金明:
澳大利亚蒙纳士大学博士生,师从Shirui Pan (潘世瑞) 与 Yuan-Fang Li (李元放) ;主要研究方向是图机器学习,包括但不限于动态图神经网络,时空图预测,图谱神经网络等
01
介绍
该文针对的是Continuous-Time Dynamic Graphs,也就是说边和点会随着时间增删。
文章认为当前时序图神经网络(DGNNs)存在两大挑战:
• 动态图不能用常规静态GNN。
• 时序事件的不均匀分布。
这项工作是CAW(ICLR 21)的改良。具体区别:
• 在采样时除了时间信息,还会考虑其他更多信息。
• 这个工作提出了一种motif的嵌入方法。
• 使用pretext task作为训练目标。
02
定义
本文使用的是时序交互流,每次交互都有两个点和一个时间戳。
文章的目标就是得到某个时刻的和的特征和,再通过一个预测他们之间是否会出现关联。
03
模型
我们采用类似 UNISURF 的 occupancy field 来表征场景几何。UNISURF 通过 MLP 将 3D 点坐标及视线方向映射到该点的 occupancy 值和颜色,并通过立体渲染得到像素的颜色,
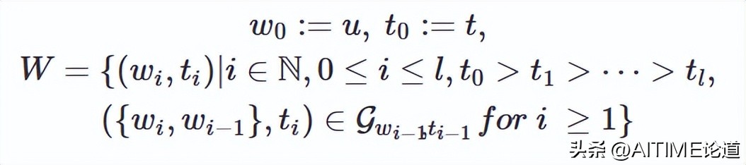
时序游走: 时刻之前有交互的一个点,提取它的所有交互。定义从出发的随机游走:

其中是满足的最小索引。
这步操作实际上就是给每个游走中的点重新编号,让模型不能知道不同游走间是否有同一个点,而只让模型去关注结构信息。
此外,文章后面还提到了一个binary的版本。由于目标就是去预测两点的相互作用,所以对于根节点和和它们的游走组和,存在的共同游走,匿名操作可以是:

后面会用来表示已经匿名了的游走组。
时序游走采样: 以往的工作在计算下一个点的概率的方法是,也就是时间越接近越有可能选择。
文中提出了一个增加考虑拓扑信息和树遍历属性的采样方式。动机有两个:
• 越接近的点应该采样概率越大(∝ exp(αt´-t)))
• 度越大的点月应该被采样(∝ exp(-β/d))
这两个概率在实际使用时会进行归一
算法伪代码:

算法1的做法还有隐患,它会过分鼓励进行深度优先搜索,进而难以进行均匀的motif采样,所以增加了第三个概率(),这个指的就是点已遍历的次数,也就是被采样的次数越多,再次被采样的概率就越小
04
编码

其中的ODESolve是GRU:

最后的是RNN网络
Loss部分,就涉及到之前说过的pretext task了。

也就是说,得到两点特征后,用mlp做预测。预测结果(0,1)做e的指数,范围是(1,e)。log里最理想的情况是,其中n是负样本数量。这样的loss确实会比一般的更难学习。
此外,如果提供了点和边的特征,可以在RNN里拼入MLP得到的结果中。
整体的训练过程:

05
实验
数据集

实验结果



