人们在选择花卉时总要问:“能、好、怎?”答案只有一个——没把握的植物绝对不要吃!原因很简单:
有毒植物太多了!
在以百万年计的漫长演化过程中,植物建设了许多防御技能,其中最有效的技能之一,就是在组织中积累一些能对动物造成伤害的物质。
降低农作物的毒性,是人类驯化植物的重要方向。像苦瓜、番茄、马铃薯等蔬菜,虽然它们植物体中含有毒素,但正确地吃可食用部位是没有危险的。

你知道熟苦瓜是甜的么<戳这里看>?这是用来诱惑鸟类传播种子的。图片:wikimedia commons
而园艺观赏植物被驯化只是为了观赏,在驯化过程中并不会以减弱毒性作为主要育种目标,所以许多观赏植物都和它们的野生祖先一样带有毒性。好在这些毒素一般都老老实实地待在细胞内,不吃掉植物组织或者接触到汁液是不会中毒的。
漫画里的紫阳花,不能吃
在漫画《散华礼弥》中,紫阳花的出现频率可说是相当的高,从故事一开始配制复活药就需要用它,僵尸娘礼弥想要防止自己腐烂也需要经常吃它的叶子。注意了,紫阳花可不能作为人类的食物。

《散华礼弥》中的紫阳花。
紫阳花是日语中的称呼,指的是虎耳草科的绣球(Hydrangea macrophylla),绣球圆球形的聚伞花序中大部分是不育花,每朵花颜色鲜艳的四个“花瓣”其实是萼片。绣球的园艺品种很多,花期从初夏到入秋,在日式庭院中是不可或缺的经典植物。<戳这里,带你去镰仓赏花>

绣球的园艺品种繁多,色彩也多种多样。图片:shutterstock.com
绣球的毒性主要来源于细胞中的八仙花甙,还有有机酸和香豆素类,毒性相对不是特别强。狗口服绣球乙醇提取物200mg/kg会呕吐,成年人吃下去虽不至于有生命危险或者变成不死的僵尸,但也会因为腹泻、恶心、呕吐需要就医。
杜鹃花最好一口也别尝
再来说说我国的典型观赏植物——杜鹃。全世界近千种杜鹃属植物中超过一半在我国都有分布。自19世纪英国人开始培育到现在,世界上已经有大概有了六百多种园艺品种的杜鹃,杜鹃花花大色艳,再加上同科还有蓝莓、蔓越莓这样好吃的水果,所以总会有人想去尝尝杜鹃花的味道。但在杜鹃花科中,蓝莓这样无毒好吃的水果其实寥寥无几,更多的则是含有剧毒的杀手,杜鹃属(Rhododendron)就是其中有毒种类最多也是最常见的一个属。
杜鹃花中最有代表性的毒素是木藜芦烷类,其中木藜芦毒素I(34-7)是最主要的急性毒性来源,能影响动物的心脏和神经系统,小鼠口服的半数致死量仅为5.1mg/kg,食用后会出现呕吐、惊厥、肌肉松弛等症状,最后死于呼吸衰竭。

杜鹃花种类繁多,鉴定起来颇具难度,而杂交品种更是谱系复杂。图片:shutterstock.com
我国原生杜鹃花属植物中,有毒的种类大概有60来种。目前我们见到的园艺杜鹃是一百多年来多次种间杂交的产物,不同品种的毒性强弱不一。云南有食用鲜花的传统,曾经出现过食用100克鲜原生杜鹃花就中毒的案例。还有些杜鹃花种虽尚未发现对人畜的危害,但是在动物实验中表现出了毒性,所以最好的应对方法就是一口都不要吃。
多肉植物千万别乱吃
在常见的多肉植物中,最主要的有毒类群是大戟科,比如大戟属的各种“麒麟”,它们的茎叶中很多都含有白色的乳汁,具有强烈的刺激性,如果吃下去,后果会更严重。这种乳汁中含有二萜类化合物、毒蛋白、生物碱等多种毒性物质,二萜类化合物是刺激性的主要来源,而世界上毒性最强的物质之一的蓖麻毒素就属于一种毒蛋白。在种植时一定注意不要让皮肤和粘膜接触到汁液,当然更不要吃。

