在之前的《UWB OFDM信号产生,MIMO-SAR显优势》一文中,我们曾介绍了正交频分复用(OFDM)信号的产生原理及在雷达应用中的优势。本文将在此基础上介绍MIMO OFDM宽幅SAR成像的原理与过程。

图1 MIMO宽幅SAR成像示意图
1.MIMO宽幅SAR成像系统
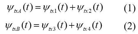
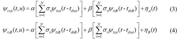
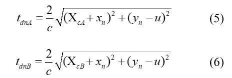
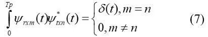
在MIMO SAR成像过程中,独立信号通过不同的天线发送,并且这些信号经过传播之后由多个天线接收。每个天线发送与其他天线波形正交的独特波形,并且每个返回的正交信号将携带关于目标的独立信息。
在接收器中,匹配滤波器用于提取正交波形分量。MIMO SAR系统的发射阵列配备了2个共址天线,接收阵列也配备了2个共址天线。假设发射和接收阵列在空间上彼此接近,它们在不同方向上可以看到不同的目标区域。图1为MIMO宽幅SAR成像示意图,图2为MIMO OFDM SAR成像系统结构。

图2 MIMO OFDM SAR成像系统结构
图1中,天线A和B通过发射电磁波波束分别照射条带A和B。在特定的脉冲重复间隔(PRI)下,天线A通过波束A发射脉冲信号,天线B通过天线波束B发射脉冲信号。
来自条带A和B的回波信号均会被两个不同的接收天线接收。为了将来自条带A和B的回波分离,需要仔细设计发射天线方向图以及发射脉冲,这样可以进一步减少来自其他时间条带的干扰回波。

图3 OFDM信号发生器
OFDM信号发生器根据图3所示的方案产生两个不同的信号,并在特定的PRI下从天线A和B同时发射,其中每个信号是两个子脉冲的组合,公式如下:

雷达上天线A和B的接收信号表示为:

其中,

上式分别表示目标在条带A和B中的信号时延;XcA和XcB分别为距离向上条带A中心的位置和条带B中心的位置。n=1,2,3,...,N为在方位向上给定的合成孔径位置处天线波束内的目标,σn为第n个目标的反射率。α和β是比例因子。比例因子α用以将总功率按比例分配到两个子脉冲,而因子β用来模拟波束外信号。
接收到信号后,需要通过匹配滤波将接收到的雷达回波分开。由于发送信号矩阵对于发送器和接收器都是已知的,并且发送的波形是正交的,因此它们应满足以下条件:

Tp为脉冲持续时间,(·)*为共轭运算符。天线A和B上接收的两个的正交子脉冲可以由两个匹配滤波器提取并由下式给出:

与传统的相控阵SAR相比,MIMO OFDM SAR在所有发射天线上使用相同的波形,可以提供更多的系数,因此具有更多的自由度。成像时使用SAR成像算法(如距离-多普勒算法)分别对每个匹配滤波器的输出进行处理,然后利用图像融合技术获取最终的SAR重构图像。
2.MIMO宽幅SAR成像仿真
实验将四个不同的正交UWB-OFDM子脉冲当作SAR发送信号,从而实现宽幅SAR成像。假设条带A中的两个点目标位置坐标[(x1,y1),(x2,y2)]=[(300,100),(900,-50)],条带B中两个点目标的坐标[(x3,y3),(x4,y4)]=[(300,-50),(900,100)]。
使用Stripmap SAR成像拓扑生成原始数据,利用距离-多普勒算法进行SAR图像重建。图4和图5分别示出了基于匹配滤波器1和2输出的条带A的分解图像,而图6和图7示出了基于匹配滤波器3和4输出的条带B的重建图像。

图4 从匹配滤波器1中重建的图像(条带A)

图5 从匹配滤波器2中重建的图像(条带A)

图6 从匹配滤波器3中重建的图像(条带B)

图7 从匹配滤波器4中重建的图像(条带B)
3.基于小波变换的图像融合
通过两个轨迹不同的SAR天线观察给定的场景,可以确定散射点的位置。但是,当两个天线成像的场景不是真正相同的场景时,由于两个SAR天线的轨迹之间的距离太大,SAR干涉测量会失败。
SAR图像融合技术,可以充分利用同一场景中相同天线不同脉冲信号记录的数据来解决此问题。图像融合的方法有多种,其中最常用的就是基于离散小波变换(DWT)的融合。DWT具有较好的时间分辨率,能够捕获频率和位置信息(时间位置)。基于小波变换的融合技术如图(8)所示。

图8 基于小波变换的图像融合技术
在基于小波的图像融合方案中,首先计算两个配准输入图像I1(x,y)和I2(x,y)的DWT,并使用某种融合规则组合这些变换,然后计算逆离散小波变换(IDWT),并将融合图像I(x,y)重构为:


和

分别表示DWT和IDWT变换,符号表示融合中使用的规则,例如小波函数、近似和细节函数。图9为Haar小波函数对图7所示图像进行的单级分解结果。

图9 单级分解结果 (a)近似 (b)水平细节
(c)垂直细节 (d)对角线细节
图10为使用匹配滤波器1和2的重构图像获得的图像融合结果。图11为使用匹配滤波器3和4的重构图像获得的融合图像。图12为最终重建后的宽幅SAR图像,即条带A和B中点目标拼接后的图像。

图10 条带A融合结果

图11 条带B融合结果

图12 最终重建后的宽幅SAR图像
为了评估图像融合技术带来的噪声水平的高低,我们可以从熵的角度分析输入图像和融合图像。基于小波变换的图像融合后的SAR图像中的信息内容用熵值来识别,该熵值用作非融合和融合图像中的噪声水平度量。表1列出了条带A和B的输入图像的熵以及不同小波族的融合图像的熵。可以看到Haar小波可以最大程度地降低噪声水平。
表1 不同小波族的融合SAR图像的熵

结语

MIMO UWB-OFDM SAR为高分辨率遥感和宽幅成像提供了潜在的解决方案。融合SAR图像也已经证明了开发方法的有用性。同时,图像融合技术提供了一种强大的工具来减少杂波和某些类型的噪声,因此该方法还可用于提高SAR图像的质量。
本文为用户翻译内容,需要英文原文的请给雷达通信电子战微信公众号发送“190815”或点击“阅读原文”查看。