#退税 1 #买断汇率 1
一生所爱卢冠廷;莫文蔚 - 齐天周大圣之西游双记 电影歌乐游唱版
刚认识B总那会儿,外贸公司还是可以的,起码还有美女前台,业务员每年都能出国,部门经理日子更是好过,绝不亚于现在金融界的霸道总裁……
想当年内地工厂接到外贸单子,还会找专业外贸公司代理出口,毕竟要对接商检/海关/税务/外管几道口子,这方面外贸公司人头熟搞得定,而且还能预垫出口退税,等于变相给了厂里一笔小额融资,做外贸这行,没听说过哪家工厂不缺钱的……
当时的代理出口合作,也是非常的简单粗暴,在FOB条款下,通常就跟厂里谈个买断汇率就OK了!外贸公司实际收到的美元,乘以买断汇率,便是应付工厂的货款了。
买断汇率通常高于银行汇率,因为外贸公司除了美元收入,还有退税收入。
于是如何计算买断汇率,就成了很多新上岗外销员的第一课。
说穿了其实也不难,无非一道初中代数题罢了,
关键要抓住诸多变量中的锚,S:美元收入
美元收入能换到的¥为:S*r,r:银行汇率
应付工厂货款为:S*R,R:买断汇率
外贸公司代理费为:S*b,b:每单位美元代理费
(比如,一美元收1毛人民币代理费,b=0.1)
接下来算退税,也不难,由于工厂货款S*R是含税价,先算出不含税货款S*R/(1+t),t为征税率,然后再乘以退税率T,算出退税收入为:S*R*T/(1+t)

下面就可以列等式啦,
原理就是:收入=利润+支出,即:
美元收入+退税收入=代理费(利润)+工厂货款(支出)
S*r+S*R*T/(1+t)=S*b+S*R
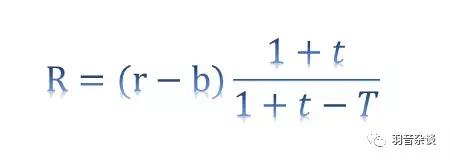
等式两边约掉S,移项化简后求得:
R=(r-b)*(1+t)/(1+t-T)
终于推导出公式,原来买断汇率
=(银行汇率-代理费)×(1+征税率)÷(1+征退税率之差)

激动之余代入点数字算算看:
假设当年银行汇率7.5,代理费0.1,
再假设征税率17%,退税率13%,
那么买断汇率就=(7.5-0.1)*1.17/1.04=8.325
意味着:收到10000美元,就结给工厂82350人民币货款,退税下来后,赚到代理费1000元。
另外,当征退税之差为零,即退税率T=征税率t时,
买断汇率R的计算公式可以简化为:R=(r-b)*(1+t)
(r:银行汇率;b:代理费;t:征税率)
是不是简单到可以心算~