虎刺梅(Euphorbia milii)的花序与叶子。图片:shutterstock.com / Jean-Jacques MILAN
大戟科以外的多肉植物有毒的不是很多,在景天科中,奇峰锦属(Tylecodon)和绒叶景天属(Cotyledon)是比较常见的有毒种类,瓦松属(Orostachys)中有些种类也含有有毒物质,这些植物的有毒成分主要是强心甙类物质,会引起心律不齐——这类物质我们后面还会详细说,当然同样还是只要不吃就不会有问题。包括各种牛角、球兰在内的萝藦科植物中也有一些种类有毒,但是在APGIII中萝藦科已经成为夹竹桃科下的萝藦亚科,这个锅也就自然而然地甩给了夹竹桃科。<戳这,带你看今年介绍的第一种多肉>
夹竹桃科……背锅也不冤
夹竹桃科中反正本来就有很多种植物有剧毒,因此也不在乎多背几个锅。夹竹桃科植物中含有的有毒物质主要是强心甙和吲哚型生物碱,强心甙类的毒性和机理后面还会提到,吲哚型生物碱则会抑制动物的神经系统和造血细胞活动,像长春花(Catharanthus roseus)中含有的长春碱,小鼠口服的半数致死量为15mg/kg,长期摄入就算没有吃到致死剂量,也会出现白细胞减少的现象。

夹竹桃科科长夹竹桃(Nerium oleander)有剧毒这件事,相信大家都知道了。图片:shutterstock.com
天南星科植物都不好惹
天南星科植物毒性的具体作用机理很复杂,各类成分与毒性作用之间的关系现在还不是很清楚。在许多天南星科观赏植物的汁液中含大量草酸钙针晶和毒蛋白,具有强烈的刺激性,不光不能吃,皮肤和黏膜只要接触后就会肿胀疼痛,如果直接吞下就有可能因为呼吸道受刺激而窒息,接触到眼睛可能会引起严重的结膜炎。

虽然在很多地方俗名叫做海芋,但是图中的马蹄莲和真正的海芋并不是一种植物。图片:Manfred Heyde / wikimedia commons
以常见的海芋(Alocasia macrorrhizos)为例,当基质和空气湿度很高时,它的叶片边缘会吐出小液滴汇聚在叶片尖端。这种现象称作“吐水”,海芋也因此得名“滴水观音”。不过海芋滴出来的可不是观音净瓶中的甘露,而是含有草酸钙针晶和氰甙、海芋素等多种有毒物质的毒水。误食植物组织和叶片吐水导致中毒的案例时有发生,甚至还曾有过用海芋叶子擦拭伤口导致器官衰竭需要透析的报道。

这才是海芋,注意它的汁液。图片:Achat Vente Palmiers
在观赏和修剪海芋时,千万不要让它的汁液入口或者接触皮肤。海芋中毒没有特效解药,皮肤接触可以用大量水冲洗,针晶消失后刺激性就会消失;内服中毒,则需要靠设备保持呼吸道通畅,然后再用导泻、洗胃乃至透析来应对。
石蒜科植物里毒物居多
石蒜科的有毒植物一点也不比天南星科少,它们毒性的来源主要是储存在液泡中的各种生物碱,中国水仙(Narcissus tazetta)的鳞茎中总生物碱含量大概为1%,主要包括多花水仙碱、石蒜碱、伪石蒜碱等,曾经有共同食用8~10根水仙叶导致十四人中毒的报道。前些年微博上还曾流传过英国留学生误把黄水仙(N. pseudo-narcissus)当蒜薹的段子。

中国水仙大家应该都认识,记住它有毒。图片:KeywordSuggest.org

与中国水仙不同,黄水仙的整朵花都是黄色的。图片:shutterstock.com
除了水仙和黄水仙,常见的石蒜科观赏植物如石蒜(Lycoris radiata)、朱顶红(Hippeastrum rutilum)、雪滴花(Leucojum vernum)、文殊兰(Crinum asiaticum)等,植株中也含有大量以石蒜碱为主的生物碱。
吃“菜”也得小心秋水仙素
和石蒜科一起把葱属(Allium)踢来踢去的“老百合科”里毒物也不少,他们一定是嫌弃现在重新归属于石蒜科的葱属无毒无害。善恶终有报,在基于分子证据的APGIII分类系统里,百合科终于也被拆得七零八落了。然而拆归拆,一些“百合旧将”却含有着同样的一种剧毒毒素——秋水仙素。

