通过对化学的学习,你已掌握了实验室制取气体的有关规律,请结合下图回答有关问题:

⑴图中标有a的仪器名称是________。
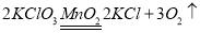
⑵实验室用氯酸钾制取氧气,反应的化学方程式为 _________,欲收集较纯净的氧气,最好选用的收集装置是_____ (填字母,下同),判断氧气已经集满的方法是_____。如用A装置制取氧气,反应的化学方程式是_____。
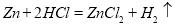
⑶实验室用锌粒和稀盐酸制取氢气,应选择的装置组合是_____,反应的化学方程式为___。
⑷下面左图是校本课程研究小组在老师指导下改进的电解水的实验装置示意图,下面右图是霍夫曼电解水的实验装置示意图.请据图回答下列问题:


①写出电解水的化学方程式:____________;
②用玻璃三通管将左图装置电解水时产生的气体混合在一起,点燃用该混合气吹出的肥皂泡时的实验现象是:_____;
③左图实验装置的优点是:_____,与右图装置相比,用左图装置进行该实验的主要不足之处是:____。

别偷懒!
做完看能看答案哦~

【答案】铁架台

C 气泡从瓶口外冒出

Al或AE


产生剧烈的爆鸣声 仪器和装置都用瓶中废旧物品制成,体现了环保节约的现象 硬质透明塑料管没有刻度,无法测量两种物体的体积比(合理即可)
【解析】(1) 图中标有a的仪器名称是铁架台;
(2)如果用氯酸钾制氧气就需要加热,氯酸钾在二氧化锰做催化剂和加热的条件下生成氯化钾和氧气,化学方程式为:2KClO3+MnO2

2KCl+3O2↑;氧气的密度比空气的密度大,不易溶于水,因此能用向上排空气法和排水法收集,排水法收集的氧气比较纯净,欲收集较纯净的氧气,最好选用的收集装置是C;排水法收集验满的方法是:当大气泡从集气瓶口向外冒出时,证明满了;如果用双氧水和二氧化锰制氧气就不需要加热,过氧化氢在二氧化锰做催化剂的条件下生成水和氧气,化学方程式为:2H2O2

2H2O+O2↑;
(3)实验室是用锌粒和稀硫酸在常温下反应制氢气的,氢气难溶于水,密度比空气的密度小,因此可以用排水法和向下排空气法收集;故填:AC或AE;反应的化学方程式为Zn+H2SO4=ZnSO4+H2↑;
(4)①水在通电的条件下生成氢气和氧气,化学方程式为:2H2O

2H2↑+O2↑;②点燃用该混合气吹出的肥皂泡时的实验现象是:产生剧烈的爆鸣声;③改进实验装置的优点是:仪器和装置都用生活中废旧物品制成,体现了环保与节约资源的理念;与图2装置相比,用左图装置进行该实验的主要不足之处是:硬质塑料管没有刻度,无法测量两种气体的体积比。