周裕琼,深圳大学传播学院教授、传播与文化发展研究中心研究员;复旦大学信息与传播中心兼职研究员。
林枫,深圳大学传播学院2015级研究生。
本文系国家社科基金一般项目“数字代沟、数字反哺与老龄化社会媒体素养提升研究”(项目编号:16BXW048)的阶段性成果。问卷调查得到了腾讯研究院的资助,特此鸣谢。

一
引言
在古典诗词中,代总是唤起文人墨客的浪漫想象。作为一个学术概念,代一直都是生物学、历史学、社会学、人类学等众多学科的焦点。无论是从哪个学科出发,终极命题往往殊途同归,即,代与代之间的更替与传承。然而,代代相传这一贯穿人类社会历史的基本机制,在现代化进程中遭遇到前所未有的来自代沟的挑战。玛格丽特·米德(1988:6-7)在上世纪六七十年代观察到:“整个世界处于一个前所未有的局面之中,年青人和老年人——青少年和所有比他们年长的人——隔着一条深沟在互相望着……一条深深的、人工的沟壑是人类亲手所挖,它发明了一种技术把四十年代中期以来成长起来的人与此后成长起来的人分开了;这样的沟是不会弥合,不会变窄的。”那些米德曾注意到的引发代沟的技术——如电视、人造卫星、计算机等信息传播技术(ICT)——狂飙突进,已然升级为数字化、网络化和媒介化社会的“宰制性”力量。在这样的背景下,我们很有必要在生物学、历史学、社会学、人类学视角之外,再引入传播学的视角来考察代与代沟,并且站在数字代沟这一极具现实意义的落足点上体察现代社会的更替与传承。
二
代的概念化与操作化
代首先是一个生物学概念,是人类生理年龄的一种阶段性集合。以亲子年龄差为标尺,相隔三十年通常被视作两代人。德国社会学家曼海姆(Mannheim,1952)提倡把代问题置于社会变迁的大背景下予以动态考察。在生物学上同时出生的一代人,只有经历相同的社会变迁,才能持有特定的思想、经验、社会文化及行为模式,共享集体记忆,变成“现实代”(generation as actuality)。因此,生物学上的年龄仅仅是划分代的众多依据之一,而人们成长过程中所经历的重大社会事件、所形成的集体记忆以及价值观才能决定他们的“代地位”(generational status)。
如何给中国人分代?营销学者展开了最初的尝试。舒特(Schutte)在1998年把中国消费者细分为三代:社会主义的一代(1945年前出生)、失落的一代(1945-1960)、生活自我的一代(1960-)。后继者(卢泰宏、杨晓燕、张红明,2005)又提出幸运一代(1960-1970)、转型一代(1970-1980)、独生一代(1980-)等划分。这些分代都强调了重大事件(如*革文**、改革开放、市场经济、独生子女政策等)对一代人个性的塑造。社会学家周晓虹(2015:24)给出了一个很好的中国例证:1966年的“*革文**”“*反造**”及随后的“上山下乡”孕育了经历相同的“现实代”,而其中那些善于思考并因此抓住了改革开放良机的“77级”最终构成了一个鲜明的“代单位”。
在代的概念化定义中,个体的生物时间(物理的、外化的、客观的存在)让位于个体的社会时间(感性的、内化的、主观的体验)。在实际操作中,无论是生物时间还是社会时间,常用的测量手段都是年龄。如果把跨度较长的老中青三代视作“现实代”的话,那么跨度较短的则可以视作“代单位”。
基于年龄展开的代的操作化测量,强调了个体的生物和社会属性,而忽视了个体的家庭属性,即,个体在家庭中的角色扮演。家庭和代际关系一直是中国社会学研究的重要领域,但是家庭作为一个传播场域却未能吸引到足够的学术关注。西方的家庭传播研究也是最近三十年才得到认可,它关注家庭成员是如何在不同的情境下通过传播互动来定义身份、维系关系、建构意义,从而使家庭得以正常运转(Braithwaite,Suter& Floyd,2017)。在同一个家庭中,老、中、青(或青少年)分别扮演着祖代、亲代、子代的角色,他们的思维方式和行为模式除了受到社会经历的影响,也必然会受到家庭身份以及家庭关系的制约。如果说西方家庭是以夫妻关系为核心的独立圆,那么重视血缘和孝道的中国家庭则以亲子关系为核心、按照“差序格局”(费孝通,2008)辐射出去的一个个同心圆。亲子乃至祖孙之间的代际关系成为考察中国家庭传播的重要切入点。

