文:开源策略团队 联系人:牟一凌、方智勇
报告导读
如果以最早公告成分股权重的2011年9月30日作为基点,则根据自由流通市值加权法计算的2020年6月12日的上证指数应为3737.70点,比真实的收盘价高出近800点。即便考虑到指数编制存在的问题,近10年上证指数年化收益率仍没能跑赢大部分股指,我们认为上证指数低收益率还有其他更深层次的原因。
观点速递
1、“失真”的上证指数:上市公司盈利和指数表现背离
步入千禧年之时,上证指数收盘价为1366.58点,万得全A为1000点;将近20年过去后,万得全A已经达到了约4400点,而上证指数仍在3000点以下徘徊,二者相差近1500点。 上证指数2000年以来年化收益率仅为3.75%,在所有主要股指中排名靠后,但从营业收入和净利润的角度看,上证指数上市公司的营业收入年化增长率和净利润年化增长率分别排名第5、第11 。上证指数作为表征上交所上市公司的标准指数,其近20年过低的年化收益率与较高的盈利增长存在明显的差距,因此这也是市场认为上证指数“失真”不能完全反映经济运行、上市公司发展情况的重要原因。
2、成分股纳入标准或不是“失真”原因,权重计算标准才是关键
我们认为,一个指数的编制最重要的两个要素包括:成分股的纳入标准、权重的计算标准。 B股和ST系列股是否应该纳入上证指数以及新股发行之后纳入指数的时间并非指数“失真”的原因,权重计算标准的差异可能才是“罪魁祸首” :首先,相对于万得全A而言,上证指数的传统行业占比仍在提升,而科技行业占比有所下降;其次,通过用业绩归因的方法我们发现:上证指数在行业配置方面上整体贡献为负,这也说明上证指数在行业上权重上的偏离降低了收益率。
3、业绩归因视角:历史上上证指数刻画的“市场”和我们实际的市场
我们用上证指数VS万得全A进行业绩归因发现:过去十年中,在2014年上证指数难以刻画大量非权重股的突出表现;在2012年、2013年、2016年、2017年和2018年,上证指数无法很好刻画市场中优势行业的表现;而在2011年、2015年、2019年以及2020年,上证指数在行业和个股行情上都存在一定的偏离。
4、遗失的800点:低收益率的更多思考
我们尝试以自由流通市值加权计算上证指数,这种方法背后的逻辑是自由流通市值更能体现市场选择对于指数权重的影响,我们发现最终通过自由流通市值计算的行业权重占比相比于总市值的变化很好地体现了上市公司净利润增长的分布。 如果以最早公告成分股权重的2011年9月30日作为基点,则计算到2020年6月12日的上证指数应为3737.70点,比真实的收盘价高出近800点 。我们同时发现,自2011年开始,万得全A的市场回报率开始逐步向企业的盈利增长收敛,我们认为一方面这是资本市场改革的功劳,更重要的是,根据DDM两阶段定价模型,市场对于稳态增长的定价开始更为充分。上证指数要更好度量未来,我们认为还需要进一步调整成分股构成,纳入部分科创板公司可能是一个选择。不过, 如何进一步推动资本市场改革,进一步提升回报率,需要发挥市场定价机制的作用,我们认为这将是比调整指数编制更为重要的问题 。
风险提示:国内经济下行超预期;中美摩擦、海外疫情超预期恶化
报告正文
自2020年*会两**提及优化上证指数的编制方法,关于上证指数是否“失真”的讨论逐渐兴起,同时上交所也在近期组织建立了指数编制专家咨询机制,启动了上证指数编制优化的进程。 我们认为,一个指数的编制最重要的两个要素包括:成分股的纳入标准、权重的计算标准。 本文将借用基金业绩评价中的业绩归因的方法,来分析上证指数对于全部市场的状况的反映情况,参考的基准主要是万得全A指数。
所谓的业绩归因,即通过将一个投资组合相对于一个基准组合的超额收益分别分解为几个因素,比如Brinson模型中的资产配置、个股选择以及交叉收益等,从而解释投资组合管理人的资产管理能力。最直观的例子便是假设市场上有一个完全复制上证指数的投资组合,其基准组合是万得全A,那上证指数在某个特定时间段内相对于万得全A的超额收益,有多少是来自行业配置(上证指数和万得全A的行业权重存在较大差异,比如上证指数可能超配银行,但低配医药生物),有多少来自个股选择(上证指数和万得全A同一个行业内的个股成分存在较大差异,比如上证指数的食品饮料行业中“选择”了贵州茅台,而没有选择泸州老窖,或者同样股票权重存在差异)。
通过业绩归因的分析,我们试图了解,上证指数的“失真”, 更多来源于权重低估/高估了某些行业,还是因为低估/高估了部分公司 。

