
一、最佳选择题(共40题,每题1分,每题的备选项中,只有一个最符合题意)
1、按中医五味理论,具有苦能清泄的中药是
A、芒硝 B、大黄
C、牛膝 D、栀子
E、苦杏仁
2、按升降学说理论,具有升浮和沉降二向性的中药是
A、桔梗 B、白前
C、前胡 D、紫苏
E、黄连
3、中药品种对质量的影响不容忽视,一药多基原的情况普遍存在,来源于同属2个种以上的中药是
A、珍珠 B、川贝母
C、青黛 D、葶苈子
E、杜仲
4、有效成分遇热不稳定的中药,适宜的提取方法是
A、冷浸法 B、连续回流提取法
C、煎煮法 D、水蒸气蒸馏法
E、升华法
5、根据吸附原理对物质进行分离,属于化学吸附的是
A、聚酰胺对黄酮类化合物的氢键吸附
B、酸性硅胶对生物碱类化合物的吸附
C、硅酸对黄酮类化合物的吸附
D、氧化铝对生物碱类化合物的吸附
E、活性炭对非极性物质的吸附
6、吴茱萸碱所属的结构类型是
A、有机胺类生物碱
B、色胺吲哚类生物碱
C、双吲哚类生物碱
D、单萜吲哚类生物碱
E、简单吲哚类生物碱
7、苷键在酸性条件下水解,按照苷原子,苷水解
的难易顺序
A、N>O>S>C B、N>S>C>O
C、N>C>O>S D、O>N>S>C
E、O>N>C>S
8、《中国药典》规定,决明子含量测定的指标成分是
A、大黄素和决明素
B、大黄酸和决明内酯
C、大黄酚和决明内酯
D、大黄酚和橙黄决明素
E、大黄酸和橙黄决明素
9、关于散剂分类和质量要求的说法,错误的是
A、口服散剂可以直接用水送服
B、口服散剂一般溶于或分散于水或其他液体中服用
C、专供治疗、预防和润滑皮肤的散剂也可以称为撒布剂
D、除另有规定外,中药局部用散剂通过六号筛粉末的重量不得少于90%
E、用于烧伤治疗的非无菌制剂应在标签上注明本品为非无菌制剂
10、按照中药饮片净度要求,煨制品含药屑、杂质不得超过
A、3% B、1%
C、2% D、4%
E、5%
11、呈丝片状,上表面绿色、黄绿色或浅黄色,下表面灰绿色网脉明显,近革质,气微,味微苦的饮片是
A、淫羊藿 B、大青叶
C、紫苏叶 D、枇杷叶
E、蓼大青叶
12、切面类白色至淡红棕色,粉性,可见点状维管束及多数小亮点的饮片是
A、粉葛 B、泽泻
C、山药 D、土茯苓
E、天花粉
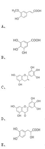
13、含脏器提取物且不含中药材原粉的口服给药制剂,按照非无菌中药制剂微生物限度标准的要求,每10g或10ml不得检出
A、白色念珠菌
B、铜绿假单胞菌
C、金黄色葡萄球菌
D、沙门菌
E、耐胆盐革兰阴性菌
14、八正合剂能清热、利尿、通淋,其处方的药物组成有川木通、车前子、瞿麦、萹蓄、滑石、灯芯草、栀子、大黄、甘草,方中大黄应选用的饮片是
A、醋大黄 B、酒大黄
C、生大黄 D、大黄炭
E、熟大黄
15、肉豆蔻的炮制方法宜选用
A、煨法 B、复制
C、提净 D、发芽
E、制霜
16、用于鉴别α-去氧糖的特征反应是
A、Legal反应
B、Keller-Kiliani反应
C、醋酐浓硫酸反应
D、Kedde反应
E、三氧化锑反应
17、具有“翘鼻头”、“方胜纹”和“连珠斑”性状特征的药材是
A、海马 B、蛤蚧
C、蕲蛇 D、乌梢蛇
E、金钱白花蛇
18、关于吸入气雾剂和吸入喷雾剂的吸收与影响
因素的说法,错误的是
A、药物以雾状吸入可直接作用于支气管平滑肌
B、吸入给药的吸收速度与药物的脂溶性大小成正比
C、吸入的雾滴(粒)越小越易达到吸收部位,药物吸收的量越多
D、吸入给药的吸收速度与药物的分子量大小成反比
E、肺泡是吸入气雾剂与吸入喷雾剂中药物的主要吸收部位
19、采用发酵法炮制药物时,适宜的温度和相对
湿度是
A、15~20℃,45%~55%
B、18~25℃,65%~75%
C、30~37℃,70%~80%
D、30~37℃,65%~75%
E、18~25℃,70%~80%
20、关于液体制剂质量要求的说法,错误的是
A、除另有规定外,干混悬剂应进行干燥失重检查
B、口服乳剂应按规定进行离心试验,不应有分层现象
C、口服混悬剂放置后若有沉淀物,经振摇应易再分散
D、口服乳剂包括口服的O/W和W/O型液体制剂
E、口服乳剂可能会出现相分离现象,但经振摇应易再分散
21、除另有规定外,应照《中国药典》规定的方法检查相对密度的制剂是
A、膏药 B、煎膏剂
C、软膏剂 D、乳剂
E、流浸膏剂
22、关于药物在体内分布影响因素的说法,错误
的是
A、通常脂溶*药性**物容易通过血-脑屏障迅速向脑脊髓转运
B、药物蓄积在脂肪组织可起到贮存作用而延长药物的作用时间
C、药物的选择性分布取决于生物膜的转运特性和药物与组织的亲和力
D、随着胎儿的长大,血-胎屏障对药物的通透性
降低
E、合并用药时,药物与血浆蛋白的竞争结合可导致药物分布的改变
23、对眼睛有刺激性,不宜用作眼膏基质的是
