
分享兴趣,传播快乐,增长见闻,留下美好。
亲爱的您,
这里是LearingYard学苑!
今天小编为大家带来《电动汽车定价和动力电池产能分配与回收策略研究》第四章基于政府补贴的电动汽车定价和动力电池回收策略研究的算例分析精读。
欢迎您的用心访问!
本期推文阅读时长大约5分钟,请您耐心阅读。
Share interest, spread happiness,
increase knowledge, and leave beautiful.
Dear you,
this is the LearingYard Academy!
Today, I bring you a close reading of Chapter 4 of "Electric Vehicle Pricing and Power Battery Capacity Allocation and Recycling Strategy Study", an arithmetic analysis of government subsidy-based electric vehicle pricing and power battery recycling strategy study.
Welcome your visit!
The reading time of this tweet is about 5 minutes, please read it with patience.
本期展示博士论文《电动汽车定价和动力电池产能分配与回收策略研究》的第四章基于政府补贴的电动汽车定价和动力电池回收策略研究的不同补贴方式下的的算例分析,请读者跟着小编一起来学习吧!
This issue shows the chapter 4 of the doctoral dissertation "Electric Vehicle Pricing and Power Battery Capacity Allocation and Recycling Strategy Study", which is based on government subsidies for electric vehicle pricing and power battery recycling strategy study under different subsidy methods, please follow the reader to learn it!
01
思维导图

02
精读内容
第四章基于政府不同补贴方式下的的算例分析首先对参数进行假设性赋值并分析了三个问题:
1.不同补贴方式对制造商制定决策和其利润的影响
不同的补贴方式都会提升回收率,但是电池回收补贴方式中的回收率更高,同时对消费者的转移支付价格越高,回收率越低。
Chapter 4 analyzes the case based on different government subsidies by first assigning hypothetical values to the parameters and analyzing three questions.
1. the impact of different subsidy approaches on manufacturers' decision making and their profits
The different subsidy approaches all increase the recycling rate, but the recycling rate is higher in the battery recycling subsidy approach, while the higher the transfer payment price to consumers, the lower the recycling rate.

不同的补贴方式都会引起电动车的需求量上升,但是购置补贴方式中的电动汽车市场需求更高,同时转移支付价格增加会降低电池回收市场需求,进而使需求减小。
Different subsidy approaches cause an increase in demand for EVs, but a higher market demand for EVs in the acquisition subsidy approach, while an increase in transfer payment prices reduces the demand in the battery recycling market, which in turn reduces demand.

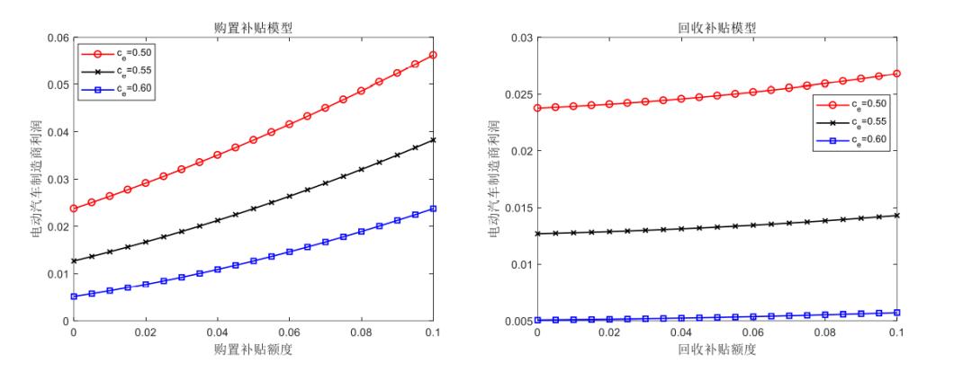
不同的补贴方式都会给制造商带来利润的上升,但是电动汽车制造商的利润在购置补贴模型中更高,原因是在此补贴方式下,需求促进作用更显著,进而使利润更高。
Different subsidy approaches lead to higher profits for manufacturers, but the profits of EV manufacturers are higher in the acquisition subsidy model due to the more significant demand boost and thus higher profits under this subsidy approach.

