线性代数知识点总结
1 行列式
(一)行列式概念和性质
1、逆序数:所有的逆序的总数
2、行列式定义:不同行不同列元素乘积代数和
3、行列式性质:(用于化简行列式)
(1)行列互换(转置),行列式的值不变
(2)两行(列)互换,行列式变号
(3)提公因式:行列式的某一行(列)的所有元素都乘以同一数k,等于用数k乘此行列式
(4)拆列分配:行列式中如果某一行(列)的元素都是两组数之和,那么这个行列式就等于两个行列式之和。
(5)一行(列)乘k加到另一行(列),行列式的值不变。
(6)两行成比例,行列式的值为0。
(二)重要行列式
4、上(下)三角(主对角线)行列式的值等于主对角线元素的乘积
5、副对角线行列式的值等于副对角线元素的乘积乘

添加图片注释,不超过 140 字(可选)
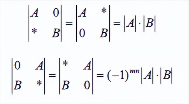
6、Laplace展开式:(A是m阶矩阵,B是n阶矩阵),则

编辑
添加图片注释,不超过 140 字(可选)
7、n阶(n≥2)范德蒙德行列式

编辑
添加图片注释,不超过 140 字(可选)
数学归纳法证明
★8、对角线的元素为a,其余元素为b的行列式的值:

编辑
添加图片注释,不超过 140 字(可选)
(三)按行(列)展开
9、按行展开定理:
(1)任一行(列)的各元素与其对应的代数余子式乘积之和等于行列式的值
(2)行列式中某一行(列)各个元素与另一行(列)对应元素的代数余子式乘积之和等于0
(四)行列式公式
10、行列式七大公式:
(1)|kA|=kn|A|
(2)|AB|=|A|·|B|
(3)|AT|=|A|
(4)|A-1|=|A|-1
(5)|A*|=|A|n-1
(6)若A的特征值λ1、λ2、……λn,则

添加图片注释,不超过 140 字(可选)
(7)若A与B相似,则|A|=|B|
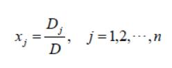
(五)克莱姆法则
11、克莱姆法则:
(1)非齐次线性方程组的系数行列式不为0,那么方程为唯一解

编辑
添加图片注释,不超过 140 字(可选)
(2)如果非齐次线性方程组无解或有两个不同解,则它的系数行列式必为0
(3)若齐次线性方程组的系数行列式不为0,则齐次线性方程组只有0解;如果方程组有非零解,那么必有D=0。
2 矩阵
(一)矩阵的运算
1、矩阵乘法注意事项:
(1)矩阵乘法要求前列后行一致;
(2)矩阵乘法不满足交换律;(因式分解的公式对矩阵不适用,但若B=E,O,A-1,A*,f(A)时,可以用交换律)
(3)AB=O不能推出A=O或B=O。
2、转置的性质(5条)
(1)(A+B)T=AT+BT
(2)(kA)T=kAT
(3)(AB)T=BTAT
(4)|A|T=|A|
(5)(AT)T=A
(二)矩阵的逆
3、逆的定义:
AB=E或BA=E成立,称A可逆,B是A的逆矩阵,记为B=A-1
注:A可逆的充要条件是|A|≠0
4、逆的性质:(5条)
(1)(kA)-1=1/k·A-1 (k≠0)
(2)(AB)-1=B-1·A-1
(3)|A-1|=|A|-1
(4)(AT)-1=(A-1)T
(5)(A-1)-1=A
5、逆的求法:
(1)A为抽象矩阵:由定义或性质求解
(2)A为数字矩阵:(A|E)初等行变换(E|A-1)
(三)矩阵的初等变换
6、初等行(列)变换定义:
(1)两行(列)互换;
(2)一行(列)乘非零常数c
(3)一行(列)乘k加到另一行(列)
7、初等矩阵:单位矩阵E经过一次初等变换得到的矩阵。
8、初等变换与初等矩阵的性质:
(1)初等行(列)变换相当于左(右)乘相应的初等矩阵
(2)初等矩阵均为可逆矩阵,且Eij-1=Eij(i,j两行互换);
Ei-1(c)=Ei(1/c)(第i行(列)乘c)
Eij-1(k)=Eij(-k)(第i行乘k加到j)
★(四)矩阵的秩
9、秩的定义:非零子式的最高阶数
注:(1)r(A)=0意味着所有元素为0,即A=O
(2)r(An×n)=n(满秩) |A|≠0 A可逆;
r(A)<n|A|=0A不可逆;
(3)r(A)=r(r=1、2、…、n-1)r阶子式非零且所有r+1子式均为0。
10、秩的性质:(7条)
(1)A为m×n阶矩阵,则r(A)≤min(m,n)
(2)r(A±B)≤r(A)±(B)
(3)r(AB)≤min{r(A),r(B)}
(4)r(kA)=r(A)(k≠0)
(5)r(A)=r(AC)(C是一个可逆矩阵)
(6)r(A)=r(AT)=r(ATA)=r(AAT)
(7)设A是m×n阶矩阵,B是n×s矩阵,AB=O,则r(A)+r(B)≤n
11、秩的求法:
(1)A为抽象矩阵:由定义或性质求解;
(2)A为数字矩阵:A初等行变换阶梯型(每行第一个非零元素下面的元素均为0),则r(A)=非零行的行数
(五)伴随矩阵
12、伴随矩阵的性质:(8条)
(1)AA*=A*A=|A|E ★A*=|A|A-1
(2)(kA)*=kn-1A*
(3)(AB)*=B*A*
(4)|A*|=|A|n-1
(5)(AT)*=(A*)T
(6)(A-1)*=(A*)-1=A|A|-1
(7)(A*)*=|A| n-2·A
★(8)r(A*)=n (r(A)=n);
r(A*)=1 (r(A)=n-1);
r(A*)=0 (r(A)<n-1)
(六)分块矩阵
13、分块矩阵的乘法:要求前列后行分法相同。
14、分块矩阵求逆:

编辑
添加图片注释,不超过 140 字(可选)
3 向量
(一)向量的概念及运算
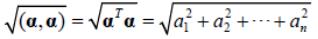
1、向量的内积:(α,β)=αTβ=βTα
2、长度定义: ||α||=

编辑
添加图片注释,不超过 140 字(可选)
3、正交定义:(α,β)=αTβ=βTα=a1b1+a2b2+…+anbn=0
4、正交矩阵的定义:A为n阶矩阵,AAT=E A-1=AT ATA=E |A|=±1
(二)线性组合和线性表示
5、线性表示的充要条件:
非零列向量β可由α1,α2,…,αs线性表示
(1)非齐次线性方程组(α1,α2,…,αs)(x1,x2,…,xs)T=β有解。
(2)r(α1,α2,…,αs)=r(α1,α2,…,αs,β)(系数矩阵的秩等于增广矩阵的秩,用于大题第一步的检验)
6、线性表示的充分条件:(了解即可)
若α1,α2,…,αs线性无关,α1,α2,…,αs,β线性相关,则β可由α1,α2,…,αs线性表示。
7、线性表示的求法:(大题第二步)
设α1,α2,…,αs线性无关,β可由其线性表示。
(α1,α2,…,αs|β)初等行变换(行最简形|系数)
行最简形:每行第一个非0的数为1,其余元素均为0
(三)线性相关和线性无关
8、线性相关注意事项:
(1)α线性相关α=0
(2)α1,α2线性相关α1,α2成比例
9、线性相关的充要条件:
向量组α1,α2,…,αs线性相关
(1)有个向量可由其余向量线性表示;
(2)齐次方程(α1,α2,…,αs)(x1,x2,…,xs)T=0有非零解;
(3)r(α1,α2,…,αs)<s 即秩小于个数
特别地,n个n维列向量α1,α2,…,αn线性相关
(1) r(α1,α2,…,αn)<n
(2)|α1,α2,…,αn |=0
(3)(α1,α2,…,αn)不可逆
10、线性相关的充分条件:
(1)向量组含有零向量或成比例的向量必相关
(2)部分相关,则整体相关
(3)高维相关,则低维相关
(4)以少表多,多必相关
推论:n+1个n维向量一定线性相关
11、线性无关的充要条件
向量组α1,α2,…,αs 线性无关
(1)任意向量均不能由其余向量线性表示;
(2)齐次方程(α1,α2,…,αs)(x1,x2,…,xs)T=0只有零解
(3)r(α1,α2,…,αs)=s
特别地,n个n维向量α1,α2,…,αn 线性无关
r(α1,α2,…,αn)=n |α1,α2,…,αn |≠0 矩阵可逆
12、线性无关的充分条件:
(1)整体无关,部分无关
(2)低维无关,高维无关
(3)正交的非零向量组线性无关
(4)不同特征值的特征向量无关
13、线性相关、线性无关判定
(1)定义法
(2)秩:若小于阶数,线性相关;若等于阶数,线性无关
【专业知识补充】
(1)在矩阵左边乘列满秩矩阵(秩=列数),矩阵的秩不变;在矩阵右边乘行满秩矩阵,矩阵的秩不变。
(2)若n维列向量α1,α2,α3 线性无关,β1,β2,β3 可以由其线性表示,即(β1,β2,β3)=(α1,α2,α3)C,则r(β1,β2,β3)=r(C),从而线性无关。
r(β1,β2,β3)=3 r(C)=3 |C|≠0
(四)极大线性无关组与向量组的秩
14、极大线性无关组不唯一
15、向量组的秩:极大无关组中向量的个数成为向量组的秩
对比:矩阵的秩:非零子式的最高阶数
注:向量组α1,α2,…,αs 的秩与矩阵A=(α1,α2,…,αs)的秩相等
16、极大线性无关组的求法
(1)α1,α2,…,αs 为抽象的:定义法
(2)α1,α2,…,αs 为数字的:
(α1,α2,…,αs)初等行变换阶梯型矩阵
则每行第一个非零的数对应的列向量构成极大无关组
(五)向量空间
17、基(就是极大线性无关组)变换公式:
若α1,α2,…,αn 与β1,β2,…,βn 是n维向量空间V的两组基,则基变换公式为(β1,β2,…,βn)=(α1,α2,…,αn)Cn×n
其中,C是从基α1,α2,…,αn 到β1,β2,…,βn 的过渡矩阵。
C=(α1,α2,…,αn)-1(β1,β2,…,βn)
18、坐标变换公式:
向量γ在基α1,α2,…,αn与基β1,β2,…,βn 的坐标分别为x=(x1,x2,…,xn)T,y=(y1,y2,…,yn)T,,即γ=x1α1 + x2α2 + … +xnαn =y1β1 + y2β2 + … +ynβn,则坐标变换公式为x=Cy或y=C-1x。其中,C是从基α1,α2,…,αn 到β1,β2,…,βn 的过渡矩阵。C=(α1,α2,…,αn)-1(β1,β2,…,βn)
(六)Schmidt正交化
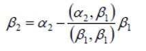
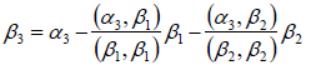
19、Schmidt正交化
设α1,α2,α3 线性无关
(1)正交化
令β1=α1

编辑
添加图片注释,不超过 140 字(可选)