综上所述,我们提出了代的概念化及操作化框架(图1)。我们认为代具有生物、社会和家庭三重属性。从时间维度上观察人类的代际更替和文化传承,我们发现出生年代相近的人处于相同的社会变迁中,形成了“现实代”,具体表现为以年龄分层(间隔在20-30岁间)为依据的老中青三代人,而隐藏在年龄背后的却是每一代人所经历的重大历史事件。当前中国代与代之间的观念和行为迥异,即便同一代人之内,以10年甚至5年为一个间隔,出现了众多“代单位”,以各自独特的方式建构了集体意识和群体认同。当我们把研究从时间维度转向关系维度,聚焦于家庭,就会发现祖、亲、子三代人虽然在年龄上与老、中、青可以参差对应,但在生物和社会因素以外,他们在家庭内的角色扮演以及代际互动(哺育与反哺)制约着他们的观念与行为。
作为一个概念,代在传播学中的地位颇为尴尬,其测量手段(年龄)是几乎所有传播量化研究必不可少的变量,但研究者大多聚焦于代的生物和社会时间属性,很少关注到其家庭关系属性;大多考察年龄的连续性影响,较少展开短间隔(十年或五年)的比较,鲜少涉及长间隔(二三十年)的断代;大多把年龄视作一系列自变量或控制变量中的一个,很少将代置于研究的核心位置。一叶障目不见泰山,代问题在传播学研究中长期以来处于缺席状态。有鉴于此,我们不但要重新认识年龄与代的关系,更要从代的视角俯瞰不同年龄层在媒介接触、使用、效果等方面的差异,从而把代沟这一关乎人类社会更替与传承的重要命题引入传播学。
三
从代沟到数字代沟
所谓代沟,是指“由于时代与环境的急遽变化、现代化进程的发生,社会的不断转型,而导致不同代人之间在价值观念、行为取向、文化喜好的选择方面出现的差异、隔阂以至冲突的社会现象”(沈汝发,2002:51)。
在米德(1988:108)看来,“代沟将随着生物过程而有秩序的前移…这是一个简单的、直线发展的结局”。然而,米德也注意到急遽的社会变迁使代沟变得“极其复杂”和“无法预期”:“父母们面对着的是令人捉摸不透的、越来越疏远的子女”。促使代沟复杂化的众多因素中,日新月异的信息传播技术(ICT)居功至伟。将近半个世纪过去,ICT以几何级数速度更新扩散,不仅影响了人们的时空观念,在某种程度上来说,它成为时空本身。卡斯特(Castells,2003)在其《信息时代:经济、社会与文化》三部曲中,系统地讨论了基于ICT的网络社会是如何使空间从“地域空间”升级为“流动空间”,并消解了原有的线性时间,创造出“无时间的时间”。近年来,以微信为代表的“宰制性”媒介更是史无前例地介入到我们的现实生活,定义着我们的“在世存有”(孙玮,2015)。
媒介与年龄、重大社会事件并列成为决定一代人集体记忆和价值观的重要因素。在生物属性、社会属性、家庭属性以外,代似乎又可以加上一个媒介属性。不过与前三个属性不同,代与媒介之间的关系是互为因果的。不同的代使用不同的媒介,按照“媒介即讯息”(McLuhan,1964)的逻辑,不同的媒介使用又促成了代与代之间的异质化,以及代内部的同质化。在操作层面,媒介与代之间的交互作用,最明显的表现就是媒介代沟。周晓虹(2011,2015)在北京、上海、南京、重庆和广州五大城市所做的77个家庭的焦点小组访谈则显示,城市家庭代沟的一个重要表现就在于对媒体(尤其是新媒体,其内涵与外延随着不同年代而不断变化)等“器物”的使用上,并因此出现知识、观念、生活方式的连锁代沟。他进一步指出,所谓“数字鸿沟”,从本质上来说就是“代际鸿沟”。笔者(周裕琼,2014)对深圳200个城市家庭亲子两代的比较则进一步显示,代际之间在新媒体采纳与使用上的差别显著且稳定,因此,笔者将之命名为“数字代沟”(周裕琼,2015)。从计算机到手机(朱秀凌,2015)、从互联网到微信(林枫,周裕琼,李博,2017),数字代沟作为一种现象不仅获得越来越多的学术关注,也日益频繁地出现在新闻报道和行业报告中。但是作为一个概念,数字代沟却缺乏明确的定义以及统一的操作化测量手段,本文的初衷正是要填补上述空白。
四
数字代沟的概念化与操作化
在某种程度上,数字代沟是数字鸿沟概念的一个分支,即存在较大年龄差距的群体之间的数字鸿沟,或称作代际数字鸿沟(吴士余,2003),也有聚焦于老年群体的学者将之定义为银色数字鸿沟(胡安安,黄丽华,许肇然,2017)。对于数字代沟的考察既可以从年龄来分层(即,老中青三代之间的数字代沟),也可以从家庭关系来入手(即,祖亲子三代之间的数字代沟)。数字鸿沟使用divide,强调不同地区或不同人群之间的差异泾渭分明不可逾越,但我们倾向于使用gap来描述数字代沟(digital generation gap),因为gap在强调沟壑的同时暗含着融合的可能性,这才是数字代沟研究的终极目标。事实上,无论是从人类社会的代际传承角度还是从家庭内部的代际互动角度来看,数字代沟虽然分隔了几代人,但在沟的底端却是相连的。我们认为,对数字代沟的考察,应该看到的是“差异”而非“差距”。每一代人因其成长的历史背景和社会环境不同,价值观念和生活方式必然存在不同,这是水平方向的“差异”,而非垂直方向的“差距”。投射到新媒体上,青年人的如鱼得水、中年人的亦步亦趋和老年人的望尘莫及,同样也只是每一代人面对数字生活的自然状态,不存在好坏高下的价值判断。
让我们再来看看数字代沟应包含哪些维度。已有的数字鸿沟研究为我们提供了必要的参考。我们认为从数字鸿沟研究转向数字代沟研究必须增加一个微观/家庭层面,即,在家庭内部考察不同代之间在数字媒体的接入、使用与素养上的差异。微观/家庭层面的加入,不仅是对宏观/国家和中观/社会层面的有益补充,更重要的是,它把数字代沟放在了具体的场景与关系中,代沟不再是难以逾越的divide,而是可以通过家庭代际互动(哺育与反哺)来填补的gap。我们对数字代沟进行如图二所示的概念化与操作化。

