为了进一步方便咸宁城区封闭小区居民购买生活物资,温泉、浮山、永安45个社区(含城中村)的居民生活物资采购工作,由1890名代购员负责集中代购,其中,温泉961人,浮山578人,永安351人。
代购的操作流程如下:
1、由代购员建立生活物资采购群,居民上报需求清单,代购员负责收集群里需求清单;不能进群的住户由代购员电话询问需求或上门收集需求清单。
2、居民当天在生活物资采购群上报第二天生活物资需求清单,由代购员收集统计后,于当天晚上20点以前报送至定点店,定点店次日将采购的物资配送至各小区门口,交由代购员分发至户。
3、代购员也可按居民需求订单情况,持代购证、居民需求团购清单,选择去物美价廉、交通便利的定点店,由定点店即时下单调配,代购员自行提回分发至订购居民户。
4、各户居民原则上三天向所联系的代购员上报一次需求清单,可选择生活物资套餐,也可上报多样化需求清单(如母婴用品、日用品、应急药品等)。
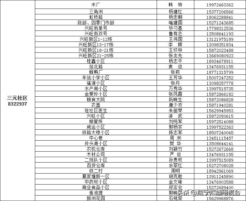
附:咸宁城区1890名代购员联系方式













































咸安区新冠肺炎防控指挥部市场组
2020年2月23日