名词解释
金融工程:金融工程是以金融产品和解决方案的设计、金融产品的定价与风险管理为主要内
容 ,运用现代金融学、数理和工程方法与信息技术的理论与技术,对基础产品与金融衍生产
品进行组合与分解,以达到创造性地解决金融问题的根本目的的学科与技术。
金融工程师:
金融工程师是从事金融工程工作的技术人员,通过基本的金融工具,依据客户的要求设计加工,使收益、币种、风险和期限形成合理的组合,构成较复杂的金融创新产品,以提高收益、降低风险。
套期保值者:参与者在现货市场已有一定的风险暴露,其介人衍生
产品市场的目的是通过衍生产品的相反头寸进行风险转移和管理
套利者:参与者认为标的资产现货价格与其衍生产品价格之间存在不合理的相对关系,
同时进人现货与衍生产品市场交易,从事套利活动,以获取无风险或低风险的套利收益
投机者:如果参与者既没有套期保值的需要,也并非因为发现现货与衍生产
品价格之间的不合理的相对关系进行套利,而是单纯进人衍生产品市场,根据自己的预期,
利用衍生产品的高杠杆性质进行操作,通过承担风险获取相应的预期风险收益,在市场变动
与预期一致时获利,不一致时亏 损 ,此类参与者就属于投机者
普通复利:
一笔资金除本金产生利息外,在下一个计息周期内,以前各计息周期内产生的利息也计算利息的计息方法。
连续复利:
在期数趋于无限大的极限情况下得到的利率,此时不同期之间的间隔很短,可以看作无穷小量。
绝对定价法:绝对定价法就是根据证券未来现金流的特征,运用恰当的贴现率将这些现金流贴现加
总为现值,该现值就是此证券的合理价格。
相对定价法:相对定价法的基本思想就是利用标的资产价格与衍生产品价格之间 的 内 在 关 系 ,直接根据标的资产价格求出衍生产品价格。相对定价法可以分为. 复制定价法、风险中性定价法和状态价格定价法等。
复制定价法:所谓复制,即用一组证券来复制另外一组证券。复制的要点是使复制组合的现金流特
征与被复制组合的现金流特征完全一致。只要能够复制出现金流完全相同的资产,那么复制组合与被复制资产的价格应该完全相同,这就是复制定价法。
风险中性定价法:风险中性定价原理是指在对衍生产品进行定价时,可以作出一个有助于大大简化工
作的简单假设 :所有投资者对于标的资产所蕴含的价格风险都是风险中性的。在此条件下,
所有与标的资产风险相同的证券的预期收益率都等于无风险利率,所有与标的资产风险相
同的现金流都应该使用无风险利率进行贴现求得现值。
积木分析法:也叫模块分析法,是一种将各种金融工具进行分解和组合以解决金融问题的分析方法。
状 态 * 格价** :状态价格是指在特定的状态发生时回报为1,否 则 回 报 为 0 的资产在当前的价格。
如果未来时刻有TV种状态,而 这 7V种状态的价格都知道,那么只要知道某种资产在未来各种状态下的回报状况,就可以对该资产进行定价。这就是状态价格定价技术。
连续复利年利率 是:指计息频率无穷大时的年利率,它与每年计m次复利的年利率可以互相换算。
简答计算:
1. 如何理解金融工程的内涵?
1、金融工程的根本目的是解决现实生活中的金融问题。通过提供各种创造性的解决问题的方案,来满足市场丰富多样需求。
2、金融工程的主要内容是设计、定价与风险管理。产品设计与解决方案是金融工程的基本内容,设计完成后,产品的定价也是金融工程的关键所在,定价合理才能保证产品可行性。而风险管理则是金融工程的核心内容。
3、金融工程的主要工具是基础证券和各式各样的金融衍生产品。
4、金融工程学科的主要技术手段,是需要将现代金融学、各种工程技术方法和信息技术等多种学科综合起来应用的技术手段。
5、金融工程对于促进金融行业发展功不可没,它极大丰富了金融产品种类,为金融市场提供了更准确、更具时效性、更灵活的低成本风险管理方式等等。
2. 谈谈你对风险管理在金融工程中地位的看法。
风险管理是金融工程最重要的用途之一- ,在金融工程中处于核心地位。衍生证券与金融工程技术的诞生,都是源于市场主体管理风险的需要
3. 在金融工程的发展过程中,哪些因素起到了最重要的作用?
推动金融工程发展的重要因素:日益动荡的全球经济环境、鼓励金融创新的制度环境、金融理论和技术的发展创新、信息技术的进步、市场追求效率的结果。
4. 如何理解衍生产品市场上的三类参与者?
他们分别是套期保值者、套利者和投机者。他们有不同的参与目的,他们的行为都对市场发挥着重要作用。套保者的操作是为了转移和管理已有头寸的风险暴露,他是衍生证券市场产生和发展的原动力。套利者则是通过发现现货和衍生证券价格之间的不合理关系,通过同时操作,获取低风险或无风险的套利收益。他的参与有利于市场效率的提高。
5.请列出中国金融市场上现有的金融行生产品。
1)商品期货,有上海、郑州、大连三家交易所,以农产品和金属为主
2)外汇期货和国债期货曾于1992年试交易,但分别在93年和95年叫停,时隔18年后,国债期货于2013年9月中旬重启,现有5年期国债期货和10年期国债期货两个品种
3)股指期货,2010年4月16日开始交易,现有沪深300、.上 证50和中证500三个品种
4)公司权证,品种少、炒作风气浓
5)银行间市场上交易的产品:外汇远期、外汇掉期、外汇期权、利率互换、远期利率协议、债券远期、信用缓释工具
6)上证50ETF期权2015年2月9号在上交所挂牌上市
7)结构型理财产品中蕴含的衍生产品
6.如果直接用绝对定价法为衍生产品定价,可能会出现什么问题?
采用绝对定价法定价的问题:绝对定价法的运用有赖于未来现金流的确定。可
是许多金融工具的未来现金流是难以预测和确定的(比如股票),这为采用该方
法定价带来了困难。同时,绝对定价法需要确定--个合适恰当的贴现率,这也是
个比较困难的事情。因为贴现率往往取决于人们的风险偏好,而风险偏好是很难
衡量的。
8.试述复制定价法、风险中性定价法和状态价格定价法的基本思想,并讨论这三者之
间的内在联系。
a.无套利定价法基于的原理:如果市场价格对合理价格的偏离超过了相应的成本,市场投资者可以通过对标的和衍生证券之间的买卖进行同理,买低卖高,通过这些套利作用,市场价格必然会做出相应调整从而回归合理均衡状态。且该方法假定套利活动无风险、且金融证券可复制,市场没有卖空限制。所以定价时可以通过复制构建组合A与B,使得两组合在期末有相同的回报,那么任- -时刻两组合的价值应相等,若不等便可套利。此定价法的关键在于可复制和无套利。
b.风险中性定价法是指在对衍生证券定价时,作出一个纯技术性的假定,即所有投资者都是风险中性的,在此条件下,所有与标的资产风险相同的证券的预期收益率都等于无风险利率,贴现率也都应用无风险利率以求现值。事实上,风险中性定价法是在无套利和可复制的条件下才可实施的。
c.状态价格定价法是指通过市场可观测的证券求得各个状态的状态价格,从而便可为任意资产定价。
三种方法都属于相对定价法,即利用标的资产价格和衍生证券价格之,间的内在联系,直接根据标的资产价格求出衍生证券价格。只需要知道相对位置,不需要太多信息,运用起来比较方便。三种定价方法殊途同归,它们拥有完全相同的使用前提:无套利加完全市场假设。而且得出的结论都是--致的。
9.如何理解金融衍生产品定价的基本假设?
1、 市场不存在摩擦,无保证金和卖空限制。该假设能简化定价的分析过程,同时对于大规模的金融机构来讲,这一假设也相对合理,因为大金融机构的交易成本低,所受的卖空限制较小。
2、市场参与者无对手风险,即无违约。
3、市场完全竞争。市场上规模较大品种成熟的市场接近这一假设。
4、市场参与者是风险厌恶者,且希望财务越多越好。
5、市场没有无风险套利机会。这是最重要的假设。
10.如果连续复利年利率为5%,10000元现值在4.82年后的终值是多少?

