Haalthy导读
过去,我们以为人越年轻,抵抗肿瘤的效果就越好。但是,近日有一份研究报告却指出了年纪大的患者也是占优势的。接下来,让我们一起看看吧。
奥希替尼对T790M 突变的非小细胞肺癌和EGFR-TKI获得性耐药患者具有较好的疗效。在真实世界的研究中,有学者想探讨用奥希替尼治疗T790M突变非小细胞肺癌患者时,和疗效相关的因素。最终试验结果得出:患者ECOG-PS评分、年龄与奥希替尼治疗的效果相关。
年龄和ECOG-PS均为奥希替尼疗效的独立预测因子
该研究是在日本Komagome医院进行的单中心、回顾性研究。研究纳入了31例患者,他们都是T790M阳性且对一线、二线EGFR-TKI获得性耐药后使用奥希替尼的患者。
最终结果显示:
1. 年纪大的患者使用奥希替尼效果好
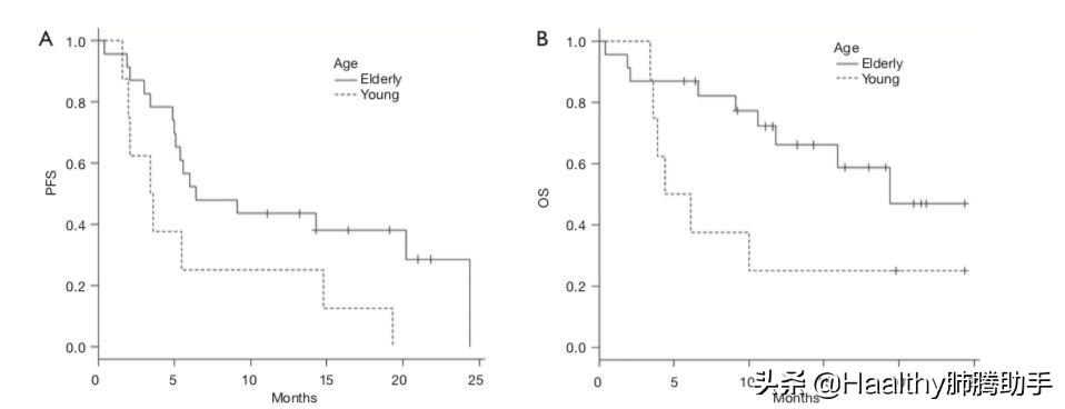
这些患者中,以65岁为界限,< 65岁的为年轻人,共8例;≥65岁的为老年人,共23例。
年轻患者无进展生存期(PFS)明显短于老年患者(PFS:3.5个月 VS 6.4个月)也就是说,年轻患者平均3.5个月后就会发生肿瘤进展,但老年患者则会在6.4个月后发生肿瘤进展。
年轻患者总生存期(OS)也短于老年患者总生存期(5.3个月VS 19.4个月),也就是说年轻患者总的存活时间是5.3个月,而老年患者则可以延长到19.4个月,但结果无统计学差异。

实线:年长者;虚线:年轻者
PFS:无进展生存期;OS:总生存期
2. ECOG-PS评分越好,疗效也就越好
无论是比较无进展生存期(PFS)还是总生存期(OS),均是ECOG-PS评分好的患者获得更好疗效。
研究者将ECOG-PS评分0-1,定义为:较好评分;而ECOG-PS评分 2-4,定义为:较差评分。其中,有10名(32.3%)患者的PS评分较差。
知识补充
ECOG-PS是由美国东部肿瘤协作组织(ECOG)制定了一个较简化的活动状态(PS)评分表。可在治疗前了解患者健康状况和对治疗的耐受能力。

ECOG-PS评分0-1的患者与ECOG-PS评分2-4的患者相比较,无进展生存期(PFS)为:9.1个月 VS 5.5个月;也就是说体力状态越好的患者,平均9.1个月后会发生肿瘤进展,但体力状态越差,PS评分越差的患者则会在5.5个月后发生肿瘤进展。
总生存期(OS)比较为:未达到 VS 6.6个月。未达到是指截止试验数据公布,奥希替尼在治疗体力状态较好,PS评分较好的患者中,还没有观察到终点。
虽然8名年轻患者中有7名患者的ECOG-PS评分较好,但年轻患者的预后仍然较差。

实线:PS评分0-1;虚线:PS评分2-4
PFS:无进展生存期;OS:总生存期
通过多因素分析,年龄和ECOG-PS均为奥希替尼疗效的独立预测因子。
3. 为什么年龄越大,奥希替尼治疗T790M阳性疗效就越好
印象中我们一直觉得年纪越小,自身抵抗力越好,肿瘤治疗效果越好。然而,这个试验却告诉我们,奥希替尼治疗T790M阳性突变患者时,反而是年纪越大越好。而且此前也有试验得出相同的结论。这究竟是为什么呢?
过去,有学者推测可能与年轻患者体内罕见突变的频率较高有关,或者与患者先前接受EGFR-TKI治疗有关。
但是,该试验是在去除了上述相关的因素的基础上,将老年组和年轻组患者其他变量控制一致的条件下,依旧得出相同结果。
因此该试验研究者认为,年轻患者使用奥希替尼疗效不如老年患者的原因,并非与罕见突变有关,也并非与先前接受的治疗有关,更有可能是与其他分子或临床机制相关,但该研究并未探讨何种分子或临床机制。
有趣的是,在年轻患者中TP53 突变更多见,这会不会与奥希替尼疗效有关,将会是未来的研究方向。