1、 上证指数年化收益率之谜:企业盈利和指数表现背离
上证指数2000年以来年化收益率为3.75%,在所有39个指数中排名靠后。我们通过测算2000年以来A股市场各个主要股指以及各一级行业指数的年化收益率,发现若将名义GDP也视作一种可投资的指数,则能够超过该指数年化收益率(12.43%)的股指或行业指数仅有中小板综(17.40%)、食品饮料(15.66%)以及中小板指(14.54%),表征整个市场的万得全A指数年化收益率仅为7.58%,排名17/39,而上证指数的年化收益率为3.75%,排名34/39。
从营业收入和净利润的角度看,上证指数上市公司的营业收入年化增长率和净利润年化增长率分别排名第5、第11。通过对比指数成分股的营业收入和净利润的年化增长率与指数年化收益率表现来看,并非只有上证指数出现了明显的盈利与收益率不匹配的现象,大部分指数都存在这个问题。比如即使计算机近6年的净利润年化增长率为负值,但行业指数的表现却排名靠前;而食品饮料行业的净利润营业收入排名分别为12、22,但行业指数年化收益率却排名第2。由此看来指数成分股的盈利水平与指数表现之间并不存在很明显的一一对应的关系,而上证指数作为表征上交所上市公司的标准指数,其近20年过低的年化收益率与较高的盈利增长存在明显的差距,因此这也是市场认为上证指数“失真”不能完全反映经济运行、上市公司发展情况的重要原因。

2、 编制方法看:权重计算标准或是“失真”原因
2.1、 成分股纳入标准或不是“失真”原因
上证指数“失真”问题受到广泛关注的重要原因之一便是其代表了上交所上市的全部股票表现,作为使用广泛、影响力大的代表性股指,若不能合理地体现上交所全部上市公司的发展特征和市场表现,则对于投资者而言将会产生误导。目前关于成分股纳入、剔除的讨论集中在B股和ST系列股是否应该纳入上证指数以及新股发行之后纳入指数的时间。
从成分股纳入标准来看,上证指数的成分股为上交所上市的全部股票,包括A股、B股,同时也包括因经营连续亏损而存在退市风险的ST系列股,但B股和ST系列股的纳入并非指数“失真”的原因。目前市场上关于B股和ST系列股不应纳入上证指数的理由主要在于B股流通性较差、交易并不活跃,ST系列股的经营状况存在较大问题而有退市的风险,这些股票被纳入上证指数将会影响其代表性。然而我们认为,就目前B股和ST系列股对于上证指数的影响而言并不是指数“失真”的核心要素,原因在于:(1)目前B股和ST系列股的数量、权重均不大,截止2020年6月12日,上证指数中B股数量为49只(占比3.15%),权重仅为0.1910%,ST系列股数量为89只(占比5.72%),权重仅为0.6220%,而且ST系列股存在5%的涨跌幅限制;假设所有B股和ST系列股都涨停/跌停,则对于上证指数的涨跌幅贡献分别为0.05%/-0.05%,影响并不大。(2)根据《中证指数有限公司股票指数计算与维护细则》,对于长期停牌、财务亏损以及实施风险警示等股票将会定期或临时审视并决定是否剔除;其他主要股指,如万得全A、深证综指、中小板综等也均将ST系列股纳入成分股中,且剔除方式也基本一致。因此这两种类型的股票纳入上证指数对于指数表现的影响并不大,保留它们反而能够保证上证指数的可比性和完整性。
关于新股发行之后纳入指数的时间,上证指数和深证综合系列指数并无差别。上证指数的纳入规则为新股于上市第十一个交易日开始计入指数,而深证综合指数系列(如深证综指、中小板综、创业板综等)也是如此,万得全A则是在股票上市次日便记入指数开始计算,除此之外这些指数对于新股纳入并无任何其他筛选标准。其他成分指数,如深证成指、中小板指以及创业板指等则是在考虑新股总市值排名的前提下(深圳市场排名前10)于上市15个交易日之后纳入。由于上证指数、深证综合系列指数和万得全A均用于表征各自市场范围内所有上市公司的表现,因此相比于成分指数而言自然不能在总市值等条件上做筛选,而是应当将新股全部纳入,唯一的区别在于纳入时间的选取,但在这个方面上证指数和深证综合系列指数并无差异,因此我们认为新股发行之后纳入指数的时间并不能解释上证指数的“失真”问题。
2.2、 类比业绩归因:上证指数行业配置能力有待提高
从权重计算标准来看,主要有四种:流通市值加权、自由流通市值加权、自由流通市值加权分级靠档和总市值加权,使用最广泛的是自由流通市值加权法。根据Wind指数索引的数据显示,目前使用流通市值加权的股票指数一共有101只,具有代表性的有标普500、创业板综、中小板综;采用自由流通市值加权的股票指数一共有2586只,具有代表性的有深证成指、创业板指、恒生指数、万得全A等;采用自由流通市值加权分级靠档的股票指数一共有707只,具有代表性的有沪深300、上证50、中证500等;采用总市值加权的股票指数一共有121只,具有代表性的有上证指数、纳斯达克指数、深证综指等。
权重的计算方法不同会影响到个股/行业涨跌对于指数涨跌的贡献不同, 因此接下来我们将分析自2011年以来上证指数和万得全A指数行业构成分布的变迁,同时运用业绩归因的方法来对比上证指数和万得全A自2011年以来行业配置和个股选择的贡献 。
2.2.1、 近10年上证指数权重确实反应了经济结构变迁,但是不充分
从上证指数近10年的行业权重变化可以看到,TMT+消费均有所增加,而采掘、银行、有色金属下降较多,基本和我国行业结构由传统行业转向消费+科技的趋势一致;但对比万得全A,上证指数的反映仍不充分。我们将上证指数近10年每一年的行业权重[1]与万得全A对应年份的行业权重相减:从绝对数上看,上证指数相比于万得全A而言银行权重过高,二者银行权重之差的均值为11.13%,而TMT等科技行业权重过低,二者TMT行业(通信、计算机、电子、传媒)权重之差的均值为-2.19%;从趋势上看,银行权重之差较为稳定,但TMT行业、医药生物行业以及家用电器行业的权重差出现了明显的下降,而交通运输、公用事业、房地产、非银金融等行业出现了明显的上升,这说明以总市值加权的方式计算的权重并不能很充分地反映近10年以来我国A股市场行业结构的变化,反而相对于全市场而言出现了 传统进、科技退 的现象。
[1]由于上证指数和万得全A的成分股纳入和剔除随时可能发生调整,因此其区间行业权重采用区间内每一天的行业权重均值代替。