编辑
添加图片注释,不超过 140 字(可选)
11.每季度计一次复利的年利率为14% ,请计算与之等价的每年计一次复利的年利率
和连续复利年利率。

编辑切换为居中
添加图片注释,不超过 140 字(可选)
12.每月计一次复利的年利率为15%,请计算与之等价的连续复利年利率。

编辑
添加图片注释,不超过 140 字(可选)
13.某笔存款的连续复利年利率为12% ,但实际上利息是每季度支付一次。请问1万
元存款每和度能得到多少利息?

编辑切换为居中
添加图片注释,不超过 140 字(可选)
14.“用连续复利计息就是高利贷,比用普通复利计息要多收不少利息。”请问这个说法
对吗?请解释。
不对,不同计息频率的利率不能直接比较。应统-转换为相同标准的利率(年有效收益率)才能进行比较。若两种利率都转换为年有效收益率后,普通复利的利率要比连续复利利息更高,则前者比后者多收利息若两种利率都转换为年有效收益率后,普通复利的利率要比连续复利利息更低,则前者比后者少收利息。
15.很多金融文献都采用

添加图片注释,不超过 140 字(可选)
,来表示收益率或增长率(其中P,为I时刻的变量值),请问这是为什么?但对于日收益率或日增长率,人们常常认为AlnP,和“

添加图片注释,不超过 140 字(可选)
差不多,你同意吗?

