上周,我给大家分享了几个汽车相关的冷知识,大家的反应都很积极,感谢大家捧场的同时也有一些问题需要改进。其中最重要的问题就是,之前的问题确实不太实用,大家日常用车的过程中大多都用不上,所以这次我们来分享几个和我们日常开车用车息息相关但你不一定知道的冷知识。

No.1 同款车型三厢和两厢版哪个更省油?
这个问题相信大家在买车时都会遇到,相同的一款车型,既有两厢版本也有三厢版本,那么到底买三厢版好还是买两厢版好呢?

其实,这个问题并不难,选择两厢车停车更方便,后备箱空间利用率更高,而选择三厢车你能拥有一个更舒展流畅的车身线条和更静谧的车内空间。但是,相信大部分人都会忽略一个问题,那就是同款车型三厢和两厢相比谁更省油呢?(遮住下方答案你知道吗?)

既然说到了油耗,这就和汽车行驶时受到的阻力有最直接的关系,而如果要搞清楚这个问题,我们就得从汽车行驶方程式开始说起。
汽车行驶方程式为Ft=Ff+Fw+Fi+Fj
其中Ff为滚动阻力,Fw为空气阻力,Fi为坡道阻力,而Fj则为加速阻力。

而根据之前的条件,也是为了方便计算,我们只分析同款车型在平直路面上行驶时受到的阻力,故坡道阻力、滚动阻力和加速阻力均不计算。(同款车型动力总成和使用的轮胎型号默认为相同型号)
那么,我们可以发现,此时影响汽车行驶阻力的因素只剩下空气阻力这一项了,而两厢车和三厢车空气阻力到底有没有区别,我找来了一张简单易懂的图片。

汽车行驶过程中受到的空气阻力一般分为压力阻力和摩擦阻力两部分,其中摩擦阻力是由于空气的粘性在车身表面产生的切向力产生(摩擦阻力仅占汽车所受空气阻力的9%),而压力阻力则主要受制于车身形态,两厢车和三厢车之间空气阻力的区别也主要来源于此。

压力阻力通常又被分为四部分:形状阻力、干扰阻力、内循环阻力和诱导阻力。上图是各形态物体压差阻力示意图,我们大致可以将两厢车型看做第二个物体,而拥有较长尾部线条且车身更流畅的三厢车可以看做第三个物体,车头相同的情况下,两厢车由于车尾收的更加急促,流经车身的气流会在未经梳理的情况下迅速分离,随后产生大量涡流。相反,三厢车在车尾产生的涡流便远低于两厢车。

综上,在其他条件相同的情况下,三厢车会比两厢车更加省油。而要注意的是,这个结论成立的条件是同款车型在相同使用工况下。而在汽车设计中,空气阻力还受到车辆尾部倾角和车身俯仰角度等因素共同影响,但是实际体验和车主口碑都证明了同款车型三厢比两厢更省油这个观点,所以理论还是有一定参考意义的。
No.2 为什么有的越野车二档起步更快?
不知道大家有没有听一些开货运车辆的“老司机”或者经常玩老派越野车的人说起,有的车用二档起步比用一档起步更快,虽然我第一次听到也不太相信,但是这种说法是正确的,而且有理论依据。

上面的问题谈到了汽车行驶阻力和行驶方程,其中讲到了加速阻力,众所周知,汽车加速行驶时需要克服其质量加速运动时产生的惯性力,这就是加速阻力。而能产生惯性力的可不仅是平移质量,像飞轮和车轮以及传动系统等旋转质量也会带来阻碍汽车加速的惯性力偶矩。

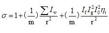
为了量化旋转质量,通常将汽车旋转质量换算成平移质量,而σ为汽车旋转质量换算系数,且计算公式为

其中m为汽车质量(kg),Iw为车轮转动惯量,而If则为飞轮转动惯量,由此可见,旋转质量换算系数由传动系统的传动比所决定。

我们知道,加速阻力方程为:

回到一开始的问题,二档加速更快,用理论解释就是二档的加速度更大,而综合这两个公式,硬派越野车和货车由于其车轮质量和一档传动比都非常大,导致旋转质量换算系数非常巨大,在m质量不变的前提下,σ越大,加速度越小,相反二档传动比更小,σ也更小,同样条件下加速度更大,加速更快。

这就解释通了,为什么硬派越野车和部分货车用二档甚至更高档位起步会比一档起步更快,下次别人再问你可不能不知道了哦!
你有什么知道的汽车冷知识吗?接下来键盘给你,欢迎在下方评论区告诉我们!
