在湖南,有一个充满着浓郁的古朴风情小镇,这个小镇名为里耶。里耶小镇是秦朝秦简的故乡,秦朝距今两千多年了,有一次,专家们来到里耶考古,在这里发现了6000年前的人类活动遗址,接着又发现了一口古井。这口古井的历史就没有那么长了,但是也有着上千年的岁月。在这口古井里,专家们发现了3.6万册古籍,在附近,专家们还发现了一些陶器和兵器。这些古籍,是秦简,是2000多年前的历史缩影。

一口枯井,挖出3.6万册古籍专家们在里耶建立了一个秦简博物馆
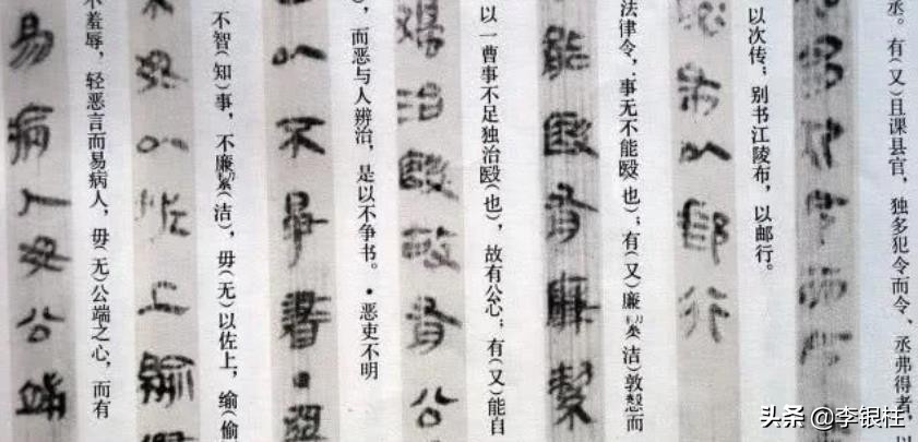
在这3.6万册秦简中,专家们发现了不一样的历史,专家说:不敢相信古籍的记载!里耶是一座没有发掘完成的古镇,由于有着上千年的历史了,专家们也不敢轻易的去挖掘。这3.6万册古籍,记载了这个古城的历史,而这些秦简,是全国各地发现的秦简总和的10倍。专家们从来没有一下子挖掘出这么多的秦简。专家们非常的激动,后来里耶挖出大量秦简的事情,很快就传遍了小镇,后来,里耶就被这些人命名为“秦简的故乡”。这些秦简里,不仅记载了一些当地的历史,还有一些不为人知的秦朝秘史。这里曾经是非常繁荣的地方,非常值得考古学家们探索。

一口枯井,挖出3.6万册古籍专家们在里耶建立了一个秦简博物馆
从出土的秦简和兵器来看,这里曾经是秦楚大战的战场之一,楚怀王是一名宠信奸臣的昏庸皇帝,楚国的战斗力是不如秦国的,秦楚之战整整打了一年才结束。这里耶,就是当时楚国的一个驻扎地,所以这里被秦国占领后,成为了秦国的领地。在里耶出土的秦简,比长沙出土的三国简牍还要早几百年,而且比长沙的简牍记载更为全面。

一口枯井,挖出3.6万册古籍专家们在里耶建立了一个秦简博物馆
这3.6万册秦简的出现,解开了很多历史的谜题,在长期的文化交流发展中,这里的少数民族是怎样发展生存的,还有秦楚战争结束后,这里的人们是如何建立起稳定的社会经济发展的,秦简都一一记载下来了。这口井也成为了“中华第一井”,毕竟这里发掘出来的历史,重塑了一个不一样的秦朝,让专家们发现了秦朝的另一面。秦朝是一个伟大的朝代,也是一个久远难以考证的时代,为了更了解这个时代,专家们一直致力于挖掘秦朝的古迹。其实专家们最想挖掘的,还是秦始皇陵,因为这是秦朝最大的秘密了。

一口枯井,挖出3.6万册古籍专家们在里耶建立了一个秦简博物馆
在发掘出秦简和一些*物文**以后,专家们深深地感受到了里耶是一个有着浓厚历史文化的地方,虽然这里交通不便,不适合长期居住,但是还是非常适合旅游的。在专家们完成了*物文**搬运工作后,专家们在里耶建立了一个秦简博物馆,为的就是向人们展示这3.6万册秦简中的一角,让人们更直观地去感受历史。