秋水仙花叶不同期。每年春天秋水仙长出叶子,将养分积攒于地下的鳞茎中,每年秋天叶片枯萎一段时间后,它们才抽出花梗开出美丽的粉色花朵。图片:shutterstock.com
秋水仙(Colchicum autumnale)全株都含有秋水仙素,秋水仙鳞茎干品中秋水仙素平均含量约为0.03%,体重60kg的成年人食用25g干品或者150g左右鲜鳞茎就可能会致死。曾有报道食用10到15g秋水仙鲜鳞茎就会出现头晕、呕吐、腹泻、神志不清的症状。一颗鳞茎大概重100g,也就是说啃一口就足以送去急救。目前,秋水仙素中毒还并没有特效解药,治疗方法只能靠洗胃和注射阿托品。除了急性毒性外,秋水仙素长期摄入还会导致骨髓造血功能异常,严重时会发生再生障碍性贫血。

看下秋水仙的花,注意不是番红花,复习<戳这里>。图片:Wikipedia
百合“旧将”还有其他杀招
随着百合科的拆解,其中有许多属被划归给天门冬科,这些植物的分类位置变化了,但毒性却丝毫未减——开花清新可爱的铃兰(Convallaria majalis)就是其中的代表。铃兰是芬兰国花,在法国的花语是“拥有幸福”,但在白色小花和艳红浆果掩盖下的,是多种强心甙类毒素,包括铃兰毒甙、铃兰毒醇甙、铃兰毒原甙等,食用后会出现厌食(让你吃!)、恶心、呕吐、腹泻和心律不齐、心衰竭等。

铃兰花盛开的时候会散发甜蜜的香气,但千万不要因为它闻起来好吃就把它吃掉。图片:shutterstock.com
其它天门冬科的观赏植物如风信子含有多种生物碱,除了有毒之外还会引起一些人过敏。绵枣儿(Scilla scilloides)的鳞茎中含有海葱元甙等有毒糖甙,和铃兰的毒素一样具有强心作用,小鼠静脉注射组织提取物的半数致死量相当于4克叶片每千克。
强心甙武装起的洋地黄
洋地黄(Digitalis purpurea)在传统分类学上属于玄参科洋地黄属,在APGIII中被划归车前科。在春夏季节,洋地黄会开出很高的总状花序,高可达一两米,在花园里是非常抢眼的高花序花卉。因为它们能够给花境增添层次感,所以洋地黄属中有许多种植物都作为园艺花卉广泛栽培。洋地黄属植物中现在已经提取出超过60种强心甙,能直接作用于心肌,提高心肌收缩力,在治疗心力衰竭等心脏病中作用很大,常用的药物西地兰和地高辛中的有效成分全都是洋地黄中含有的强心甙。

洋地黄的中文正式名叫做“毛地黄”。虽然这么叫,但是它的毛其实一点也不多,和毛茸茸的地黄(Rehmannia glutinosa)比起来简直弱爆了。图片:shutterstock.com
虽然治病效果好,但是洋地黄类的强心甙有一个重大的缺点,就是治疗剂量和中毒剂量很接近,一般治疗剂量的中毒率能达到70%。在精确计算下的用药尚且如此,直接吃掉新鲜洋地黄引起中毒的可能性就更高了,口服洋地黄干叶1克即可中毒,2至3g就可能致死。洋地黄中毒的症状很多,心律失常是最主要的,还有视力减退、黄视、绿视等视觉症状作为中毒的先兆。有一点可以让人稍微安心的是洋地黄中毒是可以用抗心律失常药和特异性抗体来治疗的,前提是送医足够及时并且医疗条件足够好。

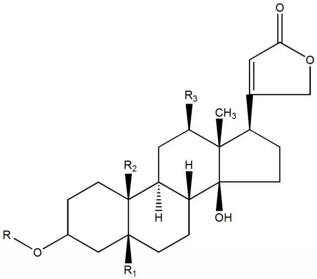
本文里经常提及的强心甙类,化学式长这样。图片:Wikipedia
花园中的有毒植物远远不止上面列举的寥寥几种,但是爱好者也没有必要因此而担惊受怕。绝大多数有毒植物都是要食用后才会中毒,少数是接触汁液后中毒。如果家中种植了有毒植物,只要做到不吃、不乱碰、接触汁液后尽快洗手就不会有什么中毒的危险。
但如果家中有幼儿或宠物就需要格外注意。幼儿体重轻、器官没有发育完全,对有毒物质的敏感性和中毒后的严重程度都远超成人;而猫狗等宠物的生理和人类不一样,有许多对人类不会造成严重后果的植物对宠物来说则是强力的毒药。