学理论科学体系后,迅速指导了技术实践,电磁学很快在实际生产中得到大量应用。19世纪末20世纪初,以马可尼、波波夫、费森登(Fessenden Reginald Aubrey,1866-1932)等人为代表的新一代电磁学继承人先后发明了无线电报、无线广播等新兴技术产品,革命性地改变了人类生产生活方式。
随着电磁学的深入探索和研究,手机、WIFI、蓝牙、导航、雷达、微波炉、卫星通信、射电天文等电磁学新应用、新技术、新产品不断涌现,电磁波已经渗透到我们生产生活中的方方面面,我们现在已经离不开它了。
回顾历史是为了更好地前行。展望未来,人类文明向前的脚步不会停歇,电磁学的发展也必将会继续推动科技的进步和社会的前进。
注释及参考文献
[1] 国际电工委员会(IEC):成立于1906年,是世界上成立最早的国际性电工标准化机构,负责有关电气工程和电子工程领域中的国际标准化工作。它的宗旨是促进电工、电子和相关技术领域有关电工标准化等所有问题上(如标准的合格评定)的国际合作。截止2019年,国际电工委员会有正式国家成员86个、联络国家成员87个,现任国际电工委员会主席为中国工程院院士舒印彪。