网络上常常出现一些这样的问题,为什么光速是一个整数呢?是什么人把光速限定在这样一个范围呢?
诸如此类的问题时空通讯过去多有阐述,但还有不少人有这些疑惑。最近就有位网友提出:光速为何被限定为30万公里每秒?好像光速是人为确定下来的,要它多快就是多快似的。
这其实还是对世界认识的方法问题,他们把客观世界和人类对客观世界的主观认识混为一谈了。在这个世界上,没有人能够改变客观规律,只能发现认识和利用客观规律。光速就是一种客观规律,没有谁能够确定。如果谁有本事限定光速,那就是大神了,或许人类早已经突破三级文明了,飞出银河系就没有问题了。
下面我们就一起来讨论一下光速这个与现代科学密切相关的问题。

光速是我们世界的客观存在,它的速度一直就是这样。
从138亿年前宇宙大爆炸后第一缕光的出现,光速就是以这个速度在运行着。人类只是通过不断地探索,渐渐掌握了其规律,并且测量出了它的速度而已。
这个速度的准确值就是c=299792458m/s。这个c就是物理公式中的光速常量,是光速在真空中的运行速度,在物理量要求不是很精细的情况下,一般把光速值设定为约30万千米每秒。
光速常量在许多的物理公式中必须用到它。爱因斯坦狭义相对论大大提升了人类对光速的认识,认为光速在真空中速度是既定的,是不以人的意志为转移的,是恒定的,是不可叠加的,是我们世界最快的速度,这个速度极限是无法突破的。
根据光速的这些性质,爱因斯坦推导出了质能方程,揭示了能量与质量的等价互换关系,能量等于质量与光速平方的乘积,表达式为:E=MC^2。
根据这个方程,人们知道了质量里面蕴含的巨大能量,1克物质全部转换为能量可以达到90000000000000J的能量,就是90万亿焦耳,相当2500万度电。这就为人类开发利用能源提供了理论依据,现在的核聚变技术能够实现0.7%的质能转换率,就爆发出了惊天动地的能量。

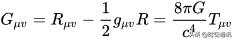
爱因斯坦还把光速理论运用到广义相对论,创立了引力场方程,表述为:

根据这个方程,推断预言了黑洞、引力波、引力透镜、时空弯曲等的存在,并且一一被证实。德国天文学家、物理学家卡尔·史瓦西根据引力场方程,得到了一个真空解,这个解被人们称为史瓦西半径,其表达式为:R=2GM/C^2。
这就是著名的黑洞史瓦西半径的由来,人们通过这个公式,可以了解黑洞质量和无限引力曲率影响范围的大小。这个公式的内涵就是任何有质量的物体,都有一个最小临界半径,只要缩小到这个临界半径,就会产生奇异的现象,所有物质再也不是物质,而是无限坍缩到中心一个奇点上,在这个奇点周围产生一个与质量成正比的球状空间,任何物质一旦进入了这个空间,都有去无回,连光也无法逃逸。
因为这个公式就是以光速平方为底线除数的。可见光速这个常量在现代物理学中的重要地位。

而为了测量光速到底有多快,人类花费了几百年时间。
为了准确的知道光速到底是一个什么值,一代代科学家耗费了大量的时间和精力。最早人们认为光速不存在速度,本来就是无始无终地充斥在人间。
最早提出对光速测量的是伟大的实验科学先驱伽利略。1638年,他安排两位助手分别站在相隔1英里的两个山头上,用举灯方式来计算光速。具体方法就是甲把灯举起,乙在看到甲灯的同时举起自己的灯,甲看到乙灯同时按下秒表计时,他们认为这样就可以计算出来回2英里光的传输速度。
1英里为1609.344米,两英里也就是约3.2千米。光速为每秒约30万千米,2英里的传输时间约10万分之一秒。而人眼最快的响应速度约1/25秒,在人眼反应的同时,还要通过神经来传递信号到手,可想而知这种速度是没法跟上光速的,因此伽利略的这个实验注定是要失败的。
伽利略的光速测量方法限于当时的条件,虽然没有成功,但给了社会很大启示和影响,后来的科学家们就一直试图把光速到底有多快测算出来。但整个测试过程非常漫长,几十年没有什么进展。