2.2.2、 业绩归因:上证指数行业配置能力有待提高,个股选择胜率50%附近
如前文所述,我们通过类比业绩归因的方法,将上证指数看做一个投资组合,而组合基准则是万得全A,对比自2011年以来上证指数这个组合相对于万得全A的超额收益来源:行业配置能力以及个股选择能力。由于上证指数和万得全A的成分股均存在随时调整的可能,因此我们的计算时间单位为天,同时不考虑上证综指历年被剔除的股票对指数的影响,以最新成分股为准。
从指数层面的计算结果来看,在2011年9月到2011年年末,上证综指对比万得全A具有配置和选股优势;在2012、2016、2017、2018年上证综指只具有选股优势。由此看来上证指数在行业配置方面不如万得全A,而个股选择的胜率也仅有50%,上证指数近10年的表现除了2011年以外均不如万得全A。 这一定程度解释了上证指数收益率低迷的原因:在优势行业和优势个股上权重不足 。

如果站在投资者的角度上看,当构建上证指数这样一个投资组合时,个股选择重要说明上证指数的权重股相对市场表现更优,而行业选择重要则说明上证指数中权重行业相对全市场更优,反之亦然。我们发现,相对于万得全A,上证指数在某些年份会低估/高估某些行业,比如典型的2013年,上证指数低估了医药生物和TMT行业,然而高估了银行和采掘行业,这就造成了市场不涨但是个股机会多的假象。而2011年则相反,上证指数收益为负,但个股选择和行业配置的超额收益都为正,说明全市场的个股跌得更惨。

上证指数相对于万得全A的超额收益在价值风格占优的年份表现更好。从具体的行业贡献(对于指数累计收益率的贡献)差异上看,上证指数大部分的行业贡献均不如万得全A,这与业绩归因中的行业配置结果相吻合。但从结构上看,我们发现上证指数的行业贡献优于万得全A的分布一般是在价值风格大部分时间占优的年份(2011年、2014年、2016-2018年),比如2014年上证指数的银行、采掘相对于万得全A的贡献差之和达到了7.67%,而在成长风格大部分时间占优的年份上证指数的行业贡献大部分不如万得全A,价值风格占优的年份上证指数相对于万得全A的超额收益也要比成长风格占优的年份表现要好,这与前文分析的上证指数的传统行业权重占比过高相吻合。 由于对于科技、消费的成长股投资在市场大多数阶段占据主流,“赚了指数没赚钱”与“指数跌10%,个股会更惨”的市场思维也就如此形成 。

