第一作者:Sven Klein
通讯作者:Johannes Kasnatscheew, Tobias Placke
通讯单位:德国明斯特大学、亥姆霍兹研究所
【研究背景】
LiMO2型层状过渡金属(TM)氧化物(M=Ni、Co、Mn等),具有高理论容量和高电压,有望实现高能量密度。然而,在高电压下运行会导致严重的容量衰减,这源于Li+/Ni2+混排,NCM相变,TMs溶解。溶解的TM可以迁移并沉积在负极上,导致固体电解质中间相(SEI)降解,阻抗上升和不可逆容量增加。石墨负极上沉积的锂枝晶也会穿透隔膜造成微短路,被称为“翻转”失效。然而,隔膜在这种失效机制中的作用目前尚不清楚,因此需要彻底评估隔膜对电池性能影响的重要性。
【工作简介】
近日, 德国明斯特大学Tobias Placke和亥姆霍兹研究所Johannes Kasnatscheew等人重点分析了不同隔膜特性对NCM523||石墨电池高压性能的影响,包括隔膜的结构特性(如膜与纤维)及其对LiPF6的反应性(如陶瓷涂层隔膜)。纤维结构可以使TMs沉积和Li枝晶生长更均匀来防止“翻转”失效,从而抑制枝晶渗透。而多孔膜结构由于不均匀的TM沉积/Li枝晶而不能防止电池失效。其次,不同类型的陶瓷涂层隔膜(软水铝石(γ-AlO(OH))和α-Al2O3)对LiPF6表现出不同的反应活性。α-Al2O3对LiPF6的反应性较低,而γ-AlO(OH)涂层由于对LiPF6的反应性较高,导致原位形成大量二氟磷酸阴离子,从而显著提高了循环寿命。相关研究成果以“Understanding the Role of Commercial Separators and Their Reactivity toward LiPF6 on the Failure Mechanism of High-Voltage NCM523||Graphite Lithium Ion Cells”为题发表在国际顶尖期刊Advanced Energy Materials上。
【内容详情】
聚丙烯(PP)膜和PP纤维隔膜对“翻转”失效的影响
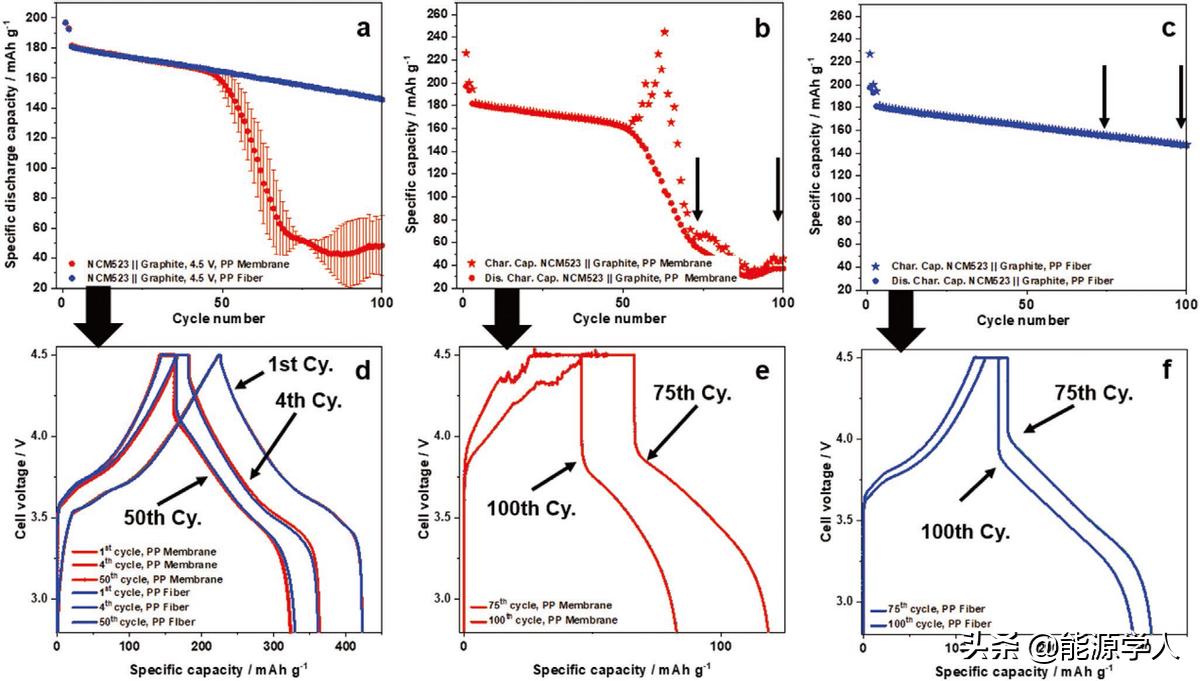
图1c显示,在4.3 V时,NCM523||石墨电池在1 C循环100次后放电比容量约为160 mAh g-1。而在4.5 V下运行的电池在循环开始时放电容量≈180 mAh g-1,然而,在约50次循环后容量快速衰减并发生“翻转”失效。通过将PP隔膜更换为“PP纤维”隔膜,NCM523||石墨电池的早期“翻转”失效受到抑制,而容量衰减在前50圈内几乎相同(图1f),表明PP纤维隔膜不会显着影响高压降解机制。

