学理工科的脑回路到底可以惊破几层天?如何一本正经用科研思路琢磨生活中的鸡毛蒜皮 ?从男厕所泡利不相容原理到令人窒息的求婚绿光,他们用脑洞证明了什么是硬核浪漫与实力较真。
今天,清华大学化工系博士生毕导(本名毕啸天)来到海绵演讲,把自己作为研究对象,一本正经地跟你聊聊理工科的那些事。
大家好,我是毕导。
演讲开始前,我先做一个小调查,在座的各位男生请举手。学理工科的请继续举手。喜欢被称作“理工男”的请继续举手。
剩下的几位,很开心,你们和我一样是一个纯正的理工男,并为自己感到骄傲。刚才的小调研有个很有意思的现象:很多人不喜欢被称作理工男。但“理工男”难道不是一个中性的词吗?
有点不巧的是,在不少人眼中,这还真的不是一个中性的词。在很多人眼中,理工男等于木讷、呆板、不解风情。但明明改变这个世界最聪明的人 —— 哥白尼、伽利略、牛顿、爱因斯坦、普朗克,他们都是理工男。
他们勤奋踏实,务实肯干,有时一不小心就会把自己变成了理工男的“进阶版” —— 理工男博士。我之前就是这样一个理工男博士,在清华大学化学工程系学习。
理工男发际线的高度与学术水平成正比
社会上,对我们这类人的刻板印象有的还真的挺根深蒂固的,其中一个印象就是下面这张图片:(观众笑)

尽管这张图片非常高糊,但透过高糊的图片,还是可以感觉到:岁月是把剃头刀。这个哥们我和他有一面之缘,他在生活中是个很开朗的人,对网上传播他的照片没有反感,反而觉得特别有意思。
在这件事之后,两个理工男博士互相一见面,一握手,大家都会抬头瞟一瞟,希望通过自己犀利的眼神,透过对方厚厚的刘海,去探究一下对方的发际线究竟就多高。你要是头发还要很多,你说学术成果斐然,那就不足为信。在座今天各位如果面临着和这张图片里一样的问题,未必是一件坏事。大家一定要想得开,不是你的发际线在后退,而是你在前进啊!
着最靓的衫,扮十分感慨, 有人来拍照,记住手要插袋
还有一个广为流行的印象,就是穿衣品味,我今天其实还可以啊。(观众笑)

如果你在春天或者秋天去清华园里面走一趟,尤其传统的工科院系,你真的可以发现 —— 那是一片格子的海洋。而且很有意思的一点:世界上没有两片相同的雪花,就好比世界上没有任何两个会撞格子衬衫的理工男。
我之前住在清华大学老一号楼的宿舍,有一天,是我“大洗”的日子,那天洗了床单、被套、枕套,洗了很多。正在晾的时候,我的室友给我抓拍了一张很快乐的照片:

在我发了这条朋友圈之后,很多人都评论说,毕导厉害,不愧是理工男博士,生性俭朴,衬衫都是拿床单下脚料做的。
还有一次我去以色列参加一个暑期学校的项目,以色列很适合自驾游,当时我租辆车把以色列整个国家玩了一遍,然后拍了左边这张照片,当时觉得我打扮不错的,有一种周润发的感觉。

后来有一个人给我评论:
你这个贴身直男Polo衫,
偏又是*女熟**酒红色,
还勾勒出一点胸型。
和贴紧的胸型相得益彰的,
还有不露肌肉不舒服的变态游泳教练同款袖口,
箍紧耾三头肌。
黑色运动手表,
搭配上纯黑大方墨镜,
和村头强子哥回家的装扮一模一样。
再加上贴紧头皮的小平头,
倔强的嘴角抿紧的同时又露出一丝羞涩的微笑。
踮起的脚尖轻盈点地,
和初中小姑娘一样,
热爱露出一截洁白的脚踝。
在看到这段话之后,我把衣服烧了。(观众笑)
实验做久了,你就会发现: 实验室里的瓶瓶罐罐都变得有灵性了起来……
看完这段话,大家会问:毕导,理工男博士难道在你口中如此不堪,真的一无是处吗?
当然不是,理工男有很多的优点。网上有一张图很有意思,是平均收入和教育水平的关系,研究表明,随着受教育水平的提高,平均收入也会不断提高,唯独在这张图的最后(博士阶段)出现了一点小小的意外。