A、蜂蜡 B、二甲硅油
C、凡士林 D、羊毛脂
E、氧化植物油
24、炒炭后产生止血作用的饮片是
A、蒲黄 B、槐花
C、荆芥 D、大蓟
E、小蓟
25、关于糖浆剂质量要求的说法,错误的是
A、糖浆剂含糖量应不低于45%(g/ml)
B、糖浆剂必要时可加入适量的乙醇、甘油或其他多元醇
C、根据需要可加不超过0.3%的苯甲酸作为抑菌剂
D、根据需要可加不超过0.5%的山梨酸作为抑菌剂
E、如需加入抑菌,除制剂有规定外,该制剂处方的抑菌效力应符合抑菌效力检查法的规定
26、呈棒状,上粗下细,略弯曲,表面黄白色或绿白色,密被短柔毛,花萼绿色,先端5裂的饮片是
A、辛夷 B、金银花
C、槐花 D、洋金花
E、款冬花
27、呈筒状或半筒状。内表面淡灰色或浅棕色,常见发亮的结晶,断面较平坦,淡粉红色,显粉性的药材是
A、桑白皮 B、白鲜皮
C、地骨皮 D、牡丹皮
E、香加皮
28、关于注射剂给药途径的说法,错误的是
A、乳状液型注射液不得用于静脉注射
B、混悬型注射液可用于肌内注射
C、混悬型注射液不得用于静脉注射
D、混悬型注射液不得用于椎管内注射
E、乳状液型注射液不得用于椎管内注射
29、莪术醇为莪术挥发油的主要成分之一,其结
构类型是
A、倍半萜 B、半萜
C、单萜 D、二萜
E、二倍半萜
30、鹿茸药材中的“莲花”指的是
A、二个侧枝的马鹿茸
B、一个侧枝的马鹿茸
C、三个侧枝的马鹿茸
D、一个侧枝的花鹿茸
E、三个侧枝的花鹿茸
31、切面皮部墨绿色或棕褐色,木部灰黄色或黄褐色,可见放射状排列的导管束纹,形成层部位有深色环的饮片是
A、莪术 B、川芎
C、续断 D、羌活
E、生地黄
32、表面灰黄色或黄褐色,有不规则结节状隆起,有的节间表面平滑如茎秆,习称“过桥”的药材是
A、桔梗 B、羌活
C、黄连 D、玉竹
E、巴戟天
33、关于固体分散体特点的说法,错误的是
A、固体分散体可延缓药物的释放
B、固体分散体可使药物具有靶向性
C、固体分散体可减小药物的刺激性
D、固体分散体可提高药物的稳定性
E、固体分散体可提高药物的生物利用度
34、横断面类白色或浅灰黄色,形成层环纹呈多角形的药材是
A、白及 B、川乌
C、白芍 D、川牛膝
E、白附子
35、根据临床治疗需要,既可麸炒又可土炒的饮片是
A、芡实 B、僵蚕
C、枳壳 D、白术
E、薏苡仁
36、表面黄棕色至黑褐色,密被排列整齐叶柄残基及鳞片的药材是
A、何首乌 B、绵马贯众
C、石菖蒲 D、骨碎补
E、天南星
37、来源于单子叶植物,须根先端膨大,呈纺锤形的药材是
A、百部 B、附子
C、玄参 D、泽泻
E、太子参
38、含有乙型强心苷的中药是
A、附子 B、香加皮
C、蟾蜍 D、夹竹桃
E、洋地黄
39、试卷附图如下,图示中药为没药的是

40、试卷附图如下,图示中药主含Na2SO4·10H20的是

二、配伍选择题(共60题,每题l分。题目分为若干组,每组题目对应同一组备选项,备选项可重复选用,也可不选用。每题只有1个备选项最符合题意)
【41-43】
A、乳化剂 B、溶剂
C、抗氧剂 D、助溶剂
E、助悬剂
41、聚山梨酯80可用作气雾剂的
42、月桂醇可用作气雾剂的
43、四氟乙烷可用作气雾剂的
【44-45】
A、前体药物制剂
B、微囊
C、免疫脂质体
D、长循环脂质体
E、磁性微球
44、对靶细胞在分子水平上有识别能力的主动靶
向制剂是
45、可通过巨噬细胞吞噬作用将所载药物分布于
作用部位的被动靶向制剂是
【46-48】
A、黏度调节剂
B、抑菌剂
C、pH值调节剂
D、渗透压调节剂
E、增溶剂
46、葡萄糖可在眼用液体制剂中用作
47、羟苯乙酯可在眼用液体制剂中用作
48、聚乙烯醇可在眼用液体制剂中用作
【49-50】
A、温法 B、清法
C、补法 D、和法
E、消法
49、按照中医常用治法理论,透达膜原属于
50、按照中医常用治法理论,表里双解属于
【51-52】
A、软化点 B、粒度
C、耐热性 D、赋形性
E、溶出度
51、《中国药典》规定,橡胶贴膏应检查
52、《中国药典》规定,凝胶贴膏应检查
【53-54】
A、降香 B、大血藤
C、鸡血藤 D、苏木
E、沉香
53、表面紫红色或红褐色,切面有致密纹理的药材是
54、表面黄红色至棕红色,具刀削痕,常见纵向裂缝的药材是
【55-57】
A、溶出度 B、脆碎度
C、崩解时限 D、干燥失重
E、释放度
55、《中国药典》规定,控释胶囊剂应检查
56、《中国药典》规定,缓释胶囊剂应检查
57、《中国药典》规定,复方中药胶囊剂应检査
【58-60】

58、《中国药典》规定,当归含量测定的指标成分是阿魏酸,其结构是
59、没食子酸鞣质水解后可产生的化合物是
60、组成缩合鞣质的基本单元是
【61-63】
A、白芷 B、知母
C、香附 D、天麻
E、三棱
61、表面黄白色至淡棕色,有点状突起(潜伏
