首先要说的是,功放机输出分定压式和定阻式两种。定压式与定阻式功放有不一样的效果,下面详细解释功放与喇叭的配接与相关计算。
一、定压式功放机
定压式功放机输出内阻非常低,可以把它想像成一台发电机,只要电压合适的负载都可以连接到它的输出端。采用线间变压器时,选择变压器的输入电压与功放机的输出电压相同,功率和阻抗与喇叭适合的即可。总负载功率可以小于功放机的输出功率,但不能超过。如一台150W的定压输出的功放机只带1只1W的小喇叭都没问题。
定压式功放机输出的电压高、电流小,可输出百伏高电压,不随负载的增减而变化,它的输出可以减小线路损耗,可以远距离接喇叭,可作远距离有线广播用。一般都是采用并联接法。因为有升、降压变压器,使频率响应、瞬态响应明显不良,大大影响音质,但却有独特的人声还原效果。因而在广播、会议等场合得到应用。这类功放往往是单声道的。定压音箱因为扬声器一般还是用普通喇叭,所以箱内有变压器,把高压变为低压再送给喇叭。这个过程也是高阻变低阻的过程。
在定压式功放机中,如果额定负载电压发生变化,功率就发生相应变化。100V,10W的音箱接在70V上变成了4.9W(100V与70V两种电压下的功率相差近一倍)。
原因是:因音箱电阻为R =U2/P = 1002/10=1000(Ω),所以当音箱接在70V电压上时,功率为 P′=U′2 /R = 702/1000 = 4.9(W) 国内的定压标准是120V、240V,国外的定压标准是70V、100V 定压式扩音机与扬声器的配接原则:
只要扬声器所得功率总和不超过扩音机额定输出功率,那么就可以按照接电灯的方法一样,把扬声器一个个并联接好。此时,主要注意扩音机输出电压和各扬声器的承受电压是否相同,否则,就要用用线间变压器来配接。公式如下:

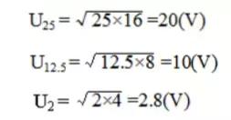
例:学校一部250W扩音机,输出电压为120V。现有25W16Ω、12.5W8Ω、2W4Ω等几种扬声器,如何选择线间变压器?
解:各种扬声器承受的电压

所以线间变压器的变压比分别为 120:20、120:10和120:2.8等几种,功率分别与扬声器额定功率相同。
二、定阻式功放机
定阻式功放机输出的电流大、电压低,是高品质功放,如家用、KTV娱乐场所、车载功放,适合与标准阻抗喇叭直接配合。喇叭的阻抗多用4—8Ω,音质上好,传输限100米以内。这类功放多为双声道,现在大量出现更多声道的环绕功放。
定阻式功放机负载总阻抗必须与功放机输出阻抗必需匹配。负载的总功率可以大于功放机的输出功率。
阻抗匹配是功放技术中常见的一种工作状态,它反映了输人电路与输出电路之间的功率传输关系。当电路实现阻抗匹配时,将获得最大的功率传输。反之,当电路阻抗失配时,不但得不到最大的功率传输,还可能对电子元器件产生损害。阻抗匹配常见于各级放大电路之间、放大器与负载之间等。例如,功放机的输出电路与扬声器之间必 须做到阻抗匹配,不匹配时,功放机、的输出功率将不能全部送至扬声器。如果扬声器的阻抗远小于功放机的输出阻抗,功放机就处于过载状态,其末级功率放大管很容易损坏。反之,如果扬声器的阻抗高于功放机的输出阻抗过多,会引起输出电压升高,同样不利于功放机的工作,声音还会产生失真。因此功放机电路的输出阻抗与扬声器的阻抗越接近越好,最好是负载阻抗等于功放机的输出阻抗,这时输出功率最大,也是最佳状态。
在中学物理电学中曾讲述这样一个问题:把一个电阻为R的用电器,接在一个电动势为E、内阻为r的电池组上,在什么条件下电源输出的功率最大呢?当外电阻等于内电阻时,电源对外电路输出的功率最大,这就是纯电阻电路的功率匹配。假如换成交流电路,同样也必须满足R=r这个条件电路才能匹配, 这时输出功率最大,也是最佳状态。
定阻式功放机若使用不当,有可能烧坏功放机或扬声器,其主要表现在超负载和轻负载(或无负载),也就是阻抗和功率不匹配造成的。定阻式功放机,要求负载的阻抗恒定。输入信号一定时,输出电压随负荷改变而变化很大。
定阻式功放机的输出阻抗常有4Ω、8Ω、16Ω、25OΩ等,可以分为低阻抗输出和高阻输出两种。在教室或会场中单独使用功放机时,一般都采用低阻输出;在学校的有线广播线路中,一般都使用高阻输出或定压式输出。低阻抗输出时,可以和扬声器直接配接;高阻抗输出时,要通过线间变压器与扬声器进行间接配接。
定阻式功放机与扬声器的配接原则:
1.扬声器所得功率总和应等于或稍小于功放机额定输出功率,而扬声器额定功率总和必须大于或至少等于功放机输出功率,以防扬声器过载而损坏。通常所说的“负载总功率”指的是各扬声器所得功率之和,而不是各扬声器额定功率之和。
2.扬声器连接好以后,负载线总阻抗应等于功放机输出阻抗。若条件有限,相差不应超过10%。此时,应使负载线总阻抗稍大于功放机输出阻抗,而不应小于其输出阻抗。
3.每只扬声器所得功率不得超过其额定功率,一般达到额定功率 75%~ 80%即可。这样声音虽然轻一些,但失真小,寿命长。
低阻输抗出的定阻式功放机与扬声器的配接

高阻抗输出的定阻式功放机与扬声器的配接
在高阻抗输出的情况下,一般都使用线间变压器来进行“阻抗匹配”。线间变压器的次级阻抗与扬声器阻抗相同,初级阻抗按照线路的实际需要确定;线间变压器的功率和扬声器额定功率相同。
当扬声器总的输入阻抗不等于功放机输出阻抗时,需加线间变压器, 功放机的输出阻抗R出与线间变压器的初级输入阻抗R入间的关系式,由P=U2 / R得: R入 = P出R出 / P入 。
高阻抗输出一般都采用并联方式连接扬声器。
例:学校有一台100W功放机,输出阻抗250Ω;有3只25W16Ω扬声器,2只12.5W8Ω扬声器,如何选择线间变压器?
解:
P总 = 3 × 25+2 × 12.5 = 100(W)
R25 = 100 × 250 / 25 = 1000(Ω)
R12.5 = 100 × 250 /1 2.5 = 2000(Ω)
因此功放机与扬声器的配接应按下图所示连接。

如果定阻的功放接定压的音箱,结果主要是音量小。 如果定压的功放接定阻的音箱,结果是严重不匹配,极易功放机或音箱过载而损坏。一般远距离广播系统使用定压输出,近距离音响系统使用定阻输出。