导读:对于我们这些虔诚的物理学家来说,过去、现在和未来的区分,仅仅意味着一种顽固的幻觉。
——阿尔伯特·爱因斯坦
作者:迪恩·博南诺(Dean Buonomano)
来源:华章科技

篮球比赛令人兴奋的一点是,比赛的最后有时候会出现与时钟的赛跑。在时钟嘀嗒倒数至零、蜂鸣器响起之前,球员必须出手完成最后一记投篮。如果在比赛计时钟归零前离开了手,这次投篮就计入得分。
判断这两件事哪一件先发生,似乎是一个完全客观的行为:球要么在蜂鸣器响起前离开手,要么没有。然而,结果却并非如此。
让我们来做一个思想实验:假设裁判判断,制胜的那记投篮确实在球场另一端原子钟倒数至零前离开了球员的手。运用某种高科技设备,裁判稍后证实,球员投出球的时候,时钟上还剩完整的1纳秒(即十亿分之一秒)。
现在,让我们假设,由于这是NBA总决赛的第7场比赛,一名宇航员正在通过望远镜观看比赛,此时,他正置身一艘速度飞快的宇宙飞船,其飞行速度达到了1/2光速。宇航员听说这次投篮记入得分,忍不住对裁判骂了脏话,因为宇航员确定,球投出之前,时钟就归零了——也就是这次投篮得分不算数。
投篮是否算数,哪支球队是真正的冠军——这些存在分歧的报告与信息传送到宇宙飞船所存在的时间延迟没有关系,我们假设,各方都已考虑到了这些延迟。这两种叙述仅仅是两种同样成立的现实,一种是获胜的球队是凭实力获胜的,另一种是裁判误判了比赛。
怎么会这样呢?两件事的发生顺序,因观察者的不同而不同,这有可能吗?如果真是这样,这对时间的本质会有什么意义呢?为回答这些问题,我们必须深入探究爱因斯坦的狭义相对论。

01 狭义相对论
光看爱因斯坦谦逊的论文标题《论动体的电动力学》,谁也猜不到这将成为一篇改变科学进程的论文。爱因斯坦从两条原则出发,推导出论文中提出的理论——狭义相对论。
第一条是,对所有恒速运动的观察者来说,物理定律保持不变。这一所谓的相对性原理,爱因斯坦借鉴自伽利略。
伽利略指出,在一艘以恒定速度平稳运行的船里,观察者不可能知道自己是否真的在运动——你说不定会联想到,你曾在飞机上摇摇晃晃地醒来,一时分不清自己是在飞行中,滑行中,还是停在跑道上。
相对性原理带来的结果是,我们总会根据与另一种东西的相关性来定义速度。当我们说汽车以每小时100公里的速度行驶,我们隐含的意思是,这是相较于地球上的静止物体而言,比如地上插着的80公里限速标志。
但严格来说,并没有正确或绝对的参考框架。相对迎面驶来的警车,汽车的速度将远超每小时100公里;而且,说汽车处于静止状态,是限速牌正以每小时100公里的速度移动,也是同样成立的。因此,某一物体行进的速度,是与选中的参考框架相关的。只不过,这里有一种例外的情况……
在真空中光速是恒定的,与光源的运动状态无关。这是爱因斯坦的第二条原则。乍看起来,光速恒定的概念无伤大雅,但跟相对性原则结合到一起,就破坏了绝对时间的概念。

