编译:肿瘤资讯编辑部
来源:肿瘤资讯
过去20年,基于随机和大型回顾性研究的结果,减瘤性肾切除术(CN)一直是转移性肾细胞癌的标准治疗方案。然而,靶向治疗的疗效质疑了这一标准治疗方案。CARMENA研究旨在回答这一问题,即在接受舒尼替尼之前CN是否仍然有必要。这一研究入选2018年ASCO的LBA,近日全文在《新英格兰医学》杂志在线发表。
背景
肾癌占所有男性癌症的5%,女性癌症的3%,约15%的患者诊断时已为晚期。15年前,随机对照临床研究显示,在转移性肾细胞癌中,初始减瘤性肾切除术(CN)联合免疫治疗相比于单纯免疫治疗,可以显著延长患者的OS。自此,CN一直是转移性肾细胞癌的标准治疗方案。一些回顾性分析探索了与转移性肾癌相关的预后因素,同样发现CN可能给患者带来生存获益。
自2005年靶向治疗的问世,转移性肾癌的治疗快速发展。VEGF*制剂抑**包括靶向VEGFR的酪氨酸激酶*制剂抑**舒尼替尼和帕唑帕尼,以及抗VEGF单抗贝伐珠单抗,已经成为低风险和中等风险转移性肾癌患者的一线标准治疗选择;而mTOR*制剂抑**西罗莫司则广泛用于高风险转移性肾癌患者。此外,目前还有其他的一些靶向VEGFR,mTOR,c-MET或免疫检查点*制剂抑**抗PD-1/PD-L1单抗也在转移性肾癌患者中显示出疗效,成为目前的标准治疗选择之一。
靶向治疗时代,CN是否仍然是标准治疗方案?出现了新的质疑。目前,尚无研究直接对比了CN和靶向治疗。大量回顾性研究评估了CN和靶向治疗的相对获益,结果显示接受靶向治疗的患者,CN仍有一定获益。来自队列研究的系统性荟萃分析评估了接受靶向治疗患者CN的疗效,结果显示,靶向治疗前接受CN相比于单纯靶向治疗可以延长OS。来自美国健康数据库的分析显示,初始接受CN对比初始靶向治疗,改善患者的OS。
前瞻性SURTIME研究旨在评估初始CN对比延迟CN的疗效,结果显示,延迟CN的患者有更长的OS,然而这一研究因为入组问题,没有足够的统计学效能进行生存分析。CARMENA研究旨在转移性肾癌患者中,评估初始CN序贯靶向治疗对比单纯靶向治疗。
方法
CARMENA研究是一项随机III期研究,患者为同时性转移性肾细胞癌,可以耐受CN,在活检确认患者为透明细胞癌后入组,ECOG PS评分0-1分,未合并有症状的脑转移,器官功能较好,可以接受舒尼替尼治疗。患者随机1:1分配至CN序贯舒尼替尼治疗(A组)或单纯舒尼替尼治疗(B组),分层因素为MSKCC危险分组。给予舒尼替尼50mg/天,4/6周,允许进行剂量调整。A组患者在术后4-6周接受舒尼替尼治疗。主要研究终点为OS。研究采用非劣效性设计,统计估算需要入组546例患者。
结果
2009年9月23日至2017年9月8日,研究入组了450例患者,患者随机1:1分配至A组和B组,两组分别为226例和224例患者,见下图1。A组患者中,16例(7.1%)未接受CN,40例(17.7%)未接受舒尼替尼治疗;B组患者中,11例(4.9%)未接受舒尼替尼治疗,38例(17.0%)接受后续的CN(自随机的中位时间为11.1个月,旨在控制症状)。