这样的指数编制,实际上对于投资者隐含的意义在于:过去十年中,2014年重视个股选择更有可能战胜上证指数,2012年、2013年、2016年、2017年和2018年重视行业配置则更有可能战胜上证指数,而2011年、2015年、2019年以及2020年则需要兼顾行业配置和个股选择。如果考虑市场风格,这其中反映的一个有意思的现象是往往在价值风格占优时行业配置越容易取得超额收益,而对于成长风格占优时个股选择重要程度提升。值得一提的是,部分投资者认为的2017年“龙马行情”应该是选股能力的体现,其实恰恰相反, “龙马行情”背后往往意味着权重股表现相较于市场上其他个股更好,对于更宽维度的市场而言个股的机会反而是在减少的 。

3、 自由流通市值加权:行业分布更合理,收益率更高
“如果上证收益率太差,我们就去调整指数”,这似乎是资本市场的一种自我嘲笑。我们尝试去做指数调整的原因恰恰相反,我们是想通过调整指数后,控制变量,进而找出上证指数较低收益率的原因。
如果是权重的计算标准导致了上证指数和万得全A的行业配置、个股选择的差异,本文接下来将上证指数的权重由总市值加权改为自由流通市值加权,并对比这两种权重计算标准下的不同特征。
这里之所以采用自由流通市值进行比较,除了前文提到的自由流通市值是目前主流的加权方法以外,还有一个考虑是自由流通股是可随时交易流通的,而受限、非流通股则不能,因此我们认为更能反映市场交易对于公司股价定价并体现到指数贡献上的权重计算方法是自由流通市值加权法。同时采用自由流通市值加权也能够在一定程度上减少前述 “赚了指数的钱但不赚个股的钱”或者“个股比指数跌得更惨”的情况。
3.1、 行业构成对比:采掘、银行权重大幅降低,非银、医药生物权重显著增加
对比上证指数在自由流通市值加权和总市值加权方法下行业构成,我们发现自由流通市值下采掘、银行的权重降低最多,同时非银、医药生物的权重显著增加,这种结构相比于总市值加权下的行业构成而言更合理。从各个年份权重增加/降低最多的五个行业构成上看,增加最多的行业集中于非银、医药生物、房地产、有色金属、计算机以及食品饮料,而降低最多的行业集中于周期行业。从大类行业来看,虽然非银权重增加, 但整体上金融行业的权重是降低的(-0.91%),TMT+医药生物则大幅增加(+2.00%) 。


行业权重提升的背后其实是市场通过交易来定价行业盈利增长率。从上证指数行业的净利润占比来看,相比于2011年,占比提升最多的是非银金融、银行、房地产、食品饮料、建筑装饰以及电子等行业,而降低最多的是采掘、化工、有色金属等行业,由于净利润占比受银行影响很大(银行占比50%以上),因此我们认为看净利润年化增长率可能更为合理,我们发现从净利润年化增长率(自2011年以来)的排名来看,排名靠前的行业分别是电子、休闲服务、非银金融、食品饮料等,而医药生物、计算机也明显超过了指数,因此我们认为采用自由流通市值加权计算行业权重,提升较为明显的行业其净利润年化增长率也排名较为靠前(有色金属除外),而降低较多的采掘、银行以及化工等行业的净利润年化增长率则排名靠后。


3.2、 收益率对比:指数点位提升800点,B股、ST系列股影响很小
使用自由流通市值加权计算上证指数收益率时明显比总市值加权要高,如果以公告成分股权重最早的2011年9月30日作为基点,则计算到6月12日的上证指数应为3737.70点,比真实的收盘价高出近800点,B股和ST系列股对于指数收益率的影响也很小。我们通过计算发现,除了在2011年9月至年底,使用自由流通市值作为权重计算的指数收益率相比于总市值加权而言均有不同程度的提高。从行业贡献上看,在收益率显著提高的年份,绝大部分行业的贡献同样得到提高。同时,使用自由流通市值权重的上证综指相较于万得全A的收益偏离程度更小,相关性更高。而B股和ST系列股剔除之后的收益率与此前收益率的偏差基本上在10%以内,与前文所述纳入B股和ST系列股并非上证指数“失真”的结论相互印证。