我们从三个层面考察数字代沟:微观数字代沟从代的家庭属性出发考察家庭内部的代际差异;中观数字代沟从代的社会属性出发考察社会不同年龄层(现实代或代单位)之间的代际差异;而宏观数字代沟则从国家/区域发展角度考察全民数字化进程中代际不均衡程度,具体可以借鉴数字鸿沟指数(DDI)的框架计算出数字代沟指数(Digital Generation Gap Index, DGGI)。在操作化层面,我们借鉴数字鸿沟研究的已有成果,从“接入——使用——素养”三个维度测量数字代沟,并根据已有文献提出每个维度下的具体指标。
五
涵盖三代人的中国家庭新媒体调查
要从宏观、中观、微观三个层面考察数字代沟,必然对数据有很高的要求。它必须是来自全国范围的、涵盖社会不同年龄层、且以家庭为抽样单位的大型调查,其难度可想而知。其中,最难的一步在于进入家庭后,必须同时访问家庭内祖、亲、子三代人,这样才能通过配对比较的方式呈现出同一个家庭内的代际差异。
我们的调查以中国家庭中的老年人(祖代)为样本源,由其辐射到中年人(亲代)和青年/青少年(子代)。我们以国内人口学针对老年人的两项普查——北京大学健康老龄与发展研究中心组织的中国老年健康影响因素跟踪调查(China Longitudinal Healthy Longevity Survey,CLHLS)以及中国人民大学中国调查与数据中心组织的中国老年社会追踪调查(China Longitudinal Aging Social Survey,CLASS)——的数据为基础设立了配额抽样框。2018年1月-5月期间,我们的调查员(65位经过培训后的研究生),在国内4个一线城市、7个省会城市和47个普通城市按照给定配额寻找到符合条件的老人,并对老人及其14岁以上的家庭成员尽可能全部覆盖。最终我们有效访问948个家庭的3282个样本,其中祖代1103个,亲代1420,子代759个。受访者的地域、性别、年龄和教育程度分布如表1所示。