图 1、PP隔膜的a,b)SEM图像和c)不同充电截止电压下NCM523||石墨电池循环性能的比较。PP纤维隔膜的d,e)SEM图像和f)4.5 V截止电压下具有PP和PP纤维隔膜的NCM523||石墨电池循环性能的比较。

图 2、使用a-h)PP隔膜或i-p)PP纤维隔膜在NCM523||石墨全电池中进行100次充放电循环后石墨负极的SEM图像和EDX元素映射。
使用PP隔膜的电池循环石墨负极SEM图像(图2a-d),显示出各种厚的“岛状”锂金属,在这些岛及其周围,三种TM(Ni、Co和Mn)大量积累(图2e-g)。此外,在锂枝晶处发现了高含量的氟,表明锂金属表面的LiPF6盐分解增加(图2h)。而PP纤维隔膜的电池石墨负极降解不太明显(图2i-l)。负极表面可以分为“亮灰色”和“深灰色”区域(图2i)。深灰色区域是形成的锂枝晶,然而,与PP隔膜相比,这些枝晶分布更均匀。亮灰色区域是石墨颗粒,作为锂枝晶的形核位点。与PP隔膜电池类似,在老化的负极表面也检测到三种TM(图2m-p),表明较好的循环性能和“翻转”失效的抑制与串扰现象无关。

图 3、使用a-d)PP隔膜或e-h)PP纤维隔膜的NCM523||石墨全电池进行100次充放电循环后石墨负极的LA-ICP-MS分析。
利用激光烧蚀电感耦合等离子体质谱(LA-ICP-MS)分析了老化石墨负极的TM 分布和锂枝晶形成。PP隔膜电池的石墨负极显示出大量的“岛状”锂(图3a)。在锂金属岛及其周围,发现了三种TM(图3b-d)。与Ni和Co相比,Mn在整个负极表面分布更广泛,强度更高,表明Mn对负极老化的影响更大,并且参与了SEI的生长。相比之下,PP纤维隔膜电池的石墨负极没有形成任何厚的“岛状”锂(图3e-h)。锂和三种TM的分布非常均匀。同样,与Ni和Co相比,锰在老化负极表面的强度更高(图3g)。