芽)排列而成的横环纹多轮的药材是
62、表面黄白色或灰黄色,有刀削痕,须根痕小
点状,略呈横向环状排列的药材是
63、表面棕褐色或黑褐色,有6~10个略隆起的环节,节上有未除净的棕色毛须及须根断痕的药材是
【64-66】
A、黄酮苷 B、环烯醚萜苷
C、三萜皂苷 D、强心苷
E、甾体皂苷
64、罗布麻叶中含有的加拿*麻大**苷,其结构类型是
65、商陆中含有的商陆皂苷A,其结构类型是
66、栀子中含有的栀子苷,其结构类型是
【67-68】
A、25% B、15%
C、30% D、35%
E、20%
67、《中国药典》规定,薄荷药材含叶量不得少于
68、《中国药典》规定,穿心莲药材含叶量不得少于
【69-71】
A、辛味药 B、咸味药
C、酸味药 D、甘味药
E、苦味药
69、能耗气伤阴,气阴两虚者应慎用的是
70、能腻膈碍胃,令人中满,湿阻、食积者应慎用的是
71、能伤津伐胃,津液大伤与脾胃虚弱者不宜大量应用的是
【72-73】
A、七叶苷 B、异嗪皮啶
C、厚朴酚 D、连翘苷
E、杜鹃素
72、《中国药典》规定,肿节风含量测定的指标成分是
73、《中国药典》规定,满山红含量测定的指标成分是
【74-76】
A、三萜皂类 B、香豆素类
C、黄酮类 D、菲醌类
E、甾体类
74、陈皮中含有的橙皮苷,其结构类型是
75、丹参中含有的丹参酮,其结构类型是
76、黄芪中含有的黄芪甲苷,其结构类型是
【77-78】
A、煅磁石 B、煅石骨
C、煅赭石 D、煅炉甘石
E、煅牡蛎
77、苦寒之性降低,平肝止血作用增强的饮片是
78、收敛固涩作用增强,善治胃痛吐酸的饮片是
【79-81】
A、莪术 B、绵马贯众
C、何首乌 D、胡黄连
E、白芍
79、切面灰黑色或棕黑色,木部有4~10个类白色点状维管束排列成环的饮片是
80、切面黄绿色、黄棕色或棕褐色,内皮层环纹明显,散在“筋脉”小点的饮片是
81、切面类白色或微带棕红色,形成层明显,可见稍隆起的筋脉纹呈放射状排列的饮片是
【82-83】
A、*欢合**皮 B、香加皮
C、肉桂 D、厚朴
E、桑白
82、内表面红棕色,划之显油痕,断面两层中间有深黄棕线纹,气香浓烈,味甜,辣的药材是
83、内表面深紫色或深紫褐色,划之有油痕,断面有的可见多数小亮星,气香味辛辣,微苦的药材是
【84-86】
A、生地黄 B、阿胶珠
C、熟地黄 D、制何首乌
E、酒黄精
84、临床医生治疗肺虚燥咳、脾胃虚弱、肾虚精
亏,宜适用的饮片是
85、临床医生治疗血虚萎黄、肝胃阴虚、腰膝酸
软,宜适用的饮片是
86、临床医生治疗热入营血、津伤便秘、阴虚发
热,宜适用的饮片是
【87-89】
A、桑寄生 B、槲寄生
C、石斛 D、钩藤
E、海风藤
87、为不规则厚片,茎外皮黄绿色、黄棕色或棕褐色,切面髓部常偏向一边的饮片是
88、为扁圆柱形或圆柱形段,表面金黄色、绿黄
色或棕黄色,有光泽,有深纵沟或纵棱的饮片是
89、为厚片或不规则短段,外表皮红褐色或灰褐
色,具细纵纹并有多数细小突起的棕色皮孔的饮片是
【90-91】

90、属于茛菪烷类生物碱是
91、碱性最强的化合物是
【92-94】
A、酊剂 B、合剂
C、乳膏剂 D、软膏剂
E、膏药
92、除另有规定外,应密封,置阴凉处贮存的是
93、除另有规定外,应避光、密封,置阴凉处贮存的是
94、除另有规定外,应避光,密闭低于25℃以下,0℃以上贮存的是
【95-96】

95、如上图所示,药材主产地为浙江的是
96、如上图所示,药材主产地为广东的是
【97-98】

97、如上图所示,饮片气微香,味微苦,酸、涩的药材是
98、如上图所示,饮片味甘、微辛,嚼之略带黏性的药材是
【99-100】

99、如上图所示,饮片具有清热泻火、滋阴润燥功效的药材是
100、如上图所示,饮片具有发散风寒、燥湿止带功效的药材是
三、综合分析选择题(共10题,每题1分,题目分为若干组,每组题目基于同一个临床情景、病例、实例或者案例的背景信息逐题展开,每题的备选项中,只有一个最符合题意)
【101-104】
某女42岁。患白带增多、阴部瘙痒半年,医生诊为湿热下注,处以内服中药并外用妇必舒阴道泡腾片,妇必舒阴道泡腾片的处方组成为苦参、蛇床子、大黄、百部、乌梅、硼砂、泳片、白矾、甘草,据文献报道该阴道泡腾片有抗菌消炎作用。
101、妇必舒阴道泡腾片处方中具有抗病原体作用的双稠哌啶类化合物的饮片是
A、乌梅 B、苦参
C、大黄 D、百部
E、蛇床子
102、按《中国药典》中药制剂微生物限度标准不属于妇必舒阴道泡腾片的控制菌是
A、梭菌 B、霉菌
C、白色念珠菌 D、铜绿假单胞菌
E、金黄色葡萄球菌
103、按《中国药典》规定,妇必舒阴道泡腾片应检查
A、发泡量 B、溶化性
C、溶出度 D、融变时限
E、分散均匀性
104、妇必舒阴道泡腾片处方中含有抗菌作用化学成分为

的中药是
A、甘草 B、大黄
C、马梅 D、百部
