熔喷布,价格从4.5万升至50万!
新京报消息,目前熔喷布的价格 已经上升至50万一吨左右,但需求仍然大于供给,目前最受欢迎的产品是中石化95、99号产品,中石化系产品稀缺,市面上少量货源都是之前贩子囤下的,朋友圈叫卖中石化熔喷布的90%是倒爷,9%是*子骗**,还剩不到1% 的是囤货的贩子,提醒大家睁大眼睛选货。
目前除中石化系产品外,其它小厂出产的熔喷布价格并没那么高。此前据证券时报消息,熔喷布价格有一定程度下滑,从之前的50万左右一吨,降到35万元/吨左右,降价15万(官方渠道进货价格并不高)。

熔喷布是口罩的“心脏”,用于医用口罩中间的过滤层,具有很好的过滤性、阻隔性、保温性和吸附性。
此前随着新冠疫情的蔓延,熔喷布的供不应求愈加凸显,价格不断走高—— 从疫情前的1.8万元/吨,到2月底的20万/吨,3月上旬再度翻番至52万元/吨,涨价29倍。
日前,国家市场监管总局公开多起哄抬熔喷布价格的典型案件,其中江苏某熔喷布专营公司,熔喷布售价1月28日为每吨4.5万元, 后逐步从每吨6万元、9万元、15万元一路涨至最高售价每吨56万元。
熔喷布产能提升
4月初,中国石化官方消息,年产500吨的熔喷布生产线在中国石化仪征化纤厂区一次投产成功。
预计中国石化16条生产线5月将全部投产,年产能可超万吨,可加工一次性医用口罩100多亿只——届时,中国石化有望成为中国乃至世界最大的熔喷布生产商。
此前,中国石化分两次建设16条熔喷布生产线,其中燕山石化4条、仪征化纤12条——其中,燕山石化一期2条熔喷布生产线在3月8日投产,仪征化纤一期熔喷布生产线4月中旬陆续建成投产。
根据国务院国资委摸排的央企产能情况,中国石化、国机集团等企业转产增产,熔喷布产量快速提升。其中,国机集团所属恒天嘉华通过紧急改造现有生产线转产熔喷布,产能目前已快速提升至30吨/天。
截至目前,中央企业熔喷布日供应量已达到42.5吨,已累计生产供应超过1000吨熔喷布,可供生产10亿只口罩。
据了解,中国石化、中国石油新建20条生产线将于4月份陆续达产,届时央企熔喷布日产能预计将超70吨。
3月6日,国家市场监管总局联合公安部派出检查组赴浙江、江苏等省份,对扰乱熔喷布市场价格秩序的违法行为开展检查。截至目前已公开曝光多起哄抬熔喷布价格的典型案件。
国内口罩供应恢复
据赛柏蓝梳理,目前,国内多地已经关闭口罩预约平台。
3月28日下午,郑州市疫情防控小组对外发布通告称,自明日起,关闭郑州市民口罩预约平台,不再提供相关服务。
据中国新闻网报道,自3月28日起,厦门市民可自行前往该市多家发售网点购买口罩,已实施近两个月的个人口罩预约购买系统也随之停止。
昨日,青岛政务网对外发布消息称,根据当前疫情防控形势和口罩市场供应情况,经市防控指挥部同意,“青岛市民用口罩网上预约系统”将于3月30日(星期一)进行最后一次预约,3月31日正式停止预约。
3月27日,据半岛晨报报道,昨日,大连市口罩线上预约平台也对外发布消息称,口罩预约将于4月1日正式停止。
同日,安徽阜阳颍上县也对外宣称,鉴于我县新型冠状病毒肺炎疫情已经得到有效控制,市民可以在市场上购买到民用口罩。自2020年3月27日起,“皖事通”APP颍上分厅暂停“口罩预约”工作。
口罩预约平台的关闭表明,口罩的供应已经比较充分,多地均鼓励市民去线下药店直接购买,无需预约。
目前,一次性医用口罩的价格在2元左右,回落明显。不过不少消费者表示,相比于疫情之前的价格,仍然较高,期待进一步的降价。
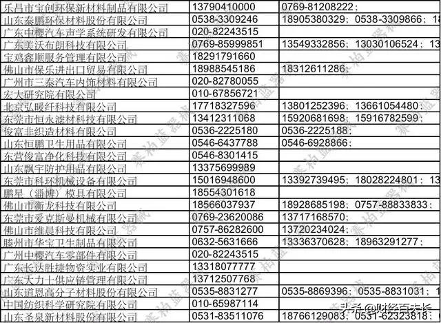
熔喷布经营企业联系方式
下表数据来自国家工商部门公开登记信息。(数据提供:企查查)




内容及观点仅供参考,不构成任何投资建议。