然而,博士是个例外。俗话说“知识改变命运”,但知识太多了,日子也没那么好过。你博士毕业了,收入可能远不及你硕士毕业的同学高。
很多人在面对这样的现象时会好奇,为什么明明理工男博士群体应当是社会上比较高端的群体,但又是什么赋予了普通人对他们固有的印象呢?其实这并不是偏见,你对理工科男博士的很多认识都是正确的。以至于后来我反思另外一个问题,为什么理工男博士这个物种表现出了这些性质呢?有两方面原因。
首先,一个人的生活经历决定了他的性格和他认识这个世界的方式。所以我们必须考察理工男博士日常生活当中干什么。以我为例,我是学化工的,可能生活当中很多时候都面临这样一个局面:
你本身有一个六边形技能数,但你每天长时间在实验台前,如果做实验这项技能被无限放大,与之相应其他方面的技能就会萎缩。每天和瓶瓶罐罐,化学药品打交道,不用跟那么多人打交道,跟师弟师妹们一天也说不了几句话,而且我们实验室还没有师妹。(观众笑)长此以往,一个理工男博士会慢慢觉得化学药品、瓶瓶罐罐、仪器设备,慢慢变得有灵性起来。相反与人打交道会很麻烦的一个事情。

第二个原因,为什么理工男不解风情,是因为时空平移对称性,也就是说,在理工科男博士的脑海中,时间、空间对于物理学规律是等价的,物理实验结果并不依赖于时空坐标原点的选择。也就是说,我在北京做的实验和美国做的实验不应该有区别,可以把实验室得出的规律推广到整个宇宙的规律。
同样,你昨天做出的实验和今天做出的实验结果不应该有区别,因为时间是全等的,是平移对称的。但很多理工男的问题就在于,他们很多时候把这种专业思维套用在了生活中的一些方面,比如说感情、恋爱。
所以他们有这样一种感觉,当我的女朋友在她这个位置跟我说,我怎么会生气。你就觉得她在这儿不生气,她在那儿也不生气,她在哪儿都不生气,因为空间是平移对称的。昨天女朋友跟你说我好很喜欢你,他也觉得推广到今天她依然很喜欢我,因为时间是平移对称的。
但是事实上没有任何一个物理老师教过我们,女朋友这种东西具有时空平移对称性。女朋友,其实是一个很混沌的体系。所以很多时候,理工男博士的问题就出在这一点上。
世界上真的存在好看、实用且便宜的定西吗?
专业的思维套用在生活当中,实际上又未必是一件坏事,之前有一个朋友跟我说,他想给女朋友过生日送个礼物。听说我这个人古灵精怪,鬼点子比较多,能不能帮他参谋一下送什么好。我说行,你有什么条件呢?他说也不多,就3个条件?要好看,要实用,要便宜。

我画了这么一张图,好看又实用就会贵,好看又便宜就会废,实用便宜就会抽丑。好看实用便宜的不存在的,请你滚蛋,他不服,世界上肯定有这样一个东西,你在骗我。于是有一个周末他自己到一个类似于跳蚤市场的地方淘了一整天.
他结束回来给我说:我找到了!
我说:什么东西,这么高兴,给我看了一眼?
他给我发了这么一个东西。

当时在我看到的那一瞬间,我觉得有一点一言难尽,有一个瞬间甚至觉得我的审美会麻痹,让我不知道究竟算不算好看,实用也挺实用,便宜也挺便宜,好像十几块钱。
在座的听众可以想一想这个东西送给女朋友是什么结果?
事实上那个故事是好的结尾,他女朋友本身学理工科的。她不是特别在乎送的这个东西是啥,反而觉得愿意给我送一个礼物,男朋友竟然花了一整天在完全不熟悉的领域摸索,这个行为很有意思。后来他们俩感情也一直很好。
我想告诉大家的是,很多时候我们说理工男不解风情。但事实上,所谓的不解风情和可爱、蠢萌往往是一念之间的事情。二者的区别是你作为观察者的心态。
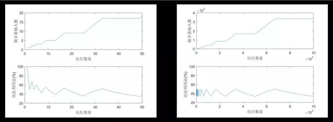
一个有一亿个坑位的男厕所, 至多容纳33554433个男生同时上厕所
我自己也很喜欢把理工科思维用在生活里,有时候在上厕所的时候也会。我在男厕所里面总结出这么两条规律,不知道在座的男同胞认同不认同?