E、蛇床子
【105-107】
某外科医师善治疮肿瘰疬、乳腺增生等,常用中成药小金丸(糊丸),用后每能收效。该药处方有人工麝香、木鳖子(去壳去油)、制草乌、枫香脂、醋乳香、醋没药、五灵脂(醋炒)、酒当归、地龙、香墨等,功能散结消肿、化瘀止痛,主治痰气凝结所致的瘰疠、瘿瘤、乳岩、乳癖。症见肌肤或肌肤下肿块一处或数处、推之能动,或骨及骨关节肿大,皮色不变,肿硬作痛。
105、《中国药典》规定,小金丸应检查双酯型生物碱的限量。双酯型生物碱对心血管系统有明显的毒性,处方中含有这类生物碱的中药是
A、木鳖子 B、枫香脂
C、醋乳香 D、制草乌
E、醋没药
106、关于处方中醋乳香炮制方法或炮制作用的说法,错误的是
A、醋乳香炮制宜采用文火加热
B、醋乳香炮制宜先炒乳香至表面微熔再喷入米醋
C、每100kg乳香用米醋10kg
D、乳香醋炙后刺激性缓和,利于服用
E、乳香醋炙后增强活血止痛、消肿生肌的功效
107、关于糊丸剂型特点和质量要求的说法,错误的是
A、糊丸含水量不得过9.0%
B、糊丸溶散迟缓,可延长药效
C、糊丸按肠溶衣片崩解时限检查法检查,应符合规定
D、糊丸可降低处方中有毒饮片的毒性
E、糊丸可缓解药物对胃肠道的刺激性
【108-110】
某男,60岁。患慢性支气管炎近10年。近日因感风寒导致病情加重,症见恶寒发热,无汗,咳喘痰稀。医师诊为咳喘,证属风寒水饮,处以功能解表化饮、止咳平喘的小青龙胶囊。该胶囊的处方组成有麻黄、桂枝、干姜、细辛、五味子、白芍、法半夏、炙甘草。药后诸症缓解。
108、目前胶囊剂多由明胶空心胶囊填充制成。关于明胶空心胶囊质量要求的说法,错误的是
A、含铬不得过百万分之二
B、干燥失重应为12.5%~17.5%
C、含重金属不得过百万分之四十
D、明胶空心胶囊应在30分钟内全部溶化或崩解
E、含羟苯基甲酯、羟苯乙酯、羟苯丙酯和羟苯丁酯总量不得过0.05%
109、方中法半夏偏于祛寒痰,常用的炮制辅料是
A、生姜与白矾 B、甘草与白矾
C、甘草与生石灰 D、甘草与生姜
E、白矾与生石灰
110、方中含有毒成分的中药是
A、桂枝 B、白芍
C、麻黄 D、细辛
E、法半夏
四、多项选择题(共10题,每题1分,每题的备选项中,有2个或2个以上符合题意,错选、少选均不得分)
111、按照苷键原子的不同分类,属于氧苷的是
A、氰苷 B、酯苷
C、酚苷 D、氮苷
E、吲哚苷
112、关于环糊精包合物的说法,正确的是
A、减少药物的刺激性
B、使药物具有靶向性
C、调节药物的释放速度
D、提高药物的稳定性
E、增加药物的溶解度
113、含有毒蛋白,对胃肠黏膜有刺激和腐蚀作用的中药是
A、巴豆 B、苍耳子
C、苦杏仁 D、蓖麻子
E、牛蒡子
114、下列以香豆素为质量控制成分的中药是
A、陈皮 B、秦皮
C、补骨脂 D、前胡
E、五味子
115、制药用水中,纯化水的作用为
A、用作滴眼剂容器的精洗
B、用作皮肤用制剂的稀释
C、用作注射浓溶液的稀释
D、用作口服溶液的溶剂
E、用作中药注射剂所用饮片的提取溶剂
116、因含皂苷,能促进呼吸道的分泌功能,呈现祛痰作用的中药是
A、桔梗 B、皂荚
C、半夏 D、款冬花
E、川贝母
117、宜用水飞法进行炮制的中药是
A、雄黄 B、芒硝
C、朱砂 D、炉甘石
E、石膏
118、药用部位为花的某一部分的是
A、槐花 B、西红花
C、蒲黄 D、旋覆花
E、莲须
119、下列需要检查甲醇量的是
A、国公酒 B、急支糖浆
C、川贝雪梨膏 D、藿香正气水
E、双黄连口服液
120、下图所示中药来源为伞形科的是

答案解析
一、最佳选择题
1.D【解析】能清泄,如黄连、栀子味苦,能清热泻火,治火热内蕴或上攻诸证宜择。
2.C【解析】有不少药表现为升浮与沉降皆具的二向性,如胖大海,既能清宣肺气、利咽而具升浮之性,又能清热解毒、通便而具沉降之性,前胡,既能降气祛而显沉性,又能宣散风热而显升浮性。
3.B【解析】珍珠、青黛为不同科的中药,葶苈子为同科不同属的中药,杜仲仅来源为杜仲科植物杜仲的干燥树皮,川贝母为百合科植物川贝母、暗紫贝母、甘肃贝母、梭砂贝母、太白贝母或瓦布贝母的干燥鳞茎。
4.A【解析】连续回流提取法是用易挥发的有机溶剂加热回流提取中药的成分,多用索氏提取器完成;煎煮法是中药材加入水浸泡后加热煮沸,将有效成分提收出来的方法;水蒸气蒸馏法适用于具有发挥性的、能随水蒸气蒸馏而不被破坏,且难溶或不溶于水的化学成分的提取;升华法为固体物质在受热时不经过熔融直接转化为蒸气,蒸气遇冷后又凝结成固体的现象,以上方法均不适用于有效成分遇热不稳定的中药。
5.B【解析】化学吸附,如黄酮等酚酸性物质被碱性氧化铝的吸附,或生物碱被酸性硅胶的吸附等。
6.B【解析】色胺吲哚类生物碱:此类化合物中含有色胺部分其结构较简单。如吴茱萸中的吴茱萸碱。
7.A【解析】苷水解的难易顺序为氮苷(N)>氧苷(O)>硫苷(S)>碳苷(C)。