2.不同补贴方式对政府补贴成本的影响
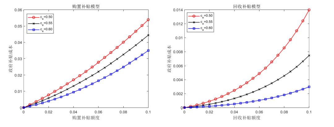
不同的补贴方式都会随着补贴额度上升,导致成本增加,但是由于购置补贴会用于所有售出的车辆,而回收补贴只能覆盖被回收的电池,所以到达相同补贴额度,购置补贴成本会更高。
2. Impact of different subsidy methods on the cost of government subsidies
Different subsidy methods will lead to higher costs as the subsidy amount rises, but since the acquisition subsidy will be used for all vehicles sold, while the recycling subsidy can only cover the batteries being recycled, the acquisition subsidy cost will be higher when reaching the same subsidy amount.

3.不同补贴方式对环境的影响
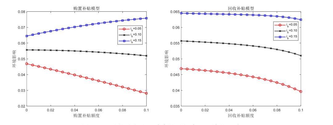
在此部分,作者首先设定了一个燃油汽车环境污染指数,又设置了三种废旧电池环境污染指数,分别小于、等于、大于燃油汽车环境污染指数。得出结论:补贴增加对环境的影响取决于两个指数的大小,如果单位废旧动力电池的环境影响低于燃油汽车,那么补贴增加会对环境带来好处,反之亦反。回收补贴会通过影响电池回收率,进而影响对环境的污染。
3.The impact of different subsidy methods on the environment
In this part, the authors firstly set an environmental pollution index for fuel cars, and then set three environmental pollution indices for used batteries, which are less than, equal to, and greater than the environmental pollution index for fuel cars. It is concluded that the environmental impact of subsidy increase depends on the magnitude of the two indices. If the environmental impact per unit of used power battery is lower than that of fuel car, then subsidy increase will bring environmental benefits, and vice versa. Recycling subsidies will affect the environmental pollution by affecting the battery recycling rate and thus the environmental pollution.

03
知识补充
我们常常听到新能源汽车与电动汽车这两个名词,而这两个名词有什么区别和关系呢?
新能源汽车:新能源汽车是指除汽油、柴油发动机之外所有其它能源汽车.包括燃料电池汽车、混合动力汽车、氢能源动力汽车和太阳能汽车等。其废气排放量比较低,其新能源区别于汽油、柴油污染大的能源。
电动汽车:电动汽车则是特指采用单一蓄电池作为储能动力源的汽车。
新能源汽车将其他能源转化成电能储存在蓄电池并作为动力源的汽车,强调使用的能源是新能源,而电动汽车指的是电驱动汽车行驶,概念上有不同。
We often hear the terms new energy vehicles and electric vehicles, and what is the difference and relationship between these two terms?
New energy vehicles: New energy vehicles refer to all other energy vehicles other than gasoline and diesel engines. These include fuel cell vehicles, hybrid vehicles, hydrogen-powered vehicles and solar-powered vehicles. Its exhaust emissions are relatively low, and its new energy is different from gasoline, diesel pollution energy.
Electric vehicles: Electric vehicles refer specifically to vehicles that use a single battery as a power source for energy storage.
New energy cars convert other energy sources into electrical energy stored in the battery and used as the power source of the car, emphasizing the use of energy is a new energy, while electric cars refer to the electric drive car driving, the concept is different.
今天的分享就到这里了。
如果您对今天的文章有独特的想法,
欢迎给我们留言,
让我们相约明天。
祝您今天过得开心快乐!
That's it for today's sharing.
If you have a unique idea about today’s article,
welcome to leave us a message,
let us meet tomorrow.
I wish you a happy day today!
参考资料:DeepL,百度,知乎。
参考文献: 朱梦萍. 电动汽车定价和动力电池产能分配与回收策略研究[D].武汉:华中科技大学,2021.
本文由LearningYard学苑整理发出,如有侵权请在后台留言!
LearningYard学苑
文字 | clear
排版| clear
审核| 任务达人