编辑
添加图片注释,不超过 140 字(可选)
(2)单位化

添加图片注释,不超过 140 字(可选)
4 线性方程组
(一)方程组的表达形与解向量
1、解的形式:
(1)一般形式
(2)矩阵形式:Ax=b;
(3)向量形式:A=(α1,α2,…,αn)
2、解的定义:
若η=(c1,c2,…,cn)T满足方程组Ax=b,即Aη=b,称η是Ax=b的一个解(向量)
(二)解的判定与性质
3、齐次方程组:
(1)只有零解r(A)=n(n为A的列数或是未知数x的个数)
(2)有非零解r(A)<n
4、非齐次方程组:
(1)无解r(A)<r(A|b)r(A)=r(A)-1
(2)唯一解r(A)=r(A|b)=n
(3)无穷多解r(A)=r(A|b)<n
5、解的性质:
(1)若ξ1,ξ2是Ax=0的解,则k1ξ1+k2ξ2是Ax=0的解
(2)若ξ是Ax=0的解,η是Ax=b的解,则ξ+η是Ax=b的解
(3)若η1,η2是Ax=b的解,则η1-η2是Ax=0的解
(1)设η1,η2,…,ηs是Ax=b的解,则k1η1+k2η2+…+ksηs为
Ax=b的解 (当Σki=1)
Ax=0的解 (当Σki=0)
(2)设η1,η2,…,ηs是Ax=b的s个线性无关的解,则η2-η1,η3-η1,…,ηs-η1为Ax=0的s-1个线性无关的解。
变式:η1-η2,η3-η2,…,ηs-η2
η2-η1,η3-η2,…,ηs-ηs-1
(三)基础解系
6、基础解系定义:
(1)ξ1,ξ2,…,ξs 是Ax=0的解
(2)ξ1,ξ2,…,ξs 线性相关
(3)Ax=0的所有解均可由其线性表示
基础解系即所有解的极大无关组
注:基础解系不唯一。
任意n-r(A)个线性无关的解均可作为基础解系。
7、重要结论:(证明也很重要)
设A施m×n阶矩阵,B是n×s阶矩阵,AB=O
(1)B的列向量均为方程Ax=0的解
(2)r(A)+r(B)≤n(第2章,秩)
8、总结:基础解系的求法
(1)A为抽象的:由定义或性质凑n-r(A)个线性无关的解
(2)A为数字的:A初等行变换阶梯型
自由未知量分别取1,0,0;0,1,0;0,0,1;代入解得非自由未知量得到基础解系
(四)解的结构(通解)
9、齐次线性方程组的通解(所有解)
设r(A)=r,ξ1,ξ2,…,ξn-r 为Ax=0的基础解系,
则Ax=0的通解为k1η1+k2η2+…+kn-rηn-r (其中k1,k2,…,kn-r为任意常数)
10、非齐次线性方程组的通解
设r(A)=r,ξ1,ξ2,…,ξn-r 为Ax=0的基础解系,η为Ax=b的特解,
则Ax=b的通解为η+ k1η1+k2η2+…+kn-rηn-r (其中k1,k2,…,kn-r为任意常数)
(五)公共解与同解
11、公共解定义:
如果α既是方程组Ax=0的解,又是方程组Bx=0的解,则称α为其公共解
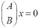