几百年来,人们用机械原始方法,孜孜以求的希望得到光速精确值。
丹麦天文学家奥勒·罗默是世界上第一位用科学方法测量出光速的人。它采用的方法是观测木星和木卫一的“行星掩映”现象(这个现象是伽利略发现的),并将太阳与地球位置变化结合起来考量。经过了几十年持续观测和计算,得出了人类历史上第一个科学测定的光速数据:约220000km/s。
他于1676年向法国科学院提交了报告,这是人类历史上第一个关于光速的研究成果。
这个光速看起来距离现在准确的光速数值相差了约27%,但它至少说明了两件事:光是有速度的,而且速度是很快的。事实上罗默的测量精度远远不像他报告的那么差,而是由于当时的计算水平不足,才导致了这么大的误差。现在科学家们用他观测得到的数值重新计算校正后,得到的光速数值为298000km/s,与现代精确光速已经很接近了。

1849年,法国物理学家阿曼达·菲索开始了对光速测量新的尝试,首次在地球上测量出了光速的近似值,得到了315000km/s的数值。它采用的方法实际上是伽利略方法的科学化,他通过光源照射到距离8千米的反光镜上,光线经过720个齿轮旋转遮光,通过计算遮光的次数得到1秒钟光行进的距离。但这个实验数据由于设备的粗糙,遮光齿轮的宽度影响了数值的精度。

1862年,法国物理学家莱昂·傅科在菲索的基础上,将遮光板换成了旋转的平面镜,将光速值精确到了298000km/s;1926年,美国物理学家迈克尔逊依然沿用傅科的方法,只是将反光镜延长到35千米距离,测得光速数值为299796km/s。至此这是人类靠原始方法测量光速,得到的最精确值了,这种原始方法测量已经达到了精度极限,不可能再精确了。

现代科学最终定义了光速的准确值。
随着现代科学的发现和探索不断深入,人们知道了,原来充斥在世界每个角落的光只是电磁波中一个很小的波段,现在把这个很小的波段叫可见光。而电磁波还包含着无线电波、红外线、紫外线、X射线、γ射线等波段的不可见光。这些可见光和不可见光都具有电磁波的特点,波长与频率、速度有着相关性,这些电磁波在真空中的速度都是一样的,光速与波长频率乘积相等,即:c=fλ。
这样只要知道了精确的光速和波长,就能够计算出这种电磁波的精确频率;同样只要知道了频率,也能够计算出其波长。而知道了波长和频率,就能够计算出光速。

到了上世纪50年代,电子计时装置取代了古老的机械设备,测量设备也越来越电子化。1972年美国科学家通过激光干涉测量出了最精确的光速,这是将1束频率已知的激光分成两半,行走不同的路径,之后再被汇合,科学家们在观察干涉图样的同时,调整路径的长度,就可以计算出精确的波长,从而得到光速。
精确测量得到的光速为299792456m/s。这已经是经过科学测算出来最精确的光速数值了,可是还有一个正负1.1米误差,这是为什么呢?

原来是我们当时的国际度量单位“米”本身存在误差。
较早由合金制造出来的“标准”“米原器”实际上并不“标准”,在及其微小的环境变化中,比如温度和湿度的变化,都会影响精度。后来人们发现了一些元素的谱线有良好的精度,如镉和氪的谱线作为长度标准,这样“米”再也不是用实物来定义了,因此误差越来越小。
在1960年十一届国际计量大会上,决定用氪(kr)定义米,表述为:“米的长度等于氪-86原子的2P10和5d1能级之间跃迁的辐射在真空中波长的1650763.73倍”。再后来出现了激光,用激光定义米的长度就更精确了。至此,米的精度是没有问题了,可问题是过去的“米”并不是为了测量光速而设立的,因此不可能准确到一个整数。
在光速测量已经非常精确的情况下,1983年第17届国际计量大会上,决定重新确定米的定义,将一个标准米定义为“光在真空环境下1/299792458秒内通过的长度”。从此,一箭双雕的解决了米的精度问题和光速的精确整数值问题,否则光速就是后面会是一个跟着许多小数点的数值。
从此以后,光速成为一个尺度常量,即便今后真空光速的精度再提升,其数值299792458m/s也不会变化了,只是“米”本身会发生变化。因此有人说,你的身高是由光速会不会发生变化而决定的。

这就是光速的前世今生。
从整个光速的测量确定过程,说明了光速是客观存在于宇宙中的,而我们人类表述光速的衡量标准则是带有主观性的。比如“秒”、“米”都是人类定义的时间间隔和空间间隔的量。客观的光速是不变的,无论是地球人还是地外文明测出来的都是一样的,只是表示的方法单位各有不同而已。
但要记住,光速的一切基本性质,就是前面说的不变、极限、恒定等等,都是指光在真空中直线运动的性质,而在不同的介质中,光速是不同的,这里就不多扯了。
不知道有疑问的朋友现在明白了不?如果还不明白,请在评论区留言,时空通讯将尽力解答。
谢谢阅读,欢迎讨论。
时空通讯原创版权,侵权抄袭是不道德的行为,敬请理解支持。