为了提高数据的代表性,我们根据《2017中国统计年鉴》公布的老年人地域和年龄的联合分布对数据进行了加权。下面我们将以加权后的数据管窥微观和中观的数字代沟,并讨论宏观数字代沟指数的计算思路。
六
中国家庭的微观数字代沟
在微观/家庭层面,我们根据其身份(祖代、亲代、子代)对同一个家庭中的样本拆分配对,共组成了3479个配对,其中邻代之间的亲子配有2805对,隔代之间的祖孙配有674对。再进一步,我们把亲子配分成中高龄亲子配(即,40岁以上中年人和其父/母)958对,和中低龄亲子配(即,40岁以下青年、青少年和其父/母)1847对。
(一)微观数字接入代沟
以微信采纳为例,我们比较了3479个配对家庭中祖孙之间、亲子之间的接入差异。如图三所示,在三种配对家庭中,晚辈的微信采纳率(均在95%以上)都远远高于长辈。其中,祖孙之间数字接入代沟最大(相差70.4%)、中高龄亲子次之(相差66.7%)、中低龄亲子最小(相差21.1%)。

即便长辈和晚辈都已采纳微信(总计有1824对家庭),他们之间的采纳时长也具有显著差异。如表二所示,我们采用配对样本t检验比较祖孙之间、中高龄亲子之间以及中低龄亲子之间的采纳时长,在所有配对中,晚辈采纳微信的时长都显著高于长辈(p<.001),其中,中低龄亲子之间采纳时差最长,祖孙次之,中高龄亲子之间采纳时差最小。

(二)微观数字使用代沟
我们从微信使用深度(已经会用的微信功能数量)、社交广度(微信好友数量)、使用强度(改编自Orosz等人(2016)的Facebook Intensity Scale,由十个问题组成,Cronbach’s α=0.875)三方面来考察祖孙之间、中高龄亲子之间以及中低龄亲子之间的数字使用代沟。配对样本t检验的数据汇总如表三,其差异直观呈现如图四。三个组别在微信使用深度、社交广度和使用强度上的差异一致且都具有统计显著性(p<.001),晚辈的使用程度明显高于长辈,祖孙之间的使用代沟最大、中高龄亲子次之、中低龄亲子之间的使用代沟最小。

(三)微观数字素养代沟
我们使用了一系列量表测量受访者的信息评估、谣言辨别和流行文化素养,然后对所有变量进行标准化处理、消除不同量纲的影响之后进行因子分析(KMO值=0.734),再根据主成分分析的变换矩阵计算出数字素养的综合指数。如表四和图五所示,三个组别在数字素养上的差异均具有统计显著性(p<.001),晚辈的数字素养明显高于长辈,祖孙之间的素养代沟最大,中高龄亲子次之,中低龄亲子之间的素养代沟最小。

七
中国社会的中观数字代沟
在中观/社会层面,我们按照年龄把受访者分成老(60岁及以上,N=953)、中(40-59岁,N=1155)、青(40岁以下,N=1174)三代人,考察三者之间的接入沟、使用沟和素养沟。
(一)中观数字接入代沟
如图六、图七所示,老中青三代人在数字设备(台式/笔记本电脑、平板电脑和智能手机)以及微信的采纳率呈现一致的差异。即,青年人采纳率最高、中年人次之,老年人采纳率最低。