图 4、a) PP膜和PP纤维隔膜NCM523||石墨电池充放电循环性能对比。b)PP膜电池的充放电容量。c)PP纤维隔膜电池的充放电容量。d)在第1、4和50次循环中PP膜或PP纤维隔膜电池的电压曲线。在第75次和第100次循环中e) PP隔膜和f)PP纤维隔膜电池的电压曲线。
图4d显示,PP膜和PP纤维隔膜电池在前50次循环内几乎具有相同的充放电曲线和类似的电压降,因此容量衰减率也大致相同,表明隔膜本身对循环开始时的容量损失没有显着影响。PP膜电池在约50次循环后出现“翻转”失效(图4a),伴随着充电容量波动(图4b)和电压抖动(图4e),表明锂枝晶穿透隔膜并随后形成(微)短路。而PP纤维隔膜可以防止电池失效,在50到100次循环内容量没有波动(图4c),电压曲线也很平滑(图4f)。
陶瓷涂层PET和聚乙烯(PE)隔膜对“翻转”失效的影响
与PP纤维隔膜一样,使用陶瓷(氧化铝)涂覆的聚对苯二甲酸乙二醇酯(PET)纤维隔膜(C-PET)可以防止早期电池失效(图5a),100次循环后具有≈80%的容量保持率。C-PET隔膜在100次循环后负极可分为两个主要区域,即“深灰色”和“亮灰色”区域(图5d-i)。暗区是团聚且更致密的锂枝晶。C-PET纤维结构被压在负极表面,影响锂枝晶的形貌(图5f)。亮灰色部分是指石墨颗粒(图5g,h)。根据Ni、Co和Mn的EDX元素映射,尽管C-PET纤维抑制了早期的“翻转”失效,但无法防止正负极之间的串扰(图5j-l)。

图 5、a)NCM523||石墨电池充放电循环性能对比,使用C-PET和PP隔膜。C-PET隔膜的SEM图像,其中b)纤维侧放置在石墨负极上,c)陶瓷涂层侧放置在NCM523正极上。d-i)100次充放电循环后石墨负极的SEM图像。j-l)来自(e)中SEM图像的Mn、Ni和Co的EDX元素映射。
Al2O3涂层与LiPF6发生化学反应,形成了二氟磷酸盐(DFP)阴离子,可以抑制正负极之间的串扰。图6b显示,陶瓷涂覆的PE隔膜(C-PE)一侧的PE膜成分与纯PP膜相当,另一侧涂有陶瓷(图6c)。然而,C-PE膜隔膜并不能阻止NCM523||石墨电池的早期失效(图6a)。图6d-f显示,使用C-PE导致石墨负极降解。在电池拆卸和负极/隔膜分离过程中,大量锂枝晶被剥离,粘附在隔膜上(图6f)。100次循环后,石墨表面发现了三种TM(图6g-i)。

图 6、a) 使用C-PE膜和C-PET纤维隔膜的NCM523||石墨电池充放电循环性能对比。C-PE 隔膜的SEM图像,其中b)膜侧放置在石墨负极上,c)陶瓷涂层侧放置在NCM523正极上。d-f)100次充放电循环后石墨负极的SEM图像。g-i)来自(e)中SEM图像的Ni、Mn和Co的EDX元素映射。
陶瓷涂层隔膜与LiPF6反应性

图 7、C-PET和C-PE隔膜与标准电解质(STD)的反应性比较。a)20 ℃下的氟化物浓度。b)40 ℃下的氟化物浓度。c)20 ℃下的DFP浓度。d)40 ℃下的DFP浓度。
将C-PET和C-PE隔膜分别用标准(STD)电解液浸泡,并在20℃下储存3天。虽然在20℃时,两种隔膜都导致氟含量降低(图7a),但这种效果在40℃时不再明显,因为两个样品的氟含量都大幅增加(图7b)。与C-PE隔膜相比,C-PET样品的氟含量大约高出三倍,这表明C-PET隔膜在20℃和40℃时对电解质组分表现出更高的反应性。对于DFP的浓度,C-PE约为117 ppm,C-PET隔膜约为726 ppm(图7c)。C-PE隔膜DFP含量在40℃时从≈117增加到≈648 ppm。C-PET隔膜DFP含量从20℃时的≈726 ppm增加到40℃时的≈1293 ppm(图7d)。DFP增加有利于LIB在高电压下运行。

