作者: Liubiggeneral
在抗真菌药物中,唑类药物是一个大家族。自从20世纪60年代末咪康唑问世以来,唑类药物便成为临床治疗真菌感染的主要药物。随着耐药的出现,需要不断研制新型抗真菌药,其中唑类便是一大研究热点。
卢立康唑(Luliconazole)
卢立康唑是日本Nihon Nohyaku公司于1995年研制的一种咪唑类抗真菌新药,2005年在日本上市。卢立康唑通过抑制麦角固醇合成途径中14-甲基羊毛甾醇的14α-去甲基阶段,进而阻断麦角固醇的生物合成,发挥抗真菌作用。目前卢立康唑作为外用药物在日本治疗浅表真菌病,如皮肤癣菌病,念珠菌病,花斑糠疹的治疗,具有短期应用的优点,其剂型有1%乳膏,1%溶液。
其合成工艺主要以间二氯苯为原料,与氯乙酰氯经傅克酰基化反应后,并在(s)-2-甲基-CBS-恶唑硼烷催化下对羰基进行手性还原,再在甲基磺酰氯下进行酯化反应,最后与二硫化碳和咪唑*腈乙**反应得到卢立康唑,其总产率为30%。

拉诺康唑(Lanoconazole)
拉诺康唑由日本Tsumura株式会社开发的新型咪唑类抗真菌剂,1994年首先在日本上市,其商品名为Astat®。它通过抑制羊毛甾醇14-α-去甲基酶活性,阻断麦角固醇的生成而发挥抗菌作用。临床研究表明其较现已上市的克霉唑、咪康唑等咪唑类抗真菌剂具有抗真菌疗效显著、副作用小等特点。拉诺康唑的成功开发填补我国新型咪唑类抗真菌剂的空白。具有较好的社会经济效益。目前该药剂型为1%乳膏,主要用于治疗体癣、足癣及皮肤念珠菌病等,因其在角质中滞留较久,可每天1次外用,连用2-4周。另外该药与其他唑类药物无交叉致敏,故该药对于外用其他唑类药物致敏的患者尤其适用。
其合成工艺主要以1-咪唑基乙氰为起始原料,与二硫化碳缩合后再与2-(1,2-二氯乙基)氯苯环合,纯化后得拉诺康唑,工艺总收率34%。关键中间体2-(1,2-二氯乙基)氯苯以邻氯苯乙烯为原料,经氯气加成得到,拉诺康唑异构体的转化可在强酸下进行。

氟曲马唑(Flutrimazole)
氟曲马唑属于咪唑类药物,由西班牙Uriach公司在1990年研制合成并于1995年在该国上市。它不仅抑制羊毛甾醇14α-去甲基酶,还可以通过与膜脂质的相互作用来产生膜通透性的紊乱,进而达到抗菌的效果。目前,氟曲马唑常用剂型有:1%乳膏、溶液、香波、散剂、2%靶位释放的阴道乳膏及500 mg阴道片剂。其优点在于剂型多样,可替代联苯苄唑和酮康唑应用于临床。
其合成工艺主要以邻氟苯甲酸为原料,首先制得邻氟苯甲酰氯,再制备2-氟二苯甲酮,随后经格氏反应、氯化、缩合获得目标产物。

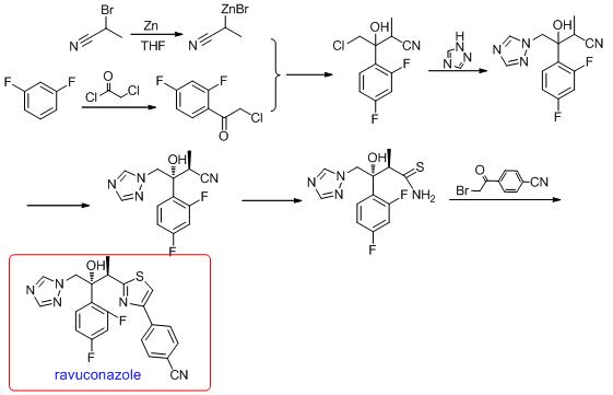
雷夫康唑(Ravuconazole)
雷夫康唑是由美国BristolMyers Squibb公司研制的一种新型*唑三**类抗真菌药。其抗菌机制与其他唑类药物相同,即通过抑制麦角同醇的合成来发挥抗菌作用。雷夫康唑对许多致病菌都具有较高活性,对念珠菌的活性高于氟康唑、伊曲康唑、两性霉素B 及氟胞嘧啶,对侵入性曲霉菌活性高且安全有效且耐受性良好。
其合成工艺主要一方面以2-溴*腈丙**为原料进行格式反应,另一方面以间二氟苯为原料进行傅克反应,随后将两片段对接后与咪唑进行取代反应,并将异构转换后中间体溶解于二硫代磷酸二乙酯中,反应完全后再与α-溴-4-氰基乙酰苯反应得雷夫康唑。

伏立康唑(Voriconazole)
伏立康唑是一种广谱的*唑三**类抗真菌药,可用于治疗侵袭性曲霉病、对氟康唑耐药的念珠菌引起的严重侵袭性感染(包括克柔念珠菌)、由足放线病菌属和镰刀菌属引起的严重感染。伏立康唑应主要用于治疗免疫缺陷患者中进行性的、可能威胁生命的感染。
其合成路线主要以氟代乙酸乙酯为原料,经缩合、溴代、加氢、拆分等反应合成具有光学活性的抗真菌药物伏立康唑。首先是氟代乙酸乙酯与丙酰氯反应生成氟代丙酰基乙酸乙酯,然后与甲醚缩合获得关键的中间体4-氯-5-氟-6-乙基嘧啶,并在POCl3和NBS的作用下对其进行氯代和溴代,随后在Zn和PbI2的作用下进行亲核加成,再进一步加氢还原和拆分即可得到最终产物伏立康唑。


唑类抗真菌药物是在后期发展起来的一类合成抗真菌药。于60年代末问世,克霉唑和咪康唑为这类药物的先驱。克霉唑本是广谱口服抗真菌药物,1971年Bodey回顾克霉唑的药理作用和体内活性,指出其不适合全身给药,仅局部应用于治疗皮肤黏膜真菌感染效果好。在此基础上,1978年研究组报道了另一个唑类抗真菌药—酮康唑,当然,随着时代的发展,医药科技的不断进步,酮康唑也进行了不断改进和提升,最终以伏立康唑获准用于临床。回顾抗真菌药物发展史,我们可以发现,抗真菌药物已经经历了近70年的发展历史,也取得了卓越成就。但是随着抗真菌药物的广泛应用,抗真菌药物的弊端也日益凸显,那就是它的耐药性。虽然说目前临床感染依然以细菌感染为主,但是真菌感染检出率也在不断上升,为真菌药物开发发起严峻挑战。