(二)中观数字使用代沟
如表五所示,青年人微信使用程度最高,中年人次之,老年人最低。不仅ANOVA分析显示三代人之间的差异具有统计显著性(p<.001),而且进一步两两t检验也显示任何两代人之间的差异都具有统计显著性(p<.001)。

再来看使用内容,如图八所示,老中青三代人的关注点迥然不同。在我们调查的十类信息中(多选题),差别最大的有四类。老年人对养生信息和政务要闻的关注最高,中年人次之,青年人最低;对影视八卦和工作信息的关注则正好相反。

(三)中观数字素养代沟
如表六所示,青年人数字素养最高,中年人次之,老年人最低。不仅ANOVA分析显示三代人之间的差异具有统计显著性(p=.000),而且进一步两两t检验也显示任何两代人之间的差异都具有统计显著性(p=.000)。

八
微观与中观数字代沟之
比较与宏观数字代沟之计算思路
无论是从微观/家庭还是中观/社会角度来观察,都能看到横亘在不同代之间的数字鸿沟。将两种视角互相对比,得到了一个有趣的发现:在社会层面,数字接入、使用和素养随年龄依次递减的趋势清晰且一致;但是深入到家庭内部,我们却发现,子代、亲代和祖代的差异并非简单递减。家庭关系与家庭身份似乎以一种“润物细无声”的方式干预着人们的数字接入、使用和素养。
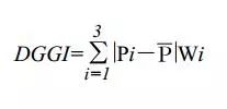
以微观和中观的数字代沟数据为基础,如何计算宏观的“中国数字代沟指数”?借鉴前人思路(祝建华,2002),我们以数字接入代沟为例,提出以下初步的计算公式。

这个公式既可以基于微观数据从代的家庭属性(即,祖代、亲代、子代)来计算,也可以基于中观数据从代的生物和社会属性(即,老、中、青)来计算。其中, 是指所有人的平均采纳率(我们的样本为76.5%),Pi是指不同身份或年龄的某代人的采纳率,Wi是指这代人占总人口的比例。

根据表七汇总的不同身份或年龄的人口比例和微信采纳率,我们计算出的数字接入代沟指数分别为0.230278(祖亲子分代)和0.230465(老中青分代),有细微的差异。
九
总结与展望
本文在代的生物和社会属性之外,引入了家庭属性,从而将代问题与代沟现象置于中国特色的家庭传播场域来予以考察。在此基础上,我们以家庭为根本,推及到社会和国家层面,从接入—使用—素养这三个维度对数字代沟予以概念化与操作化。我们使用全国家庭三代人的问卷调查数据,聚焦于微信这一最具代表性的数字媒体,对微观/家庭以及中观/社会数据代沟进行了描述与比较,并提出初步的宏观/国家数字代沟指数计算公式。数据显示,无论是在家庭代际(祖亲子)之间,还是社会群体(老中青)之间,微信接入、使用和素养的差异都是显著的。进一步的比较发现,祖亲子不同家庭身份能对老中青不同年龄断代间的差异产生微妙的干扰。由此上升到国家层面,根据祖亲子分代计算出来的数字接入代沟指数与根据老中青分代计算出来的结果也存在微妙的差异。
遗憾的是,本文仅止步于数字代沟概念化与操作化,未能进行更深入的数据分析与理论阐释。本文在研究重心、研究目标、研究视角和研究方法上的局限,有待后继者通过以下的转向来弥补:其一,将研究重心从接入代沟转向使用和素养代沟。其二,将研究目标从概念描述转向理论阐释。其三,将研究视角从静态转向动态。最后,将研究方法从量化转向多元。
本文系简写版,参考文献从略,原文刊载于《国际新闻界》2018年第9期。
封面图片来源于网络
本期执编 / 小束
订阅信息
全国各地邮局均可订阅《国际新闻界》,国内邮发代号:82-849,欢迎您订阅!
您也可访问《国际新闻界》官方网站 http://cjjc.ruc.edu.cn/ ,免费获取往期pdf版本。
此外,编辑部还存有少量过刊,您若需要,可微信私信我们或发邮件至 gjxwj@ruc.edu.cn 与我们联系哦!