男厕所的第一定理:两个男生永远不会的相邻的位置上厕所,又称为男厕所的泡利不相容原理。
男厕所第二定理:男生上厕所的时候,总是优先选择离其他人尽可能远的坑位。如果用这两条理论,实际上推出很有意思的结论,比如说,如果一个厕所里面有4个位置,那么第一个人进来选择 1 号位,第二个人进来选择 4 号位,第三个人就无处可去的,因为2号、3号位都是不可以进去的,这是泡利不相容定律。

由此推论,你可以推出一个有7个坑位的厕所会发生什么?第一个人进来 1 号位,第二个人进入7 号位,第三个人进入 4 号位,结束了,2、3、5、6 都是进不去,因为他们都被占位了。
你会发现由于男生上厕所的尴尬情绪存在,会在数学层面上造成厕所坑极大的浪费,从这两个案例看到极端的情况下,男厕所坑位的利用率会不到50%。
有一天我就思考:如果一个厕所有一亿的坑位的时候发生什么。于是我用MATLAB(注:一款商业数学软件)生成一亿个厕所和一亿个人进去填,得出这么一个图,左边横坐标0-50个坑位,右边坐标是0-1亿的坑位。

后来我发现一个很有意思的现象,其实这是一个阶梯的函数,有那么一段时间凭空加坑位数并不能增加同时承载的男生数量,一个1亿个坑位的厕所,至多容纳33554433个男生同时上厕所,其余66445567个坑为因为男生的尴尬心态被浪费了。
这个故事告诉我们的是:当你把理工科思维应用到生活当中时,你就会发现上厕所这个简单的事情都会变得可以让你玩出花样,很有意思。这是属于理工男博士的小兴致,具体把这种思维看成一种无聊、不解风情,还是一种可爱呢?就在于各位看官当中一念之间了。
求婚就求婚!为什么要用绿光怼我的脸?
我之前有一个师姐,比我高三届左右,她老公也是一个理工男。老公跟她求婚的时候,把她拉进这么一间房间里面,师姐很不理解,不是说好求婚呢?怎么拿绿光怼我脸呢?

师兄很神秘跟她说:光是一种电磁波,有它自己的波长,绿光的波长是520纳米。师姐听完这个故事,她觉得又荒诞,又感动,觉得荒诞是因为你很难想像你的未婚夫求婚的时候,会往你脸上怼绿光。
但透过绿光的背后,她放佛看到一个很努力的理工男调用自己所学的知识,为你去营造高级浪漫。这是一种特殊的高级浪漫密码,这个密码天知、地知、你知、我知,我们甚至因为其他人不理解而感到出一种高级优越感。
理工科的人很有意思的一点就在于在生活一种高级的思维里面,什么叫高级思维?各位理工男们,如果你的女朋友问你,老公我的卷发棒在哪里?
你一定要回答她,你的卷发棒就棒在特别配你的气质,这就是高级的思维。
一块干冰,一群博士、博士后围着玩了一天
很多人理工男生活很苦,的确,这是一个事实。今天在座的理工科同学里面,我相信他们的日常生活也都是比较辛苦,但实际上这种生活也给我们一些机会,尝试用理工思维在苦中作乐。
有一次,我们实验室叫了一袋水果外卖,送水果的小哥来的时候,水果里面放了一块还在冒气的白色固体。我们实验室里是一个化学处理实验室,有很多化工方面的博后、博士、硕士,平均化学学龄8-10年左右,算是学得比较多的。