8.D【解析】《中国药典》以大黄酚、橙黄决明素为指标成分对决明子进行鉴别和含量测定。
9.D【解析】化学药局部用散剂和用于烧伤或严重创伤的中药局部用散剂及儿科用剂,按照《中国药典》粒度和粒度分布测定法测定,除另有规定外,通过七号筛(中药通过六号筛)的粉末总量不得少于95%。
10.A【解析】煨制品含药屑、杂质不得超过3%。
11.A【解析】淫羊藿:呈丝片状、上表面绿色、黄绿色或浅黄色,下表面灰绿色,网脉明显,中脉及细凸出,边缘具黄色刺毛状细锯齿。近革质。气微,味微苦。
12.D【解析】土茯苓:略呈圆柱形,稍扁呈不规则条状,有结节状隆起。表面黄棕色或灰褐色,凹凸不平,有坚硬的须根残基,分枝顶端有圆形芽痕,有的外皮观不规则裂纹,并有残留的鳞叶。质坚硬。切片呈长圆形或不规则,边缘不整齐;切面类白色至淡红棕色,粉性,可见点状维管束及多数小亮点;质略韧,折断时有粉尘飞扬,以水湿润后有黏滑感。气微,味微甘、涩。
13.D【解析】不含药材原粉的中药制剂的生物限度标准不得检出大肠埃希菌(1g或1ml);含脏器提取物质的制剂还不得检出沙门菌(10g或10ml)。
14.C【解析】八正合剂中大黄应选用生大黄,生大黄苦寒泄降行散,既泻热通便,化瘀止痛,又兼利小便。
15.A【解析】肉豆蔻的炮制方法为煨法。
16.B【解析】 Keller Kiliani反应:α-去氧糖的特征反应,只对游离的α-去氧糖或α-去氧糖与苷元连接的苷显色,对α-去氧糖和葡萄糖或其他羟基糖连接的二、三糖及乙酰化的α-去氧糖,由于在此条件下不能水解出α-去氧糖而不显色。故此反应阳性可肯定α-去氧糖的存在,但对此反应不显色的有时未必具有完全的否定意义。
17.C【解析】蕲蛇:卷呈圆盘状,头在中间稍向上,呈三角形扁平,吻端向上,习称“翘鼻头”。背部两侧各有黑褐色与浅棕色组成的“V”形纹,其“V”形的两上端在背中线上相接,习称“方胜纹”,有的左右不相接,呈交错排列。腹部撑开或不撑开,灰白色,鳞片较大,两侧有黑色类圆形的斑点,习称“连珠斑”腹内壁黄白色,脊椎骨棘突高,呈刀片状上突,前后椎体下突基本同形,多为弯刀状,向后倾斜,尖端明显超过椎体后隆面。尾部骤细,末端有三角形深灰色的角质鳞片1枚,习称“佛指甲”。气腥,味微咸。
18.C【解析】影响吸入气雾剂和吸入喷雾剂药物吸收的主要因素有:①药物的脂溶性及分子大小,吸入给药的吸收速度与药物的脂溶性成正比,与药物的分子大小成反比;②雾滴(粒)粒径大小,雾滴(粒)的大小影响其在呼吸道沉积的部位,吸入气剂雾滴(粒)的粒径成在10μm以下,其中大多数应在5μm以下。雾滴过粗,药物易沉着在口腔、咽部及呼吸器官的各部位;粒子过小,雾滴(粒)易到达肺泡部位,但沉积减少,多被呼出,吸收较少。
19.C【解析】发酵法温度:一般发酵的最佳温度为30~37℃。温度太高则菌种老化、死亡,不能发酵;温度过低,虽能保存菌种,但繁殖太慢,不利于发酵,甚至不能发酵。湿度:一般发酵的相对湿度应控制在70%~80%。温度太大,则药物发黏,且易生虫霉烂,造成药物发暗;过分干燥,则药物易散不能成形。经验以“握之成团,指间可见水迹,放下轻击则碎”为宜。
20.D【解析】口服乳剂系指两种互不相容的液体制成的供口服的稳定的水包油型乳液制剂。
21.B【解析】除另有规定外,煎膏剂应密封,置阴凉处贮存。按照《中国药典》规定的方法检查,相对密度,不溶物、装量及微生物限度均应符合规定。
22.D【解析】在母体循环与胎儿体循环之间存在着血胎屏障,血胎屏障的作用过程与血脑屏障类似。多数药物靠被动转运通过胎盘,随着胎儿的长大,药物的通透性增加;孕妇严重感染、中毒或其他疾病时,胎盘屏障作用降低。
23.B【解析】二甲硅油,为无色澄清的透明油状液体,无臭、无味,黏度变化极小,化学性质稳定,无毒性,对皮肤无刺激性,不污染衣物,具有良好的润滑作用,易于涂布,能与羊毛脂、硬脂醇、鲸蜡醇、硬脂酸、甘油酯等混合。本品对眼睛有刺激性,不宜做眼膏基质。
24.C【解析】荆芥炭具有止血的功效;大蓟痰收敛止血作用增强;蒲黄炭止血作用增强。
25.D【解析】糖浆剂根据需要可加入适宜的附加
剂,如需加入抑菌剂,除另有规定外,在制剂确定处方时,该处方的抑菌效力应符合《中国药典》抑菌效力检查法的规定,山梨酸和苯甲酸的用量不得过0.3%(其钾盐、钠盐的用量分别按酸计),羟苯酯的用量不得过0.05%。
26.B【解析】金银花:呈棒状,上粗下细,略弯曲,表面黄白色或绿白色(贮久色渐深),密被短柔毛。偶见叶状苞片。花萼绿色,先端5裂,裂片有毛,长约0.2cm。开放者,花冠筒状,先端二唇形:雄蕊5,附于筒壁,黄色;雌蕊1,子房无毛。气清香,味淡、微苦。
27.D【解析】牡丹皮:连丹皮:呈筒状或半筒状,有纵剖开的裂缝,略向内卷曲或张开,外表面灰褐色或黄褐色,有多数横长皮孔样突起及细根痕,栓皮脱落处粉红色;内表面淡灰黄色或浅棕色,有明显的细纵纹,常见发亮的结晶。质硬而脆,易折断,断面较平坦,淡粉红色,粉性。气芳香,味微苦而涩。