4、 思考股票资产的“合意”收益率
A股市场不断被诟病的一点就是股票作为一种大类资产,其收益率较低,这种类比来源之一是股票收益率和经济增长速度的不匹配。
4.1、 表象的背后:高增长与稳定增长的思考
自2000年至2019年的20年间,万得全A和上证指数的成分股盈利年化增长率都在 20% 以上,指数年化收益率却仅为 7.58%和5.06% (自由流通市值加权),指数表现远不能反映上市公司盈利增长情况。然而近10年以来,万得全A的成分股盈利年化增长率为 7.86% ,而指数的年化收益率为 7.38% ,相比于20年的维度而言相差很小,上证指数也体现出类似的特征,这说明其实市场对于经济增长(企业盈利)的定价存在一定的背离,这种背离背后其实体现的是我国经济增长在前后10年巨大的差异, 市场反而在经济趋于稳定增长之后对于上市公司股价的定价逐步向盈利增速收敛 。就目前来看上证指数的年化收益率和成分股盈利增速之间仍存在约2%的差异,背后可能体现的是市场对于上证指数相对于全市场而言传统行业占比过大的折价。

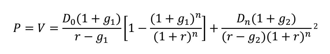
我们认为这种前后10年指数年化收益率和经济增长(企业盈利)之间的关系差异背后其实体现了投资者对于增长预期的变化。根据DDM两阶段增长模型可知,假设所有的企业增长分为超常增长阶段和稳定增长阶段(即永续增长阶段),则其股票的内在价值等于这两个阶段的股利贴现值之和,具体的公式如下所示:

[2]n代表高速增长的年数,g1代表前n年的高速增长率,g2代表n年后的稳定增长率。
往往一个企业在 长 时间内保持高速增长是较难的,经济增长也是如此 :我国2000-2010年名义GDP年化增长率达到了13.71%,而2011年以来仅为7.91%。在高速增长时期市场认为这种高速增长不会持续,只有进入永续增长阶段盈利的增长才能更多计入资产定价中,这一定程度上可以帮助我们理解2000年以来指数年化收益率远不如盈利年化增长率,但是进入2011年以来二者逐渐收敛的情形。这给予我们的启示是, 这种收敛也是为什么现阶段我们会发现投资者越来越愿意给予稳定性的成长和确定性的未来增长较高估值溢价的原因 。
4.2、 上证指数:如何度量未来
即使权重计算标准统一,上证指数的表现相对于万得全A仍有一定的差距。当我们考虑了权重计算标准带来的上证指数和万得全A之间收益率的差别之后,我们发现即使按照自由流通市值加权计算出来的点位比当前提升了约800点,但在此基础上计算的近10年上证指数的年化收益率为5.25%,相比于万得全A的年化收益率7.38%仍低了2.07%。其实这种差异不难理解,我们认为背后深层次的原因是即使权重计算标准一致,本身上证指数和万得全A的行业分布就是有差异的,因为万得全A除去上证指数的成分股之后便是深证综指的成分股,而深交所上市公司包括了大量中小创成分股,因此成长性更好。 所以,改变权重计算方法是为了解决总市值加权无法体现市场交易定价的问题,而对于综合指数而言,由于上市公司自身带来的行业分布差异则无法通过任何指数编制方法的改进而实现 。因此我们认为除了改进上证指数的指数编制方法之外,还可以考虑优化其成分股纳入的范围,比如将更具成长性的科创板纳入上证指数,以“度量未来”。
4.3、 更深层次的思考:指数编制不是万能钥匙
指数不赚钱我们就去改编制规则,这样看起来是一个“笑话”的行为,其实恰恰是为了帮助我们去发现更深层次的原因。市场关于A股存在的长期问题的讨论一直存在,我们比较欣慰的是, 自2011年开始,我们看到了上市公司盈利水平与股票回报率水平之间的差距已经开始收敛。这一方面是因为经济下台阶和告别高增长时代逐步成为市场共识,另一方面这与资本市场改革密不可分。我们认为,进一步提升上市公司质量,同时让市场的选择和识别能力在其中发挥关键作用,这不单是指数编制,也是未来资本市场改革需要进一步推动的问题。
5、 风险提示
国内经济下行超预期;中美摩擦、海外疫情超预期恶化

开源策略团队成员介绍
牟一凌,CFA 中国人民大学汉青研究院硕士。5年策略研究经验,目前担任首席策略,负责大势研判/行业比较。
王况炜 西南财经大学金融学硕士,主要负责行业比较/专题研究。
方智勇 复旦大学金融学硕士,主要负责专题研究/大势研判。