添加图片注释,不超过 140 字(可选)
是连续复利收益率。对于每天计息的普通复利收益率,可计算验证出其与连续复利收益率是近似的。
第二章
金 融 远 期 合 约 (financial forward contracts ) 是指双方约定在未来的某一确定时间 ,按确定
的价格买卖一定数量的某种金融资产的合约。在合约中,未未将买人标的物的一方称为多方(longposition),而将在未来卖出标的物的一方称为空方(short position)。合约中规定的未来买卖标的物的价格称为交割价格(delivery p rice )
远期利率协议(forward rate agreements,FRA )是买卖双方同意从未来某一商定的时刻开
始 ,在某一特定时期内按协议利率借贷一笔数额确定、以特定货币表示的名义本金的协议。
合约中最重要的条款要素为协议利率,通常称为远期利率,即现在时刻的将来一定期限的利
率
远期外汇协议(forward exchange agreements, FXA ) 是指双方约定在将来某一时间按约定的汇率买
卖一定会额的某种外汇的合的。交易双方在签订合同时,就确定将来交割时的汇率。到时不论汇价如何变化,都按此汇率交割。在交割时,名义本全通常并不交,而风交割合同中规定的远期汇率与当时的即期汇率之间的差领
。
远 期 股 票 合 约 (equity forwards)是 指 在 将 来 某 一 特 定 日 期 按 特 定 * 格价** 交 付 一 定 数 量 单 个 股 票 或 一 揽 子 股 票 的 协 议 。
金融期货合约(financial futures contracts)是指在交易所交易的、协议双方约定在将来某个曰期按事先确定的条件(包括交割价格、交割地点和交割方式等)买人或卖出一定标准数量的特定金融工具的标准化协议。
期货交易的基本特征为交易所集中交易和标准化,以及所衍生出的交易机制。
期货合约和远期合约在交易场所、标准化程度、合约双方关系、价格确定方式、违约风险、结清方式以及结算方式上都存在较大的差异。.
1、2015年9月13日,中国某公司签订了一份跨国订单, 预计半年后将支付1 000 000美元。为规避汇率风险,该公司于当天向中国工商银行买人了半年期的1 000 000美元远期,当天的远期外汇牌价如案例2.1所示。半年后,中国工商银行的实际美元现汇买人价与卖出价分别为6.6921和6.6930。请问该公司在远期合约上的盈亏如何?
1.2015年9月13日,该公司向工行买入半年期美元远期,意味着其将在半年后以6.4959人民币/美元的价格向工行买入美元。合约到期后,该公司在远期合约多头上的盈亏= 000000x (6.6930- 6.4959)= 197100.
2. 一-位跨国公司的高级主管认为:“我们完全没有必要使用外汇远期,因为我们预期未来汇率.上升和下降的机会几乎是均等的,使用外汇远期并不能为我们带来任何收益。”请对此说法加以评论。
他的说法是不对的。首先应该明确,期货(或远期)合约并不能保证其投资者未来一定盈利,但投资者通过期货(或远期)合约获得了确定的未来买卖价格,消除了因价格波动带来的风险。本例中,汇率的变动是影响公司跨国贸易成本的重要因素,是跨国贸易所面临的主要风险之- -,汇率的频繁变动显然不利于公司长期稳定运营(即使汇率,上升与下降的概率相等);而通过买卖外汇远期(期货),跨国公司就可以消除因汇率波动而带来的风险,锁定了成本,从而稳定了公司的经营。
3.有时期货的空头方会拥有一些权利,可以决定交割的地点、交割的时间以及用何种资产进行交割等。那么,这些权利是会增加还是减少期货的价格?请解释原因。
这些赋予期货空方的权利使得期货合约对空方更具吸引力,而对多方吸引力减弱。因此,这种权利将会降低期货价格。
4.“当一份期货合约在交易所交易时,会使得未平仓合约总数有以下三种变化的可能:增加一-份,减少一份,或者不变。”这一观点正确吗?请解释。
这一观点是正确的,- -份合约在交易所交易时,买卖双方各自的情况和交易结果如下:
1) 如果交易双方都是开立- 份新的合约,则未平仓数增加一-份;
2)如果交易双方都是结清已有的期货头寸,则未平仓数减少一份:
3)如果一方是开立一份新的合约,而另一方是结清已有的期货头寸,则未平仓数不变。
5、试述期货交易所通过哪些制度设计来实现对信用风险的规避。
交易所用以规避信用风险的制度设计主要有以下三点:
1)保证金制度与每日盯市结算制度期货的买卖双方需在经纪公司开设保证金账户,同时经纪公司也被要求在清算机构中开设保证金账户。期货交易在每日盯市结算制度下每日结清,从而保证了严格的无负债运行。
2) 每日价格波动限制与交易中止规则交易所通过对每日价格的波动幅度进行限制,以及价格波动过于激烈时的熔断机制,缓解了突发事件和过度投机对市场造成的冲击,从而降低了信用风险。
3) 会员之间的连带清偿责任清算机构通常规定,所有会员必须对其他会员的清算责任负无限连带的清偿责任。由于期货是零和游戏,这一-规定极小化的违约风险。
7.假设甲签订了一份远期外汇合约,而乙则签订了一份外汇期货合约,两份合约均规定在3个月后以14万美元买人10万欧元。当前欧元汇率为1. 4000。如果在合约期的前两个月欧元巨幅贬值,然后在第三个月回升,最终以1.4300的价格收盘,两者的财务状况有何区别?如果在合约期的前两个月欧元升值,然后在第三个月暴跌,最终以1. 3300的价格收盘,二者的财务状况又会有何区别?
当以1.4300 收盘时:
盈亏: (1.4300- 1.4) *100000=3000美元
由于期货市场的保证金制度与每日盯市结算制度,前两个月的巨跌造成投资人乙大量亏损,必须不断地追加保证金以维持保证金水平。投资人甲的盈亏水平不受期间价格涨跌的影响。
当以1.3300 收盘时:
盈亏:(1.3300-1.4)*100000=7000美元
前两个月升值使投资人乙保证金账户出现盈余,第三个月暴跌时,若保证金水平低于最低维持保证金水平,投资者要追加保证金。投资 人甲的盈亏水平同样不受期间价格涨跌的影响。
总之,期货和远期不能简单地说孰优孰劣。但期货对短期趋势判断的要求较高,如果短时间内判断错误,可能要不断补交保证金甚至被迫出局:但如果短时间内判断正确,则可以获利颇丰。
第三章
远期价值是指远期合约本身的价值,它取决于远期价格与交割价格的差距。
远期价格是指使远期合约价值为零的交割价格。
期货价格(futures prices)为使得期货合约价值为零的理论交割价格。
三、基本的假设与符号
(一)基本的假设:为分析简便起见,本章的分析是建立在如下假设前提下的:
(1)没有交易费用和税收。
(2)市场参与者能以相同的无风险利率借人和贷出资金。
(3)没有违约风险。
(4)允许现货卖空。
(5)当套利机会出现时,市场参与者将参与套利活动,从而使套利机会消失。
(6)期货合约的保证金账户支付同样的无风险利率。这意味着任何人均可不花成本地取得远期和期货的多头和空头地位。
(二)符号
本章将要用到的符号主要有:
T:远期和期货合约的到期时刻。
t:远期和期货合约到期前的某一时刻。T"-t代表远期和期货合约中以年为单位的距离到期的剩余时间。
S:远期(期货)标的资产在时间1时的价格。

