
手机,作为日常生活的必需品,想必大家都已不陌生,手机屏上跃动的指尖,是"刷微博、逛淘宝、发朋友圈"永恒不变的信仰!

本期物理君为你解惑——
为什么手指能滑动手机屏幕?
什么样的材质能滑动手机屏幕?
屏幕沾水会怎样?
最后,请拿起手机,用您灵巧的手指,向上滑动,享用“一问一答”为您呈现的知识盛宴吧!
1
Q
为什么钢化玻璃敲边缘比敲中间容易碎?
by 狒狒
A
先介绍一下钢化玻璃是怎么生产出来的。一种生产钢化玻璃的方法是将普通退火玻璃加热到软化温度,然后再将其急速冷却。急速冷却过程中,玻璃表面被冷却至退火温度以下,快速硬化,形成固态外壳;而内部的玻璃还处于液态,慢慢冷却时会拉着固态外壳收缩,让表层玻璃(固态外壳)受到巨大的压应力,相应地,内部的玻璃则被固态外壳拉向四周,受到的是张应力。鲁伯特之泪也是这个原理。
当钢化玻璃受压时,外力首先要抵消玻璃表层的压应力,从而提高了玻璃的承载能力。从这我们可以知道,钢化玻璃抗冲击性能好的原因是其表面具有压应力。但是钢化玻璃的边角区域往往会应力集中,属于比较脆弱的区域,因此敲击边缘容易碎。汽车的侧窗玻璃就是钢化玻璃,细心点就能发现,逃生锤的使用指南上说要敲击侧窗玻璃的边角,原因就是敲击侧窗玻璃边角容易使玻璃出现裂缝,进而应力释放会让整块玻璃碎成渣渣,便于逃生。
By 重光
2
Q
为什么远程输电要用交流电呢?
by 匿名
A
当电流I通过电阻值为R的电阻时会产生热量,所产生的热量Q=I2Rt。
电线存在电阻,因此输电的时候就会发热损耗一部分能量,电线越长则损耗的能量就越多。从公式来看,降低R或者降低I都可以减小Q。对于降低R来说就是选择合适的电线材质。
发电厂发出的电功率是一定的,它决定于发电机组的发电能力,根据P=UI,若提高输电线路中的电压U那么线路中电流I一定会减小,因此能量损耗就小。早期制造高压直流电比较困难,而交流电在技术上要容易很多,因此就一直在发展高压交流输电。事实上高压直流输电具有很多的优点,具有很好的发展前景。
By Patwf
3
Q
正弦交流电的有效值为什么等于最大值除以根号二?
by 惭愧物理生
A
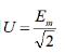
让我们先看一看交流电有效值的定义:在相同的电阻上分别通过直流电流和交流电流,经过一个交流周期的时间,如果它们在电阻上所消耗的电能相等的话,则把该直流电流(电压)的大小作为交流电流(电压)的有效值。
在上述情况中,消耗的电能变为热能Q,单位时间内产生的热量等于电压的平方除以电阻,对于正弦交流电来说,其电压E=Emsinωt,周期T=2π/ω。正弦交流电的电压在随时间变化,要计算其一个周期产生的热量需要进行积分。我们假设直流电的电压为U,电流通过的电阻而R,则有:

,
解上述方程便可以得到:

。
By Patwf
4
Q
游标卡尺的工作原理是什么?
by 匿名
A
游标卡尺由主尺和附在主尺上能滑动的游标两部分构成。主尺一般以毫米为单位,即一格刻度对应1mm,而游标上则有10、20或50个分格。以10分格为例,其10个分格加起来一共是9mm,即每一个刻度对应着0.9mm。

