
1 概览篇
- 数据来源:截至2019年10月31日分别考察了京东上美迪惠尔、御泥坊、自然堂、百雀羚、一叶子、蒂佳婷等热销面膜有效样本合计2843条
- 数据修约误差:本报告中部分数值各项之和可能不为1,是由于数据修约误差误差所致,并未做机械调整
- 其他说明:本期为第一期面膜品牌画像报告以后每季度进行跟踪,品牌画像最终解释权归曹冲称象所有,转载请注明出处
2 样本总体信息
最近年底冲业绩,老是加班熬夜,双十一快到了,要不买点面膜吧
说明:曹冲挑选了京东上最畅销的6个面膜品牌,为了避免样本间销售差异,选取的样本种类均为京东前15页畅销数据,样本总体情况如下表所示:

我们根据表格,画出样本分布图下图所示:

2.1 店铺分布
说明:我们考察了191家店铺,其中专营店103家,旗舰店59家,其他28家,自营1家这些样本的比例分布图如图所示:

在这191家店铺中,店铺规模前三的店铺分别是百雀羚旗舰店京东自营官方店,御泥坊官方旗舰店,一叶子旗舰店;店铺规模前10的卖家如下表所示:

2.2 商品价格分析
我们分析了不同的品牌价格的均值,方差,最大,最小,以及不同的中位数,如下表所示:

为了更好的比较不同品牌之间的价格,我们将价格表画成价格柱状图,如图下图所示:

- 价格均值,前两个品牌分别是:美迪惠尔127.27元,御泥坊115.21
- 价格最大值,前两个品牌分别是:百雀羚1299.0,自然堂748.
2.3 商品评价分析
我们分析了不同的品牌评价的均值,方差,最大,最小,以及不同的中位数,如下表所示:

为了更好的比较不同品牌之间的评价,我们将评价表画成评价柱状图,如图下图所示:

评价均值,从高到低分别是:美迪惠尔70885.13,御泥坊53275.7,一叶子48695.97,百雀羚34984.87,自然堂18699.44,蒂佳婷10054.85
2.4 商品活动分析
我们从商品的优惠券和活动两个维度,分析品牌近期活动情况,如下表所示:

为了更好的比较不同品牌的活动,我们将活动情况画成柱状图,如图下图所示:

满减活动,最高的两个品牌是自然堂0.42,一叶子0.413
优惠券活动力度最大的品牌是 百雀羚0.755,自然堂0.611,一叶子0.309
2.5 商品服务分析
我们从商品的放心购和包邮两个维度,分析品牌近期活动情况,如下表所示:

为了更好的比较不同品牌的活动,我们将活动情况画成柱状图,如图下图所示:

- 放心购活动前两位是自然堂0.683,一叶子0.617,
- 包邮率活动,前两位是自然堂0.843,一叶子0.802
- 自然堂和一叶子的售后服务是最好的
3 品牌画像
3.1 曹冲称象
计算品牌的平均价格,平均评价,自营率,放心购率,包邮率,满减率
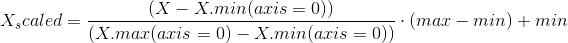
使用MinMaxScaler,归一化公式如下:

计算雷达图的面积,将雷达图面积取10的对数*100作为商品的最终评分
我们影响品牌的六大因素出发,为品牌进行打分,打分主要考察,品牌的价格因素,评价因素,是否支持自营,放心购,包邮,满减等情况,最终算出品牌的总体得分;总体得分表如下图所示:

3.2 画像分析
品牌介绍:一叶子品牌的曹冲评分96.05,2014年,上美集团旗下一叶子品牌应运而生 。

品牌介绍:御泥坊品牌的曹冲评分95.72,御泥坊是一个护肤品牌,主要生产以面膜为主的护肤产品。

品牌介绍:自然堂品牌的曹冲评分94.33,自然堂,伽蓝(集团)股份有限公司旗下产品,2001年创立于上海。该倡导乐享自然,美丽生活的理念,针对中国人的文化、饮食和肌肤特点研制,甄选珍稀天然成分融合先进科技,致力于为中国消费者提供更好更专业品质的产品和服务。

品牌介绍:百雀羚品牌的曹冲评分93.71,品牌曾被多次评选为"上海著名商标",并荣获"中国驰名商标"等称号。百雀羚创立于1931年,是国内屈指可数的历史悠久的著名化妆品厂商。

品牌介绍:美迪惠尔品牌的曹冲评分92.65,MEDIHEAL美迪惠尔是韩国L&P(株)化妆品旗下护肤品牌。该以皮肤科专家的临床经验与专业理论为基础,联合十位韩国皮肤科专家企划研发了clinie可莱丝面膜,开创面膜界奇迹补水+修复技术。

品牌介绍:蒂佳婷品牌的曹冲评分85.69,Dr.Jart+是来自韩国的药妆品牌,同时也是韩国的BB霜始祖。Dr.Jart+蒂佳婷品牌寓意为"Dr."与"art"相结合,把理性、信任的专业背景与感性、热情、快乐的护肤艺术相融合的药妆品牌。

4 冲儿推荐
4.1 推荐条件
- 计算品牌价格后,选取价格因素选取品牌前50%到75%的商品
- 计算品牌总体评价,挑选商品评价数大于品牌评价数75%
- 商品售后保障优秀
- 商品活动,近期有打折或满减的情况
- 品牌的筛选条件如下表所示:

5 报告总结
双十一快到啦,90后们还在孜孜不倦的熬夜,勤勤恳恳的护肤,囤点面膜,保养自己,祝各位天天美如画,永远年轻

喜欢曹冲的同学可以点赞留言,并关注曹冲称象微信公众号,我们会定期更新面膜的大数据报告,爱你们,么么哒!