
近期,肺癌领域有哪些新进展值得关注呢?笔者整理了四项研究,与大家分享。
作者:医者仁心
本文为作者授权医脉通发布,未经授权请勿转载。
PS评分较差患者,接受阿来替尼治疗安全有效吗?
阿来替尼是一款针对ALK融合患者的二代TKI类药物,已经被批准用于这部分患者的一线治疗,对于那些PS评分较差的患者,阿来替尼疗效如何呢?来看一篇来自The Oncologist杂志的研究。
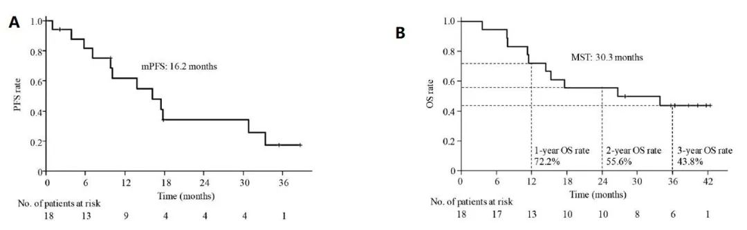
从2014年9月至2015年12月,这项研究共纳入18例ALK重排且PS评分大于等于2分的患者,其中2分、3分和4分的患者分别有12例、5例和1例,中位随访时间27.3个月。患者中位PFS为16.2个月,中位OS为30.3个月,3年OS率为43.8%(图1)。PS评分为2分和3-4分患者的OS分别为20.5个月和未达到。入组时有CNS转移和无转移患者的PFS分别为17.5个月和16.2个月,差异无统计学意义(P=0.886)。

图1 整组患者的PFS(A)及OS(B)
研究结论:对于PS评分较差的携带ALK融合的患者,不管是否有脑转移,阿来替尼都可以带来获益。
以PD-L1*制剂抑**克服PD-1*制剂抑**的原发性耐药,看看这个病例
针对PD-1及PD-L1的免疫检查点*制剂抑**革新了驱动基因阴性患者的一线及二线治疗。与靶向治疗一样,同样有部分患者对某一免疫检查点*制剂抑**原发耐药。而耐药后能否以其他的ICIs进行再挑战治疗?近期,Clinical Lung Cancer发表了一篇有趣的病例,与读者一起分享。
患者是一位79岁的吸烟女性,2014年7月诊断为局部晚期鳞癌,基因检测发现TP53突变,PD-L1检测30%(SP263抗体)。患者一线接受化疗(紫杉醇175mg/m2联合卡铂AUC=4,每3周一次)续贯放疗(累计剂量为39Gy),患者疗效评估为PR。2015年9月,患者肺部及胸膜病灶出现进展,随后接受Nivolumab治疗(3mg/kg,每2周一次),首次疗效评估时,患者病灶出现缓慢的、无症状的进展,同时PETCT检测提示纵膈淋巴结出现进展,患者停止Nivolumab治疗。2018年4月,由于疾病再次进展,患者再次接受了紫杉醇联合卡铂的治疗,疗效评价为PR。疾病进展后,考虑患者PS评分较好,四线给予Atezolizumab (1200 mg,每3周一次)治疗,首次疗效评估为PR,患者对该药的耐受性良好,未出现高级别不良反应,PFS超过9个月。
在讨论中,作者认为,目前已经有临床证据证明ICIs再挑战在部分患者中可能有效,但目前面临的最大问题是无法对这部分患者进行准确识别。作者认为,本病例之所以有效,需要注意几点:一是患者既往曾经接受过放疗,而放疗与ICIs治疗具有协同效应;其二,患者携带TP53突变,携带该突变的患者接受ICIs治疗效果可能更好。尽管缺乏标志物预测这一策略可能的获益人群,作者认为针对疾病缓慢进展且前次接受ICIs治疗有良好获益的患者,可以考虑这一治疗策略。
K药在真实世界中的数据
前瞻性随机对照临床研究提供了最高级别的循证医学证据,但对入组患者筛选严格,因此数据虽然有较好的内部一致性,但外部一致性受到一定的影响。因此,基于真实世界的研究数据与前瞻性研究结论能否互相验证十分重要。近期发表于Clinical Lung Cancer杂志的一项研究探索了帕博利珠单抗治疗PD-L1高表达患者的疗效,并进一步分析了不良反应与疗效之间的相关性。
从2017年12月至2018年12月,这项多中心前瞻性研究共纳入95例组织病理学确诊的复发性或转移性NSCLC患者,所有患者PD-L1表达≥50%并一线接受帕博利珠单抗治疗。患者的总体ORR为40%,PFS和OS分别为6.1个月和未达到(图2)。

图2 全组患者的PFS和OS
多因素分析显示,非腺癌(HR=1.78, 95% CI: 1.05–3.03; P=0.015)及转移灶≥3个的患者(HR=3.97, 95% CI:1.97–8.01; P< 0.001)与较差的预后有关。出现免疫治疗相关不良反应(irAE+)及未出现间质性肺疾病(ILD-)患者的PFS分别为14.0个月和4.9个月,优于irAE-及ILD+阳性患者(图3)。

图3 免疫相关不良反应与患者PFS和OS的关系
研究结论:一线接受帕博利珠单抗治疗的非腺癌及多处转移的患者疗效更差。irAE+或ILD-患者疗效更好。
一代治疗进展后,哪些患者更容易出现T790M突变?
T790M突变是一代/二代EGFR-TKI类药物常见的耐药机制,约占整个耐药机制的一半。哪些临床病理特点可以预测T790M突变呢?来看一项Clinical Lung Cancer近期发表的一项研究。
这项观察性研究在2014年-2018年共纳入意大利7家医疗中心的共计235例患者,分别有53%、22%和25%的患者一线接受吉非替尼、厄洛替尼和阿法替尼的治疗,其中51%的患者基于液体活检或组织活检发现携带T790M突变。结果发现,年龄小于65岁(P=0.037)、常见突变(P=0.004)及对一线TKI更好的治疗反应与T790M突变有关。15例患者进行了多次液体活检,寡进展患者T790M突变率更低,而系统进展患者T790M突变率高。
研究结论:基于高加索人群的研究提示,年龄、EGFR突变类型、对一线TKI的治疗反应及特定的进展方式与T790M突变的发生有关。
参考文献:
1. https://theoncologist.onlinelibrary.wiley.com/doi/abs/10.1634/theoncologist.2019-0728
2. Gelsomino F, Di Federico A, Filippini DM et al. Clin Lung Cancer. 2019 Nov 20. pii: S1525-7304(19)30328-6.
3. https://www.clinical-lung-cancer.com/article/S1525-7304(20)30042-5/fulltext
4. https://www.sciencedirect.com/science/article/pii/S152573041930213X?via%3Dihub