为了理解光速恒定的后果,让我们首先在速度的常识概念上达成共识。如果你在以每小时100公里速度行驶的火车上,朝着火车的运动方向射出一颗*弹子**(枪支射出*弹子**的速度是每小时300公里),你会观察到,*弹子**以每小时300公里的速度远离你。
如果我站在火车站的平台上目睹这一幕,我会(足够符合直觉)测量到*弹子**的速度是火车的速度加上*弹子**的速度,即每小时400公里。
接下来,让我们考虑一种类似的情况,只是放入爱因斯坦第二条原则:光速的恒定性。你的火车现在以每秒100000公里(光速的1/3)的超高速度行驶,你朝着火车前方射出了一束激光。激光的最前端将以每秒300000公里的速度远离你(大致相当于光速,用c表示)。
按理说,当你观察到以每秒300000公里前进的光束时,我应该观察到它的速度是火车的速度加上光速:每秒400000公里(1.33c)。然而,这将严重违反光速恒定的原则,即人人测量的光速都应该等于c,不管其自身速度是多少(它还违背了狭义相对论的一个相关的后果,即任何东西的速度都不会超过光速)。事实上,你和我都将报告说,激光光束完全以相同的速度行进。
在直观的层面上,这十分令人困惑不解。你可以计算出,1秒钟后,激光束的前沿超出你的火车300000公里了。因为观察到光束以相同的速度行进,我能计算出光束在火车站前方300000公里,因为我知道你的火车以100000公里每秒的速度行驶,所以列车应该正位于轨道上的100000公里处。
因此,根据我的参考框架,列车和光束之间的距离,应该是两个位置之间的差:300000-100000=200000公里。但你刚刚分明观察到,光束在你前面300000公里!有点不对劲。
简单地说,光速的绝对性,是牺牲时间和空间的绝对性换来的!我们的计算不匹配,因为我们并没有以相同的方式体验时间或空间。
1905年是爱因斯坦的“奇迹年”:在伯尔尼担任专利员期间,他发表了4篇开创性论文。在狭义相对论论文中,他得出了一组方程,描述了时间膨胀(和空间收缩)与速度的函数。
有趣的是,这些方程式叫作洛伦兹变换,因为它们最先是由荷兰物理学家亨德里克·洛伦兹(Hendrik Lorentz)描述的。但洛伦兹并没有完全理解这些方程的后果,他也没有意识到,它们可以从上文提到的两条原则中推演得出。
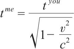
有必要迅速看一眼洛伦兹时间变换的缩减版(注),因为它是时间历史上最重要的时间方程式之一。这个等式只涉及代数,它把你搭乘火车期间时钟给出的时间(tyou),转化成了我站在火车站上时钟给出的时间(tme)(假设我们的秒表,都从你超过我的那一瞬间开始计时)。在等式中,v代表我们之间的速度,而常数c还是代表光速:

注 该方程假设我们在t=0时同步手表,此时,我们置身同一个地方,我们在自己的坐标系中,将各自的位置定义为xyou=xme=0。
因为c是极为巨大的数字,在日常速度下,v^2/c^2将接近于零,并且分母将非常接近√1,即1。因此,tme将近似等于tyou。这正是我们的正常经验:我们所有的时钟都以相同的速率行进并保持同步,因为即使我们正在移动,我们只是低速(相对于光速)移动。
但在接近光速的速度下,时钟相对于彼此行进的速度不同。回到你在一辆以1/3光速行驶的火车上的例子,按你的时钟测量的1秒钟(tyou=1)过后,tme等于1.06秒。这样的差异不算大,但如果你的旅行速度更接近光速,比如说v=0.999c,那么你的1年(tyou=1年),tme就等于22年以上了。我们说,你的时间膨胀了:你才1岁,我就22岁了。
第一批揭示时间膨胀的实验之一,是在商业航班上携带原子钟,并将它们与地球上的原子钟进行比较。航班东向飞行(由于地球的自转,飞行方向很重要),时钟记录了数百个小时。正如狭义相对论所预测,飞行中的时钟比放在华盛顿美国海军天文台的原子钟落后了大约亿分之一秒。
这项实验,以及后续的其他许多实验证实,时间不是绝对的。牛顿是错的——时钟时间并不会“均一流动,无关外部的任何东西”。

02 同时性的丧失
无论是摆锤的摆动,还是视交叉神经元中的“周期”蛋白质,时钟时间总是通过变化来衡量,而变化是局部现象。某些事物的变化速度,会受局部环境的影响,这一点我们很容易接受。这差不多也就是我们发明冰箱的原因——冰箱里的西红柿,比还留在菜摊上的同胞“老”得慢。
实际上,用钟摆时钟或者果蝇生物钟测量的时间,同样会因环境温度而改变。但温度对不同时钟的影响不同——对某些时钟,温度完全没有影响。例如,放射性同位素的衰减时间,在接近绝对零度时,也与正常情况差不多相同。
相反,速度对任何时钟的运行,都有着绝对的、毫无商榷余地的影响。任何物理过程,无论是原子钟还是人体,都会根据自身行进的速度,以更慢或更快的速率变化。这兴许就够让人不解了,但爱因斯坦的狭义相对论还有一个更叫人困惑的后果。
让我们回到列车和站台的思想实验,想象一切都发生在低速运行的常识世界。假设一辆行驶的火车中,射出了两颗方向相反的*弹子**。你站在200米长的火车的中间,该火车以每秒100米的速度行驶,我站在站台上(见图9-1)。