28.A【解析】乳状液型注射剂应稳定,不得有相分离现象,不得用于椎管注射;静脉用乳状液型注射剂中乳滴的粒度90%应在1μm以下,不得有大5μm的乳滴。
29.A【解析】莪术含挥发油1.0%~2.5%,药理研究证明有一定的抗菌、抗癌活性。其中吉马酮、莪术醇、莪术二醇、莪术酮及莪术二酮等为倍半萜类化合物,是莪术挥发油的主要有效成分。
30.A【解析】马鹿茸:较花鹿茸粗大,分枝较多,侧枝一个者称“单门”二个者习称“莲花”,三个者习称“三岔”,四个者习称“四岔”或更多。其中以莲花、三岔为主。
31.C【解析】续断片:呈类圆形或椭圆形的厚片。外表皮灰褐色至黄褐色,有纵皱。切面皮部墨绿色或榕褐色,木部灰黄色或黄褐色,可见放射状排列的导管束纹,形成层部位多有深色环。气微,味苦,微甜而涩。
32.C【解析】黄连:多分枝,常弯曲,集聚成簇,形如鸡爪,表面灰黄色或黄褐色,粗糙有不规则结节状隆起、须根及须根残基,有的节间表面平滑如茎杆,习称“过桥”。上部多残留褐色鳞叶,顶端常留有残余的茎或叶柄。质硬,断面不整齐,皮部橙红色或暗棕色,木部鲜黄色或橙黄色,呈放射状排列,髓部有的中空。气微,味极苦。
33.B【解析】固体分散体具备如下特点:(1)达到不同的释药目的:利用亲水性高分子载体材料增加难溶*药性**物的溶解度和溶出度,提高药物的生物利用度;利用难溶性高分子载体材料延缓或控制药物释放;利用溶性高分子载体材料控制药物于小肠或结肠定位释放。(2)延缓药物的水解和氧化。(3)掩盖药物的不良气味和刺激性。(4)使液体药物固体化。
34.B【解析】川乌:呈不则圆锥形,稍弯曲,顶端常有残茎,中部多向一侧膨大,表面棕褐色或灰棕色,皱缩,有小瘤状侧根及子根脱离后的痕迹。质坚实,断面类白色或浅灰黄色,形成层环纹呈多角形。气微,味辛辣、麻舌。
35.D【解析】土炒白术,借土气助脾,补脾止泻力胜,用于脾虚食少,泄泻便溏,胎动不安。麸妙白术能缓和燥性,借麸入中,增强健脾、消胀作用。用于脾胃不和,运化失常,食少胀满倦怠乏力,表虚自汗。
36.B【解析】绵马贯众:呈长倒卵形,略弯曲,上端钝圆或截形,下端较尖,有的纵剖为两半,表面黄棕色至黑褐色,密被排列整齐的叶柄残基及鳞片,并有弯曲的须根。叶柄残基呈扁圆形,表面有纵棱线,质硬而脆,断面略平坦,棕色,有黄白色维管束5~13个,环列;每个叶柄残基的外偶侧常有3条须根,麟片条状披针形,全缘,常脱落。质坚硬,断面略平坦,深绿色至棕色,有黄白色维管束5~13个,环列,其外散有较多的叶迹维管束。气特异,味初淡而微涩,后渐苦、辛。
37.A【解析】单子叶植物的根一般为须根系,有的须根先端膨大成纺锤形块根,如百部、郁金、麦冬等。
38.C【解析】乙型强心苷元:甾体母核的C-17侧链为六元不饱和内酯环,基本母核为海葱甾或蟾蜍甾。自然界中仅少数苷元属此类。如中药蟾蜍中的强心成分蟾毒配基类。
39.A【解析】A为没药,B为雄黄,C为乳香,D为赭石,E为儿茶。
40.A【解析】A为芒硝(Na2SO4·10H2O),B为炉甘石(ZnCO3),C为滑石(3Mg0·4SiO2·H2O),D为石膏(CaSO4,2H2O),E为硫磺(S)。
二、配伍选择题
41-43.AEB【解析】气雾剂的附加剂:①溶剂:某些酯溶*药性**物可以溶解于气雾剂的抛射剂中,如氢氟烷烃,常可以作为溶液型气雾剂的溶剂;水、甘油或脂肪酸、植物油也可以分别在O/W或W/O乳浊油液型气雾剂中作为水溶*药性**物或脂溶*药性**物的溶剂;②助溶剂,如乙醇、丙二醇等;③抗氧剂,如维生素C、亚硫
酸钠等;④防腐剂,如尼泊金乙酯等;⑤表面活性剂,可作为乳化剂,如硬脂酸三乙醇胺皂、聚山梨酯类等;或助悬剂,如司盘类、月杜醇等。
44-45.CB【解析】免疫脂质体为主动靶向制剂中修饰的药物载体,即在脂质体表面接上某种抗体,具有对靶细胞分子水平上的识别能力,可提高脂质体的靶向性。被动向靶制剂:即自然靶向制剂,这是载药微粒进入体内即被巨噬细胞作为外界异物吞噬的自然倾向而产生的体内分布特征。常见的有微囊、微球和脂质体。
46-48.DBA【解析】渗透压调节剂:常用渗透压调节剂有氯化钠、硼酸、葡萄糖、硼砂等。抑菌剂:常用的抑菌剂有三氯叔丁醇、硝酸苯汞、苯乙醇、羟苯乙酯等。黏度调节剂:常用的黏度调节剂有甲基纤维素、聚乙烯醇、聚乙烯吡咯烷酮等。
49-50.DD【解析】和法是通过和解或调和的作用以达到祛除病邪目的的一种治法。其中主要有和解少阳、透达膜原、调和肝脾、疏肝和胃、调和寒热、表里双解等。
51-52.CD【解析】耐热性:除另有规定外,橡胶贴膏取供试品2片,除去盖衬,在60℃加热2小时,放冷后,背衬应无渗油现象;膏面应有光泽。用手触试应仍有黏性。赋形性:取凝胶贴骨供试品1片,置37℃、相对湿度64%的恒温恒湿箱中30分钟,取出,用夹子将供试品固定在一平整钢板上,钢板与水平面的倾斜角为60°,放置24小时,膏面应无流淌现象。