当时我看一份固体很好奇,这是什么东西?还冒着白气?然后我一个师弟说:垃圾,还博士,干冰不认识?二氧化碳!
当时我反问他一句,你怎么能确定这就是二氧化碳呢?这一句话激起我们整个实验室同学的斗志 —— 我们如何确认这一块冒白气的固体就是二氧化碳呢?
然后我们就开始做实验了。先把二氧化碳扔在水里面,发生了冒泡的现象,初步确认这是一个剧烈沸腾升华的现象。有可能是二氧化碳!我们初中学过怎么鉴定一个东西是不是二氧化碳呢?
用澄清石灰水!这是一个很古老的知识点。当时我们整个实验室想到澄清石灰水的时候,那个兴奋,觉得自己都是天才,于是赶紧找澄清石灰水。师弟去实验室兜一圈,没有,现在这么先进的实验室不可能这么古早的东西了。
这个东西也不可能难住一堆博后、博士,我们说自制石灰水,于是就去实验室翻了一圈,找到了氢氧化钠、氯化钙。尽管氢氧化钠的价格是澄清石灰水的价格几百倍,但这个不是我们要考虑的,关键要配澄清石灰水,于是有人计算当量,有人找东西,有的人配溶液,最后配出澄清石灰水。
说实话,我们一屋子没有见过澄清石灰水长什么样,当时把干冰扔了进去,变混浊了。
我们一屋子后来反思了一下,高考大家考的都很好,但从来没有人知道澄清石灰水变混浊长什么样,石灰水变浑浊的那个瞬间,这个小烧杯周围围了一圈硕士、博士、博士后,大家洋溢着孩子一般的笑容,特别纯真的快乐。有时候觉得这种苦中作乐的感觉很简单,一块干冰可以给我们玩一天。
会跳舞的分子小人,到底有什么隐藏玩法?
之前看到一篇科学文献。这个文章讲的是什么呢?
这篇文章发在The Journal of Organic Chemistry上,是一个影响因子蛮高的刊物。( Impact Factor,为衡量期刊重要程度的参考标准)文章作者做了一个“小人”,合成了一种叫nanokid的东西。

这个分子长得跟一个人一样,第二张通过断掉小人脖子这儿的一根碳 - 碳化学键,给“小人”头上结不同的基团(即 adical group:有机物失去一个原子或一个原子团后剩余的部分),从而实现给“小人”换头、换发型、换帽子的功能。
下一张图中,通过在“小人”两个手上接上羧基和羟基,进行酯化反应,就可以实现两个“小人”手拉手。

接上一个连锁聚合再加上上一个催化剂之后,我们就可以让“小人”聚横站成一排,你说这个工作有什么意义吗?真的什么意义都没有。
我当时正在做一些分子动力学的研究,有一天也很好事,我特别擅长把平面分子做成立体分子,并且通过升温和退火来研究分子的性质。

于是就做了一张图,把这个小人做成3D模型之后,通过分子加温,使得分子链段和原子之间的建模可以不断扭转和变化,就形成这么一些图。
我发在我的自媒体上面,有一个好事者,正好是那个老师组里的人,他是我粉丝。他把我的这一篇文章翻译成英文发给了那个教授,那个教授看了觉得很有意思。
他给我发了个邮件回来:大意是,发了这个文献这么多年,其实被引用的次数没有那么多,实在没有想到远在大洋彼岸中国有这么一个小孩,在一个自媒体平台上面以这种方式引用了我文献,我觉得非常高兴,你是一个真正读懂这一篇文献的人。他给我评价:你是一个非常有意思的人,相信你在做什么事情都能成功。
这短话对我感触特别大,如果问我理工科的思维有什么实用价值?好像没有,但是它能让你的思维方式改变,它能让你的生活变得更有意思。
因此在这里我想给大家传递一种观点:理工到现在已经成为我的思维方式,也许你觉得理工科男博士这个群体,他们秃头,他们穿衣很差,他们收入很低,有很多的缺点。但事实上,当他们把这种思维用在生活当中之后,在我们同样平凡无趣的生活当中,理工男也许能看到更多闪光的地方,看到更多精彩好玩的地方,他还可以把这个分享给你。
之前有人问过,毕导你是清华大学的博士生,你从清华大学博士生从科研转向去做自媒体这件事,你觉得可惜不可惜?
我觉得一点不可惜。你在从事这个专业之后,就一条路走到黑,一直从事这一个专业里面的事情,我反而觉得有点可惜。因为你把自己思维局限住了。所以到现在为止,我给自己一点要求是什么呢?我希望自己好好学习理工科知识,把自己的思维学到一个高度,达到一定的高度之后,怀揣着理工科的理想,去到我感兴趣的领域。
我相信那能让我看到更多精彩的东西,也希望这个观点与大家共勉,谢谢大家。