如图所示,被测小球的直径实际长度是游标的刻度0所指的位置。但这一位置位于主尺的两个刻度之间,即其直径在2.2cm到2.3cm之间,只能精确到1mm。十分度的游标卡尺可以提供0.1mm的精度。度数时先读出0刻度左侧的数值,然后再看游标第几条刻度与主尺刻度重合,乘以0.1mm加到主尺度数上即可。
假如游标的0刻度正好处于2.2cm的位置,则游标的刻度10正好位于3.1cm处,因为游标的刻度之间间距为0.9mm,此时前9个刻度都不会与主尺的刻度重合。对第一刻度来说,其位于2.3cm左侧1mm-0.9mm=0.1mm处,因此当游标的0刻度往右移动0.1mm时,其第一条刻度便与主尺重合了,此时测量的长度便是2.2cm+0.1mm=2.21cm。而当0刻度往右移动0.2mm时,刻度1跑到了2.2cm右侧0.1mm处,但此时刻度2则正好与主尺刻度重合了,因此测量的长度便是2.2cm+0.2mm=2.22cm,以此类推。
By Patwf
5
Q
手指能滑动手机屏幕,有些东西却不能。什么样的材质才能滑动手机屏幕呢?
by 石头门
A
现在绝大多数智能手机屏幕都是采用电容式触摸屏,当手指触摸在金属层上时,由于人体电场,用户和触摸屏表面形成以一个耦合电容,对于高频电流来说,电容是直接导体,于是手指从接触点吸走一个很小的电流。这个电流分别从触摸屏的四角上的电极中流出,并且流经这四个电极的电流与手指到四角的距离成正比,控制器通过对这四个电流比例的精确计算,得出触摸点的位置。也因此,只要利用的材质和手机屏幕创造电容就行,导体比如说:苹果皮、西瓜皮、香蕉皮等等都能滑动手机屏幕。绝缘体比如说厚纸张、塑料、橡胶是不行的。
此外,当手上沾了太多水时取触摸屏幕,由于屏幕上会产生太多感应位点,无法计算出准确的触碰位置,因此会产生触控漂移的现象,屏幕也就不灵敏了。
By Nuor
6
Q
为什么人会陷入流沙?
by llovemjxy
A
从力学角度分析,人走在任何地面上,都会给地面施加压力。人与地面的接触面越小,则产生的压强越大。所以走在较薄的冰面上时,四肢着地趴着会更加的安全。同样的道理,人走在沙漠里会对沙子施加压力。通常沙漠的沙粒堆积的很密集,沙粒和沙粒之间的空隙很小,且沙粒之间的摩擦力很大,因此踩上去并不会有什么影响。但当沙子中混有水和黏土时情况就不一样了,此时沙粒之间的摩擦力减小,沙子的流动性也在增强,即流沙。流沙常出现在地基不稳的沙漠地带,这片沙漠下边都会有水源。当人踩上去后沙滩hold不住较大的压强就会形变,人脚也就开始下陷。事实上就是重新获得力来与重力平衡的过程,因此人陷入流沙后只要不剧烈的挣扎就不会被淹没。因为沙子的密度比人要大,随着人的不断陷入,所受到的浮力也会越来越大,最终会陷到腰或者胸腔的位置。
By Patwf
7
Q
为什么有些金属离子在水中有颜色而有些没有?颜色又是怎么产生的呢?
by 亦非
A
在水中有颜色的金属离子往往是过渡金属离子。
因为过渡金属有一个未充满的价壳层d轨道,所以过渡金属往往有不止一种氧化态。当过渡金属离子与中性或带负电的配体结合时,它们会形成所谓的过渡金属配合物。配体通过共价键或配位键与中心离子结合。常见配体包括水、氯离子和氨。
当一个配合物形成时,因为有些电子更靠近配体,过渡金属离子的d轨道形状会发生变化,这样就会发生d轨道的分裂:有些d轨道进入高能级,而另一些则进入低能级。这样就形成了一个能隙。电子可以吸收光子,从低能级跃迁到高能级。被吸收的光子的波长取决于能隙的大小。(这就是为什么s和p轨道发生分裂时不会产生有色复合物。因为形成的能隙比较宽,吸收的光子处于紫外区域,肉眼观察不到。)
另外,过渡金属由于具有未充满的价壳层d轨道,所以有人将锌、镉、汞排除在过渡金属之外,因它们有充满的价壳层d轨道。根据化学常识我们知道,Zn2+在水中是无色的,这与其d轨道充满了电子有关。
By 重光
8
Q
为什么很多物理方程中都有π这个数?
by 平行宇宙
A
首先,π是数学上的一个定义值,为圆的周长和直径的比值。常见的数学概念三角函数,傅里叶变换,球积分,留数定理,正态分布等概念中都含有π的概念,而又因为这些概念应用极广,引申到其他学科,比如物理,工程,经济等学科,使得π的传播异常广泛。
在物理学中,π这个常数出场率最高的在电磁场方程中,比如说:库伦定律、磁场强度、格林函数等,这些方程中π多多少少都有出现。当以库伦定律为例,在国际单位制(SI)下,其表达式为:

库仑作用力的系数是通过实验测定的,其系数应该为一个定值(高斯单位制规定其为系数为1,国际单位制规定为以上表达,含有π),在推导麦克斯韦方程组时,利用高斯定理需要对电场进行积分,由于球面的面积包含π,引入π的乘法,最后推出麦克斯韦方程组结果中不含有π(当然高斯单位中由于中途引入含有π)。此时可以看出π是由于球面积分的作用引入的。
π另一个出场率较多的是在动量空间中的各种量的求解中,这是因为实空间和动量空间的转化需要做傅立叶变化,在这个过程中,π作为归一化因子引入方程中。计算统计物理的时候,π也会出场,此时其是因为相空间的积分引入的。量子力学中,量子力学中普朗克常量本身就隐含着2π的关系,由于对易关系:

将这个含有π的量引申到量子力学的方方面面。
By Nuor

本期答题团队:
物理所 重光、Nuor、Patwf
写下您的问题,下周五同一时间哦~

↓识别下方二维码快速提问↓
上期也精彩
为什么在跑道上要沿逆时针方向跑步?| No.155

编辑:香菜*法大**好
近期热门文章Top10
↓ 点击标题即可查看 ↓
1. 首届黑洞PS大赛来袭!为了这张「高糊」的图,中国科学家做出了啥贡献?
2. 物理学四大神兽,除了“薛定谔的猫”还有谁?
3. 地下多大的金矿才能影响到单摆实验?| No.149
4. 为什么用木棍打衣服就可以洗干净衣服?| No.150
5. 为了替你出气,我们给讨厌的杨柳絮来个「以暴制暴」
6. 玩扫雷还有什么技巧?科学家的玩游戏方法你绝对想不到
7. 在我国,没有任何一张地图能告诉你你的真实位置
8. 在客户鱼嘴里提供服务的小清洁虾、清洁鱼,是怎么知道自己不会被吃掉的呢?
9. 你以为土拨鼠只会尖叫?其实它可能正在骂你
10. 你知道为了测博尔特的速度,我们有多努力嘛?