53-54.AD【解析】降香:呈类圆柱形或不规则块状。表面紫红色或红褐色,切面有致密的纹理。质硬,有油性。气微香,味微苦。苏木:呈长圆柱形或对剖半圆柱形,表面黄红色至棕红色,具刀削痕,常见纵向裂缝。质坚硬,断面略具光泽,年轮明显,有的可见暗棕色、质松、带亮星的髓部。气微,味微涩。
55-57.EEC【解析】凡规定检查溶出度或释放度的胶囊剂,一般不再进行崩解时限的检查。释放度:缓释胶囊应符合缓释制剂的有关要求并应进行释放度检查;控释胶囊应符合控释制剂的有关要求并应进行释放度检查。肠溶胶囊应符合释制剂的有关要求,并进行释放度检查。
58-60.ABC【解析】A为阿魏酸。没食子酸鞣质水解后可产生没食子酸(或其缩合物)和多元醇,B为没食子酸。组成缩合鞣质的基本单元是黄烷-3-醇,最常见的是儿茶素,C为儿茶素。
61-63.DEC【解析】天麻:呈椭圆形或长条形,略扁,皱缩而稍弯曲,表面黄白色至淡黄棕色,有纵皱纹及由点状突起(潜伏芽)排列而成的横环纹多轮。有时可见棕褐色菌索。顶端有红棕色至深棕色鹦嘴状的芽或残留茎基;底部有圆脐形疤痕。质坚硬,不易折断,断面较平坦,黄白色至淡棕色,角质样。气微,味甘。三棱:呈圆锥形,表面黄白色或灰黄色有刀削痕。根须痕小点状,略呈横向环状排列。体重,质坚实。气微,味淡,嚼之微有麻辣感。香附:多呈纺锤形,略扁,表面黄白色或灰黄色,有纵皱纹,并有6~10个略隆起的环节,节上有未除净的棕色毛须及须根断痕;去净毛须者较光滑,环节不明显。质硬,经蒸煮者断面黄棕色或红棕色,角质样;生晒者断面色白而显粉性,内皮层环纹明显,中柱色较深,点状维管束散在。气香,味微苦。
64-66.DCB【解析】加拿*麻大**苷为甲型强心苷,商陆皂苷为三萜皂苷,栀子苷为环烯醚萜苷。
67-68.CC【解析】《中国药典》规定穿心莲药材叶不得少于30%,薄荷药材叶不得少于30%,广藿香药材叶不得少于20%等,从而保证这些中药的总体质量。
69-71.ADE【解析】辛能散、能行,有发散、行气、活血作用。辛味药大多能耗气伤阴,气虚阴亏者慎用。甘能补、能缓、能和,有补虚、和中、缓急、调和药性等作用。甘味药大多能腻隔碍胃,令人中满、凡湿阻、食积、中满气滞者慎用。苦能泄、能燥、能坚。苦味药大多能伤津、伐胃,津液大伤及脾胃虚弱者不宜大量用。
72-73.BE【解析】《中国药典》采用高效液相色谱法测定肿节风中异嗪皮啶和迷迭香酸含量。《中国药典》以杜鹃素为对照品对满山红进行含量测定。
74-76.CDA【解析】橙皮苷为二氢黄酮类化合物,丹参酮为菲醌类化合物,黄芪甲苷为三萜皂苷类化合物。
77-78.CE【解析】煅赭石降低了苦寒之性,增强了平肝止血作用。用于吐血、衄血及崩漏等症。且煅后使质地酥脆,易于粉碎和煎出有效成分。煅牡蛎增强了收敛固涩作用。用于滑脱诸证,胃痛冷酸,心神不安。
79-81.DAE【解析】胡黄连:呈圆柱形,略弯曲,有的偶有分支,表面灰棕色,粗糙,有较密的环状节,具稍隆起的芽痕或根痕,上端密被暗棕色鳞片状的叶柄残基。体轻,质硬而脆,易折断,断面略平坦,淡棕色至暗棕色,木部有4~10个类白色点状维管束排列成环。气微,味极苦。莪术饮片:呈类圆形或椭圆形厚
片。表面灰黄色或灰棕色,有时可见环节或须根痕,切面黄绿色、黄棕色或棕褐色,内皮层环纹明显,散在”筋脉”小点。气微香,味微苦而辛。白芍:呈类圆形的薄片。表面淡棕红色或类白色、平滑。切面类白色或微带棕红色,形成层明显,可见稍隆起的脉纹呈放射状排列。气微,味微苦,酸,
82-83.CD【解析】肉桂:呈槽状或卷筒状,外表面灰棕色,稍粗糙,有不规的细皱纹及横向突起的皮孔,有的可见灰白色的纹斑;内表面红棕色,较平坦,有细皱纹,划之显油痕。质硬而脆,易折断,断面不平坦,外层棕色而较粗糙,内层红棕色而油润,两层中间有1条黄棕色的线纹。气香浓烈,味甜、辣。厚朴饮片:呈弯曲的丝条状或单、双卷筒状,外表面灰褐色,有时可见椭圆形皮孔或纵皱纹,内表面紫棕色或深紫褐色,较平滑,具细密纵纹,划之显油痕,切面颗粒性,有油性,有的可见小亮星。气香,味辛辣、微苦。
84-86.ECA【解析】酒黄精具麻味,刺入咽喉。蒸后补脾润肺益肾功能增强,并可除去麻味,以免刺激咽喉。用于肺虚燥咳,脾胃虚弱,肾虚精亏。酒黄精能其药势,使之滋而不腻,更好的发挥补益作用。 熟地黄:性味甘,微温。归肝、肾经。具有补血滋阴,益精填髓的功能。用于血虚萎黄,心悸怔忡,月经不调,崩漏下血,肝肾阴虚,腰膝酸软,骨蒸潮热,盗汗遗精,内热消渴,眩晕,耳鸣,须发早白。 生地黄:性味甘,寒。归心、肝、肾经。为清热凉血之品,具有清热凉血之品。具有清热凉血,养阴生津的功能。用于热入营血,吐血衄血,热病伤阴,舌绛烦渴,津伤便秘,阴虚发热,骨蒸劳热,内热消渴。