12、非零公共解的充要条件:
方程组Ax=0与Bx=0有非零公共解

添加图片注释,不超过 140 字(可选)
有非零解

添加图片注释,不超过 140 字(可选)
13、重要结论(需要掌握证明)
(1)设A是m×n阶矩阵,则齐次方程ATAx=0与Ax=0同解,r(ATA)=r(A)
(2)设A是m×n阶矩阵,r(A)=n,B是n×s阶矩阵,则齐次方程ABx=0与Bx=0同解,r(AB)=r(B)
5 特征值与特征向量
(一)矩阵的特征值与特征向量
1、特征值、特征向量的定义:
设A为n阶矩阵,如果存在数λ及非零列向量α,使得Aα=λα,称α是矩阵A属于特征值λ的特征向量。
2、特征多项式、特征方程的定义:
|λE-A|称为矩阵A的特征多项式(λ的n次多项式)。
|λE-A |=0称为矩阵A的特征方程(λ的n次方程)。
注:特征方程可以写为|A-λE|=0
3、重要结论:
(1)若α为齐次方程Ax=0的非零解,则Aα=0·α,即α为矩阵A特征值λ=0的特征向量
(2)A的各行元素和为k,则(1,1,…,1)T为特征值为k的特征向量。
(3)上(下)三角或主对角的矩阵的特征值为主对角线各元素。
4、总结:特征值与特征向量的求法
(1)A为抽象的:由定义或性质凑
(2)A为数字的:由特征方程法求解
5、特征方程法:
(1)解特征方程|λE-A|=0,得矩阵A的n个特征值λ1,λ2,…,λn
注:n次方程必须有n个根(可有多重根,写作λ1=λ2=…=λs=实数,不能省略)
(2)解齐次方程(λiE-A)=0,得属于特征值λi的线性无关的特征向量,即其基础解系(共n-r(λiE-A)个解)
6、性质:
(1)不同特征值的特征向量线性无关
(2)k重特征值最多k个线性无关的特征向量
1≤n-r(λiE-A)≤ki
(3)设A的特征值为λ1,λ2,…,λn,则|A|=Πλi,Σλi=Σaii
(4)当r(A)=1,即A=αβT,其中α,β均为n维非零列向量,则A的特征值为λ1=Σaii=αTβ=βTα,λ2=…=λn=0
(5)设α是矩阵A属于特征值λ的特征向量,则
|
A |
f(A) |
AT |
A-1 |
A* |
P-1AP(相似) |
|
λ |
f(λ) |
λ |
λ-1 |
|A|λ-1 |
λ |
|
α |
α |
/ |
α |
α |
P-1α |
(二)相似矩阵
7、相似矩阵的定义:
设A、B均为n阶矩阵,如果存在可逆矩阵P使得B=P-1AP,称A与B相似,记作A~B
8、相似矩阵的性质
(1)若A与B相似,则f(A)与f(B)相似
(2)若A与B相似,B与C相似,则A与C相似
(3)相似矩阵有相同的行列式、秩、特征多项式、特征方程、特征值、迹(即主对角线元素之和)
【推广】
(4)若A与B相似,则AB与BA相似,AT与BT相似,A-1与B-1相似,A*与B*也相似
(三)矩阵的相似对角化
9、相似对角化定义:
如果A与对角矩阵相似,即存在可逆矩阵P,使得P-1AP=Λ=