▲图9-1 牛顿的火车。
▲按照牛顿定律,如果观察者站在行进的火车中间,朝着相反方向射出两发*弹子**(t=0),在所有观察者眼中,火车的前后窗户将在t=1秒时同时破碎。
火车车头朝着我的方向驶来,你开了两枪,*弹子**也以每秒100米的速度行进:一颗*弹子**朝向火车前窗,另一颗朝向后窗。从你的视角来看,*弹子**以相同的速度行进,必然会穿过相同的距离,因此,两颗*弹子**将同时打碎火车前后的窗户——就在你扣动扳机后正好1秒。
从我的视角来看,我会看到前进的*弹子**以每秒200米的速度移动(火车的速度加上*弹子**的速度),击中前窗为1秒,因为*弹子**必然行进了200米(火车长度的一半,加上火车在1秒钟行驶的距离)。我将观察到,向后射出的*弹子**,以每秒100米(列车的速度)减去每秒100米(*弹子**的速度是负的,因为它跟火车运动的方向相反)的速度行进。
换句话说,我看到*弹子**停在半空中,而火车后面的窗户撞上了*弹子**(如果我们假设这一切发生在真空状态,发生在引力很小的星球上,那就最好不过了)。这还是需要1秒钟,因为火车的后部距你手枪射击的地方100米。
正如牛顿所预料,你和我将看到,火车的前后窗同时破碎。本例中,我们会说同时性是绝对的:你看到同时发生的两件事,在我眼里也是同时发生的。
现在,让我们再做一次类似的思想实验,只是速度快得多,距离也远得多(见图9-2)。

▲图9-2 爱因斯坦的火车。
▲狭义相对论告诉我们,在极快的速度下,不同的观察者将体验到不同的空间和时间(所以,绘制时空图会非常棘手)。火车前方窗户抵达站台上的观察者时,将火车和站台上的时钟都设置为t=0。当火车上的和站台上的观察者面对面时,火车上的观察者将看到两扇窗户同时破碎,但站台上的观察者将看到后窗先破碎,前窗却仍保持完整。
你此刻正搭乘一辆很长很长的火车,你坐在火车中间,测得火车的长度是4400000公里,行驶速度是光速的2/3:大约每秒200000公里(0.667c)。
跟之前一样,当你的火车前端到达我处时,你用如今尚未发明的粒子枪开了两枪,粒子枪的*弹子**同样以每秒200000公里的速度行进。这些粒子*弹子**以相反的方向,朝列车两头的窗户行进。
再说一遍,因为你的位置是在火车中间,你会看到两扇窗户同时破裂:按照你的时钟,是在你开枪后正好1秒,因为两颗*弹子**,按每秒200000公里的速度飞行1秒,必然行进了200000公里。
对我而言,由于火车后窗正以每秒200000公里的速度向*弹子**推进,我仍然会看到朝火车后方射出的*弹子**在半空悬停(因为火车的速度减去*弹子**的速度等于零)。
但在我的观察中,朝前行进的*弹子**速度是多少呢?为了让两扇窗户在我的视角里同时破碎,朝前的*弹子**必须在火车后窗到达后方*弹子**所需的等量时间内,穿过等于火车全长的距离(初始的一半火车长加上火车行进的距离)。
由于朝前的*弹子**必须行进两倍于朝后的*弹子**的距离,因此,它必须以远高于光速的速度行进。但是,狭义相对论告诉我们,前向*弹子**的速度大约是每秒277000公里(0.92c)。很明显,我不会见证前后窗户同时破裂。也就说,你看到两扇窗户同时破碎,我却看到后面的窗户先破碎!
这种分歧,与所有传输延迟(与火车不同位置的信号到达你或我所需时间不同相关)绝对没关系;相反,这些看似矛盾的体验,代表了两种不同但同样有效的现实。同时性(其实就是两件事发生的顺序)可以是相对的。