图 8、a)C-PET隔膜的XRD。b)C-PE隔膜的XRD。c)在高温下由γ-AlOOH合成α-Al2O3。d)水软铝石涂层隔膜对LiPF6分解的机制。
C-PE隔膜的陶瓷涂层为α-Al2O3(图8b),它可以在高温下通过从水软铝石脱水合成(图8c)。C-PET隔膜的涂层为α-AlOOH(水铝石)或γ-AlOOH(水软铝石)(图8a)。γ-AlOOH表面有大量的羟基,这些羟基可以作为碱或酸。水软铝石涂层隔膜的高反应性如图8所示。在第一步中,H+通过水软铝石表面的羟基进行中和反应。此外,路易斯酸(Al3+)和路易斯碱氟化物(F-)之间发生强相互作用,导致形成氟氧化铝(AlxOyFz)。由于HF与水软铝石的中和反应,释放的H2O可以促进LiPF6的分解反应。随后,该水解反应导致形成POF3,或在下一步形成PO2F2-。在这两种情况下,都会不断产生HF,并可以进一步与水软铝石反应以产生更多的H2O,因此会形成更多的DFP。
陶瓷涂层的作用以及AlF3/Al2O3/γ-AlOOH对电解质的反应性
除了H2O之外,LiPF6分解的另一个可能因素是形成AlF3。图9a显示,20 ℃时STD电解液中无水AlF3的存在导致LiPF6强烈分解,因为DFP的浓度从≈68增加到≈3000 ppm。假设AlF3主要与LiF反应形成Li3AlF6,这反过来会促进LiPF6转变为PF5/LiF(图9d)。随后,电解液中存在更多PF5,它很容易与H2O反应形成PO3F或在下一步中形成DFP添加剂。然而,该机制无法解释为什么会产生如此大量的DFP阴离子。一个可能的原因是无水AlF3表面存在额外的H2O,XRD无法检测。通过X射线光电子能谱(XPS)进一步分析无水AlF3。图9c显示,无水AlF3在≈75.4 eV处有一个小宽峰,证实了氧化铝杂质相的存在。

图 9、a)STD@20和无水AlF3@20存在下DFP的离子色谱图。b)无水AlF3的XRD和AlF3、AlF3[H2O]、AlF3[H2O]3和AlF3[H2O]的标准XRD。c)纯γ-Al2O3、α-Al2O3和使用过的含有少量Al2O3杂质的AlF3的Al 2p XPS光谱。d)AlF3对LiPF6分解反应机制。
【结论】
本文评估了不同隔膜结构及其与电解液的反应性对高压NCM523||石墨电池性能的影响。用PP纤维隔膜替代PP膜防止了电池早期“翻转”失效,但无法抑制电极串扰。纤维隔膜使TM沉积和锂枝晶形成更均匀。用C-PET隔膜替代C-PE膜防止了电池早期“翻转”失效,但无法抑制电极串扰,因为α-Al2O3涂层(C-PE膜)对LiPF6显示出较小的反应性,形成较少的DFP。而γ-AlOOH(水软铝石)涂层(C-PET隔膜)对LiPF6显示出高的反应性,形成更多的DFP,改善了循环稳定性。
Sven Klein, Jens Matthies Wrogemann, Stefan van Wickeren, Patrick Harte, Peer Bärmann, Bastian Heidrich, Jakob Hesper, Kristina Borzutzki, Sascha Nowak, Markus Börner, Martin Winter, Johannes Kasnatscheew, Tobias Placke. Understanding the Role of Commercial Separators and Their Reactivity toward LiPF6 on the Failure Mechanism of High-Voltage NCM523||Graphite Lithium Ion Cells. Advanced Energy Materials . 2021, DOI:10.1002/aenm.202102599