对于非立方晶系的晶体,本身具有各向异性——不同的方向具有不同的性能。
- 4H-SiC和6H-SiC的空间群都是P63mc,点群是6mm,都属于六方晶系,具有各向异性。
- 3C-SiC的空间群是F-43m,点群是-43m,属于立方晶系,不具有各向异性。
- 15R-SiC的空间群是R3m,点群是3m,属于三方晶系,具有各向异性。
更进一步,6mm、3m属于10个极性点群(1,2,3,4,6;m,3m;mm2,4mm,6mm)中的一个,所以4H-SiC、6H-SiC、15R-SiC是极性晶体。所谓极性晶体,是指一块晶体中至少有一个方向与其相反方向具有不同的性能,可以是电性能(热电性能、铁电性能)、生长性能等。也就是,同一方向的正负面都会有性能的区别——这个在极性面一文中已有阐述。
对于各向异性的表示,会直接体现在不同晶面具有不同的性质。在晶体中,不同晶面是通过晶面指数的差异来表示的。晶面指数也叫做米勒指数,为(hkl)。具体表示方法为:建立晶体的坐标系,这个晶面与坐标轴的截距会是a、b、c,接着取截距的倒数1/a、1/b、1/c,化简成最简单的整数比就是(hkl)。对于三方和六方晶系的晶体,(hkl)=(hkil),i=-h-k。但是,根据晶体的对称性,会有一系列晶面是相同的。比如说,(100)与(200)这些只是没有化为最简整数比。
对于各向异性的应用有很多。
不同方向的籽晶的生长性质有很大的差别。以晶面(0001)为基准,偏转一定角度(台阶流)的晶片更易于生长碳化硅。
电学性质上也会有很大的差别。比如利用晶面(0-33-8)来制备SiC MOSFET,这是因为由于其较低的界面态密度和较高的自由电子比,使得该面在所有掺杂浓度下的沟道迁移率最高。如图所示,当采用10^18/cm3的掺杂浓度时,可实现60cm2V-1s-1的高沟道迁移率,以及高达4V的阈值电压——该电压足以抑制高温下的误启动,比(0001)晶面高。

运用该性质,日本住友电气工业有限公司为SiC MOSFET开发了一种新的结构。它具有V型沟槽,使用(0-33-8)晶面,由此具有更高迁移率的性能。

4H-SiC的(0-33-8)晶面与(0001)面成54.7度的偏角。

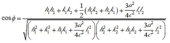
三方和六方晶系的晶胞参数为a、c。晶面(h1k1l1)(h2k2l2)的计算方法如下:

生产该器件的关键是使用化学刻蚀工艺来形成V形沟槽。使用二氧化硅作为刻蚀掩模,并在约900℃的氯气环境中进行刻蚀。
- 不刻蚀的表面先氧化为二氧化硅;
- 氯气与表面碳化硅产生化学反应,使其转化为碳,然后再与氧反应生成二氧化碳;
- 生成的氯化硅和二氧化碳在高温下挥发,将(0-33-8)晶面暴露出来。
注意,不能使用离子刻蚀,尽管离子刻蚀是形成U形沟槽的常规方法,但是将会导致刻蚀损伤和子沟槽的形成。

通过扫描电子显微镜的图像,可以看到化学刻蚀获得了高质量的晶面。

参考文献
更好晶面的 SiC MOSFET
来源:Rad聊碳化硅