03 时空
让我们对这些思想实验的结果再多做些探讨。从你的参考框架看,在每一个瞬间,两扇窗户要么全是好的,要么全碎了。然而,在我看来,有一个瞬间,后窗碎了,前窗没碎。这太让人困惑了。两扇窗户在你看来都碎了,在我看来却还有一扇没碎,这怎么可能呢?就好像我们生活在不同的宇宙中一样。
对这一难题的一种解答是时间的空间化,即块体宇宙。如果我们假设,所有曾经或将要发生的事件,都永久地位于块体宇宙中的某个点(一如永恒论的主张),那么,同时性的相对性看起来也就没那么叫人费解了,这就像空间中的两种物体,取决于你所在的位置,它们看起来有可能处于同一直线,也有可能并非如此。
如果你站在高速公路的一侧,同侧的两根电线杆看起来在一条直线上,但如果你站在公路中间,它们就不在一条直线上了——这是个透视问题。
同样,两扇窗可以看起来是同时破裂的,因为从你在时空中的视角来看,它们“处于同一直线”,而从我的视角看,它们不“处于同一直线”。这就是为什么狭义相对论为永恒论提供了最具说服力的一种论据。
有趣的是,爱因斯坦最初发表狭义相对论论文时,并未提出应该把时间想象成块体宇宙的第四维。是爱因斯坦在苏黎世的教授,赫尔曼·闵可夫斯基(据说他认为,爱因斯坦在学生时代是条“懒狗”)最早理解了狭义相对论对时空关系给出的激进暗示。
1908年,根据前学生的研究工作,闵可夫斯基大胆宣布:“从此以后,空间本身、时间本身,都注定要退居阴影之下,只有两者的结合,才能维持独立的现实。”
闵可夫斯基把时间和空间融合成了时空。他为爱因斯坦的狭义相对论设计了几何重构:在标准的空间三维度之外,加上了一个时间维度。闵可夫斯基的见解是:虽然空间和时间是相对的,但空间和时间的融合是绝对的。
如果你在宇宙飞船上展开了一场曲曲折折的航行,而我在地球上从远处观察你,那么等你回来的时候,对你到底走了多长时间、走了多长距离,我们的时钟是不一致的,但对你在时空里行进了多少“距离”,我们的认识是一致的。
我们可以把闵可夫斯基的四维宇宙进行简化,用图表的横轴代表简化后的单个空间维度,时间维度用纵轴表示。保持静止由沿着纵轴的运动构成——时间在流逝,而我在空间中的位置不变。与此同时,你的宇宙飞船航行则以对角线运动为代表。
基于两轴的位置变化,可以计算出时空中的行进距离——一个所有观察者都认同的值。这一距离与所谓的“本征时间”(proper time)有关:你的飞船中时钟所测量的时间。
狭义相对论之所以叫狭义相对论,是因为它适用于忽视了引力影响的简化宇宙。在发表了狭义相对论之后,爱因斯坦用了10年时间,提出了一条更具普遍性的理论。这就是他的杰作——广义相对论,他在其中确立了引力和加速度之间的等效关系。
牛顿的万有引力定律描述了引力与质量和距离之间的关系,但他对引力究竟是什么几乎没有提出什么见解。广义相对论给出了一个惊人的答案:引力本身并不是一种力,而是时空的扭曲。闵可夫斯基将空间和时间联姻为时空的做法,在广义相对论中得到了进一步的确立。
有人认为,相较于狭义相对论,广义相对论为永恒论提供了更有利的支撑论点,因为广义相对论方程的一些解,给出了时间旅行的可能性——也就是说,从特定假设和初始条件开始,这些方程允许时间之间的前后跳跃。
对广义相对论的详细讨论超出了本文的范围,幸运的是,狭义相对论抓住了有利于永恒论和块体宇宙的关键论点,足以满足我们这里探讨的目的。
过去、现在和未来同样真实的观念,嘲弄了我们对现实的感知。
关于作者:迪恩·博南诺(Dean Buonomano),加州大学洛杉矶分校神经生物学系和心理学系的教授,并任学习和记忆整合中心的研究员,他经常关于神经科学受邀到一些媒体发表讲座或访谈,包括《新闻周刊》《发现者杂志》《科学美国人》《洛杉矶时报》《科学家》《纽约客》等。
本文摘编自《大脑是台时光机》,经出版方授权发布。

延伸阅读《大脑是台时光机》
推荐语:关于时间感知的脑洞大开之作,横跨神经科学、心理学、哲学、数学、物理、生物等领域,打开你对世界的崭新认知。