87-89.BCA【解析】槲寄生:为不规则的厚片。茎外皮黄绿色、黄棕色或棕褐色。切面皮部黄色,木部浅黄色,有放射状纹理,髓部常偏向一边。叶片黄绿色或黄棕色,全缘,革质。气微,味微苦,嚼之有黏性。 石斛:呈扁圆柱形或圆柱形的段。表面金黄色、绿黄色或棕黄色,有光泽,有纵深沟或纵棱,有的可见棕褐
色的节。切面黄白色至黄褐色,有多数散在的筋脉点。气微,味淡或微苦,嚼之有黏性。 桑寄生:茎枝呈圆柱形,表面红褐色或灰褐色,具细纵纹,并有多数细小突起的棕色皮孔,嫩枝有的可见棕褐色茸毛;质坚硬,断面不整齐,皮部红棕色,木部色较浅。叶多卷曲,具短柄;叶片展平后呈卵形或椭圆形,表面黄褐色,幼叶被细茸毛,先端钝圆,基部圆形或宽楔形,全缘;革质。气微,味涩。
90-91.BC【解析】A为胡椒碱,B为莨菪碱,C为小檗碱,D为*粟罂**碱,E为*啡吗**碱。
92-94.BDC【解析】除另有规定外,合剂应密封,置阴凉处贮存。软膏剂应避光密封贮存。乳膏剂应避光密封置25℃以下贮存。不得冷冻。酊剂应遮光,密封,置阴凉处贮存,膏药应密闭,置阴凉处贮存。
95-96.CA【解析】A巴戟天为广药,B远志主产山西、陕西、古林、河南等地,C玄参为浙药,D黄精为贵药,E藁本主产陕西、甘肃、河南、四川等。
97-98.BD【解析】A地榆:气微,味微苦涩。B赤芍:气微香,味微苦、酸涩。C丹参:气微,味微苦涩。D白术:气清香,味甘、微辛,嚼之略带材黏性。E黄芩:气微,味苦。
99-100.DA【解析】A白芷,B甘草,C苦参,D知母,E石菖蒲。
三、综合分析选择题
101.B【解析】苦参中生物碱为双稠哌啶类生物碱,有抗病原体作用。
102.B【解析】阴道给药的中药制剂,制
剂不得检出金黄色葡萄球菌、铜绿假单胞菌、
白色念珠菌(1g、1ml或10cm2)、梭菌(1g、1ml或10cm2)。
103.A【解析】阴道泡腾片应检查发泡量。除另有规定外,供试品10片,依法检查,平均发泡体积应不小于6ml,且少于4ml的不得超过2片。
104.B【解析】题中图片所示为芦荟大黄素,是大黄中具有抗菌作用的成分。
105.D【解析】草乌中具双酯型生物碱,有毒。
106.C【解析】醋乳香:取净乳香,置炒制容器内,用文火加热,炒至冒烟,表面微溶,喷淋定量的米醋,边喷边炒至表面油亮光泽时,迅速取出,摊开放凉。每100kg乳香,用米醋5kg。醋乳香刺激性缓和,利于服用,便于粉碎。醋乳香还能增强活血止痛、收敛生肌的功效,并可矫臭矫味。
107.C【解析】糊丸应在2小时内全溶散,蜡丸是按肠溶衣片崩解时限检查法检查。
108.D【解析】明胶空心胶囊应在10分钟内全部溶化或崩解。
109.C【解析】法半夏:取净半夏,大小分开,用水浸泡至内无干心,取出,另取甘草适量,加水煎煮二次,合并煎液,倒入用适量石灰水配料的石灰液中,搅匀,加入上述已浸透的半夏,浸泡,每日搅拌1~2次,并保持浸液pH在12以上,至切面黄色均匀,口尝微有麻舌感时,取出,洗净,阴干或烘干。每100kg半夏,用甘草15kg,生石灰10kg。
110.D【解析】细辛中有痕量的马兜铃酸,有明显的肝肾毒性。
四、多项选择题
111.ABCE【解析】按照苷键原子分类,氧苷分为酯苷、氰苷、酚苷、吲哚苷、醇苷。
112.ACDE【解析】环糊精包合物的作用:(1)提高药物的稳定性;(2)增加药物的溶解度:(3)减少药物的刺激性,掩盖不良气味;(4)调节药物的释放速度;(5)使液体药物粉末化而便于制剂。
113.ABD【解析】毒蛋白主要存在于植物的种子中,对胃肠黏膜有强烈的刺激和腐蚀作用,能引起广泛性内脏出血。如巴豆、苍耳子、蓖麻子均含有毒蛋白,中毒反应为剧烈吐泻、呕血、血尿、甚至惊厥、死亡。
114.BCD【解析】以香豆素为质量控制成分的中药有秦皮、前胡、肿节风、补骨脂。陈皮为二氢黄酮类,五味子为木脂素类。
115.BDE【解析】纯化水可作为配制普通药物制剂用的溶剂或试验用水;可作为中药注射剂、滴眼剂等灭菌制剂所用饮片的提取溶剂;口服、外用制剂配制用溶剂或稀释剂;非灭菌制剂用具的精洗用水。也用作灭菌制剂饮片的提取溶剂。纯化水不得用于注射剂的配制与稀释。
116.ABE【解析】枯梗、川贝母、前胡、皂荚等能促进呼吸道的分泌功能,呈现祛痰作用。
117.AC【解析】雄黄、朱砂宜用水飞法炮制。芒硝宜用提净法,炉甘石宜川用煅淬法,石膏宜用明煅法。
118.BCE【解析】药用仅为花的某一部分,如西红花系柱头,莲须系雄蕊,玉米须系花柱,松花粉、蒲黄等则为花粉粒等。
119.AD【解析】国公酒属酒剂,藿香正气水属酊剂。酒剂应检查乙醇含量和甲醇含量,按照《中国药典》规定的方法检查,酊剂的甲醇量、乙醇量、装量及微生物限度等均应符合有关规定。
120.AD【解析】A为羌活,来源伞形科;B为秦艽,来源龙胆科;C为重楼,来源百合科;D为川芎,来源伞形科;E为知母,来源百合科。