作者:Joanne 来源:小时代大资管
本文基于模型测算的角度,从发行规模、次级档发行价格及收益现状、次级收益测算要点以及次级投资关注要点四个方面对信用卡不良ABS次级定价做一次梳理总结。
一、信用卡不良ABS发行情况概述
2016年,不良资产证券化业务重新启动,招商银行和建设银行率先发行信用卡不良ABS,拓宽了不良资产的处置渠道。随着2017年不良资产证券化试点的不断扩大,另有八家银行也相继加入了信用卡不良ABS的行列。而近两年受宏观经济下行的影响,银行*款贷**不良率有了明显的攀升,不良资产ABS的产品数量也相应有了大幅增长。从2017年到2018年,信用卡不良资产ABS发行数量和金额都近乎翻倍,其中建行、招行和工行在2018年各自发行信用卡不良ABS产品两单以上。

图 1 信用卡不良类信贷ABS发行规模
(数据来源:CNABS)
截至2019年末,市场上参与信用卡不良资产ABS发行的产品主体有12家,共计发行47单,总金额超过139亿,其中工行、建行、招行和浦发的发行金额占整个市场的78%,成为信用卡不良ABS市场的绝对主力。

图 2 信用卡不良类信贷ABS发行主体
(数据来源:CNABS)
二、信用卡不良ABS次级价格及收益现状
已发行的信用卡不良ABS次级债券多采用溢价发行,发行价格在100-110之间。招行“和萃”系列的产品价格最为稳定,次级档均为平价发行。建行首单 “16建鑫3C”的发行价格高达109,预计到期月份为2018年12月,而目前仍处于存续期。“建鑫”系列产品的价格随后呈现下降趋势,直至2019年再度反弹。
价格变化总体上呈现一个V字型的走势,出现较大波动性的原因可能在于:在2018年的时候已发行的产品都仍在存续期,市场对这类产品的认可度仍然不高,加之更多的银行加入导致供大于求,使发行价格走低。而到了2019年,受市场整体收益率下行趋势的影响,外加已清算产品的实际收益率远超预期,因此吸引了大量的投资者进入,从而抬高了价格。

图 3 信用卡不良类信贷ABS次级发行价格
(数据来源:CNABS)
注:发行价格为同一银行在同一年内发行的所有产品次级档的发行均价
已清算的信用卡不良ABS产品均是在到期日前被发行银行清仓回购。次级档收益除了17鸿富1C外都在10%以上,招行“和萃”系列均在12%以上。
表 1 已清算的信用卡不良ABS次级收益

(数据来源:Wind,德邦证券)
三、信用卡不良ABS次级收益测算要点
信用卡不良ABS不同于一般种类的ABS,信用卡不良资产池的现金流来源主要依赖于未来的回收。相比于有抵押的不良*款贷**,信用卡不良ABS的现金流回款时点以及金额都存在更大的不确定性。因此对发行方的资产筛选能力,以及中介机构的现金流预测能力都提出了更高要求。
信用卡不良ABS的债券结构分为优先级和次级,次级厚度占整个发行金额的20%-25%左右,中介机构预测的现金流覆盖倍数为1.3倍上下。典型的信用卡不良ABS的支付顺序如下:

图 4 典型的信用卡不良ABS的支付顺序
测算次级收益时,按照上述支付顺序依次从每期的回收款中扣除相应的费用,可以着重关注以下几个方面:
1、处置费用:主要指通过法律途径或者外包催收机构处置资产所需支付的费用。信用卡的处置费率按照逾期天数分级收取,逾期越久,费用越高,最高可达回收金额的35%-40%,一些银行也会根据具体回收表现而进行调整。
2、税费:仅对回收款的利息部分征收。因为是不良资产,因此回款大部分用来覆盖未偿本金,能催回的利息部分较少,且因在披露时只披露总回收款,不对本金和利息部分加以区分,因此需被征税的利息部分需要另外估算。在缺乏明确的资产池加权平均利率信息的前提下,我们对这部分的估计主要依赖于同行同产品的历史贷后报告。从历史实际税费来倒推回收金额中利息的比例。
3、基本*款贷**服务费:一般为回收金额的0%-5%,也是发行银行可以用来调节次级收益的一种手段。
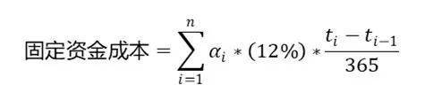
4、次级固定资金成本:10-13%,通常在次级档本金兑付完之后兑付。也会有少量产品的次级固定资金成本在次级档本金兑付前兑付,这对于投资者来说是有利的,因为次级本金存续得越久,投资者的收益就越高。
计算方法主要有两种:假设固定资金成本为12%。
▼
方法一:

其中是第i期次级档资产支持证券未偿本金金额,i是每个支付日序列,i=1,2,…,n,为信托生效日,为第i个支付日所对应的日期,为次级档资产支持证券本金偿付完毕之日。
▼
方法二:

其中是第i期次级档资产支持证券兑付的本金金额,i是每个支付日序列,i=1,2,…,n,为信托生效日,为第i个支付日所对应的日期,为次级档资产支持证券本金偿付完毕之日。
上述两个方法的选择一般是由发行方决定。按方法二计算的资金成本往往比方法一高。区别在于,方法二下,在次级未偿本金没有支付完毕前(可能需要支付好几期),推迟支付的固定资金成本按照目标收益率不断地累计利息。而方法一下,推迟支付的固定资金成本直至兑付之前都不会再累计利息。
5、次级超额收益:在兑付完固定资金成本之后,剩余回收现金流的80%作为*款贷**服务机构的超额奖励,20%为次级投资者的收益。这一设置通过绑定发行方的利益保障了次级投资者的利益,但也同时降低了投资者的收益上限。
四、信用卡不良ABS次级投资关注要点
不良资产投资,相比于具有吸引力的高额回报,我们更关心可能面临的风险。在计算收益的过程中,作为投资者,我们要注意:
1. 发行方用来保障或者调控收益的手段。调控收益上限的手段包括*款贷**服务机构超额奖励和清仓回购。而保障收益下限的办法有调节处置费率和优先级偿付完毕之后兑付的基本*款贷**服务费。基本*款贷**服务费率通常在回收款的0-5%之间,这相当于在回收不及预期时,给了回收率一个5%的缓冲空间。另外处置费率设置,是一个固定标准,还是可以基于实际回收情况而被调整,后者在回收率不及预期的情况下也会对投资者的收益起到一个保护作用。
2. 实际与预计回收的差异。回收率除了受资产本身特征的影响,更受宏观经济环境和催收政策的影响。即便在大的政策环境不变的前提下,真实的回收与用统计方法预计的回收也会存在一定差距。用统计学计算出来的回收曲线往往更加平滑,而现实中的回收会有更大的波动性,因此不难发现不少产品的真实回收在前期大幅超过中介预计,而在后期会回落得比预计更快。所以在测算时不能因为前几期的回收差异而同倍放大未来的回收预期。
3. 合理预期未来收益。因为前期大家对这类产品比较陌生,发行方在资产的选择上相对谨慎,评级机构在现金流的预测上也趋于保守,因此上述已清算的不良ABS产品次级的收益率都比较高。但历史的收益不代表未来的收益,随着信息披露的不断完善,现金流预测经验的不断积累,各方对收益的判断会越来越趋于一致。发行价格和收益率的波动区间都会不断收窄。
五、小结
本文从测算的角度对信用卡不良ABS的次级收益分析做了一次梳理。目前测算的难点主要来源于数据获取渠道有限,无法对底层资产进行逐个建模,因此在评估次级收益时更多地依赖于主体以及该主体历史发行的产品。但由于已经清算的产品很少,且已经清算的产品多是发行银行的首单或前几单,发行人无论在选择资产或者发行价格方面都相对保守,因此对判断存续期产品未来收益的参考价值也相当有限。通过产品层面的数据积累想要得出可靠的投资结论还有很长的一段路要走。