添加图片注释,不超过 140 字(可选)
,
称A可相似对角化。
注:Aαi=λiαi(αi≠0,由于P可逆),故P的每一列均为矩阵A的特征值λi的特征向量
10、相似对角化的充要条件
(1)A有n个线性无关的特征向量
(2)A的k重特征值有k个线性无关的特征向量
11、相似对角化的充分条件:
(1)A有n个不同的特征值(不同特征值的特征向量线性无关)
(2)A为实对称矩阵
12、重要结论:
(1)若A可相似对角化,则r(A)为非零特征值的个数,n-r(A)为零特征值的个数
(2)若A不可相似对角化,r(A)不一定为非零特征值的个数
(四)实对称矩阵
13、性质
(1)特征值全为实数
(2)不同特征值的特征向量正交
(3)A可相似对角化,即存在可逆矩阵P使得P-1AP=Λ
(4)A可正交相似对角化,即存在正交矩阵Q,使得Q-1AQ=QTAQ=Λ
6 二次型
(一)二次型及其标准形
1、二次型:
(1)一般形式
(2)矩阵形式(常用)
2、标准形:
如果二次型只含平方项,即f(x1,x2,…,xn)=d1x12+d2x22+…+dnxn2
这样的二次型称为标准形(对角线)
3、二次型化为标准形的方法:
(1)配方法:
通过可逆线性变换x=Cy(C可逆),将二次型化为标准形。其中,可逆线性变换及标准形通过先配方再换元得到。
(2)正交变换法:
通过正交变换x=Qy,将二次型化为标准形λ1y12+λ2y22+…+λnyn2
其中,λ1,λ2,…,λn 是A的n个特征值,Q为A的正交矩阵
注:正交矩阵Q不唯一,γi与λi 对应即可。
(二)惯性定理及规范形
4、定义:
正惯性指数:标准形中正平方项的个数称为正惯性指数,记为p;
负惯性指数:标准形中负平方项的个数称为负惯性指数,记为q;
规范形:f=z12+…zp2-zp+12-…-zp+q2称为二次型的规范形。
5、惯性定理:
二次型无论选取怎样的可逆线性变换为标准形,其正负惯性指数不变。
注:(1)由于正负惯性指数不变,所以规范形唯一。
(2)p=正特征值的个数,q=负特征值的个数,p+q=非零特征值的个数=r(A)
(三)合同矩阵
6、定义:
A、B均为n阶实对称矩阵,若存在可逆矩阵C,使得B=CTAC,称A与B合同
7、总结:n阶实对称矩阵A、B的关系
(1)A、B相似(B=P-1AP)相同的特征值
(2)A、B合同(B=CTAC)相同的正负惯性指数相同的正负特征值的个数
(3)A、B等价(B=PAQ)r(A)=r(B)
注:实对称矩阵相似必合同,合同必等价
(四)正定二次型与正定矩阵
8、正定的定义
二次型xTAx,如果任意x≠0,恒有xTAx>0,则称二次型正定,并称实对称矩阵A是正定矩阵。
9、n元二次型xTAx正定充要条件:
(1)A的正惯性指数为n
(2)A与E合同,即存在可逆矩阵C,使得A=CTC或CTAC=E
(3)A的特征值均大于0
(4)A的顺序主子式均大于0(k阶顺序主子式为前k行前k列的行列式)
10、n元二次型xTAx正定必要条件:
(1)aii>0
(2)|A|>0
11、总结:二次型xTAx正定判定(大题)
(1)A为数字:顺序主子式均大于0
(2)A为抽象:证A为实对称矩阵:AT=A;再由定义或特征值判定
12、重要结论:
(1)若A是正定矩阵,则kA(k>0),Ak,AT,A-1,A*正定
(2)若A、B均为正定矩阵,则A+B正定