图1. 研究入组流程图
至数据截止日期2017年12月12日,总体人群中位随访时间为50.9个月,入组患者中男性占74.7%,意向性人群的中位年龄为62岁,PS评分为0分和1分的患者分别为56%和44%。两组患者的继续特征均衡。A组患者中,MSKCC危险分层为中等/高危的患者分别占55.6%和44.4%,B组患者中分别为58.5%和41.5%。
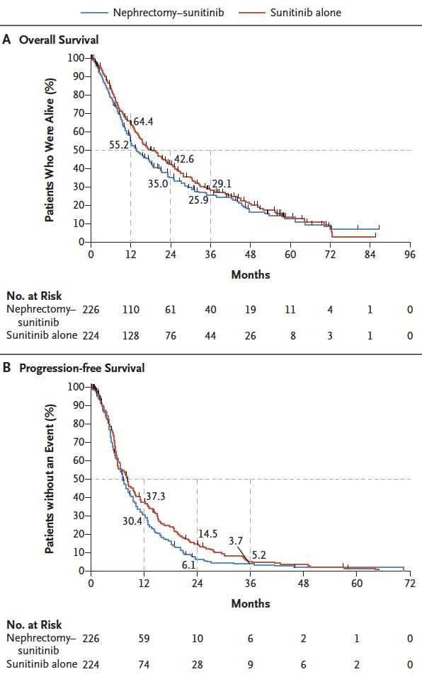
在中位随访50.9个月后,326例患者死亡。总体人群中,B组患者相比A组取得更长的OS,两组的mOS 分别为18.4 vs 13.9个月,见图2A,根据MSKCC危险分层的结果进行分析,HR为0.89 (95% CI, 0.71-1.10)。在既定的中期分析中,HR 95%的上限未超过既定的非劣效性上限1.20,即单纯舒尼替尼治疗不劣与CN序贯舒尼替尼治疗。在中等和高危风险人群中,单纯舒尼替尼的OS长于CN序贯舒尼替尼治疗,mOS中危组分别为23.4 vs 19.0个月(HR 0.92;95%CI:0.68-1.24),高危组分别为13.3 vs 10.2个月(HR 0.86;95%CI:0.62-1.17)。
PFS对比:单纯舒尼替尼的PFS长于CN序贯舒尼替尼治疗,mPFS两组分别为8.3 vs 7.2个月,HR 0.82(95%CI:0.67-1.00),见下图2B。

图2. 两组患者的PFS和OS对比
ORR对比:两组患者的ORR无显著差异,疗效数据总结见下表2,单纯舒尼替尼和CN序贯舒尼替尼治疗的ORR分别为29.1% vs 27.4%;此外,两组的DCR对比,单纯舒尼替尼组在数字上稍高于CN序贯舒尼替尼治疗组,分别为74.6% vs61.8%。临床获益率两组分别为47.9% vs 36.6%。
表. 两组患者的ORR对比

结论和讨论
对于中危或高危的转移性肾癌患者,单独接受舒尼替尼治疗获得的总生存期不劣于减瘤性肾切除术+舒尼替尼治疗。转移性肾癌患者单独接受舒尼替尼有更好的临床获益。减瘤性肾切除术不应再被考虑为转移性肾癌的标准治疗,至少在需要全身治疗的时候。
细胞因子时代,循证医学显示开展减瘤术后,患者的预后要优于单纯靶向治疗,因此,减瘤性肾切除一直以来是治疗标准。靶向治疗时代一直未能开展相应前瞻性临床研究。NCI数据显示,初诊即为转移患者接受靶向治疗的15390例患者,其中35%接受减瘤术,是迄今最大宗研究证实减瘤术+靶向治疗生存获益。CARMENA研究为靶向治疗时代首项关于减瘤术的前瞻性III期临床研究,该研究为非劣性设计,达到主要研究终点,即舒尼替尼单药治疗在总生存方面不劣于减瘤术联合舒尼替尼治疗组。CARMENA研究并非为有效设计,亚组分析显示中危人群其实并未达到非劣性,仅仅高危人群达到非劣性,这与既往IMDC数据库分析结果类似,再次证明了高危人群不能从减瘤术中获益。因此,减瘤性肾切除术需要进行个体化衡量。初诊为晚期肾癌的患者,如何选择减瘤术?一般情况好、无症状或症状轻、瘤负荷不大、危险评分为中危以上患者。除了以上情况的患者,可以考虑单独靶向药物给药,治疗后条件充分可考虑延迟减瘤术。
参考文献
Sunitinib Alone or after Nephrectomy in Metastatic Renal-Cell Carcinoma. N Engl J Med 2018;379:417-27.
责任编辑:肿瘤资讯-Grace
版权声明
版权属肿瘤资讯所有。欢迎个人转发分享,其他任何媒体、网站如需转载或引用本网版权所有内容,须获得授权,且在醒目位置处注明“转自:良医汇-肿瘤医生APP”。