编辑切换为居中
添加图片注释,不超过 140 字(可选)

编辑切换为居中
添加图片注释,不超过 140 字(可选)
2、假设一种无红利支付的股票目前的市价为20元,利率期限结构平坦。无风险连续复利年利率为10%,市场上该股票的3个月远期价格为23元,请问应如何进行套利?若该股票1个月后和2个月后每股将分别派发红利1 元和0.8元,是否存在套利空间?若有,应.如何进行套利?

编辑切换为居中
添加图片注释,不超过 140 字(可选)

编辑切换为居中
添加图片注释,不超过 140 字(可选)

编辑切换为居中
添加图片注释,不超过 140 字(可选)

编辑切换为居中
添加图片注释,不超过 140 字(可选)

编辑切换为居中
添加图片注释,不超过 140 字(可选)

编辑切换为居中
添加图片注释,不超过 140 字(可选)
第四章
多头套期保值也称买人套期保值。即通过进人远期或期货市场的多头对现货市场进行套期保值。很显然,担心价格上涨的投资者会运用多头套期保值的策略,这类投资者包括计划在未来时刻买人标的资产的投资者或是已经卖空资产的投资者,其主要目的是锁定未来买人价格。
空头套翔保值也称卖出套期保值。即通过进人远期或期货市场的空头对现货市场进行套期保值。很显然,担心价格下跌的投资者会运用空头套期保值的策略,这类投资者包括持有现货资产多头的投资者,其主要目的是锁定未来卖出价格。
基 差 (b a s is ) ,是指特定时刻需要进行套期保值的现货价格与用以进行套期呆值的期货价格之差,用公式可以表示为:b=H-G
式中:b是特定时刻的基差:
H是需姜进行赛期保值的现货价格;
G是用以进行赛期保值的期货价格
数量风险指投资者事先无法确知需要套期保值的标的资产规模或期货合约的标准数量规定无法完全对冲现货的价格风险.
套期保值比率(hedge ratio ),是指用于套期保值的资产 (如远期和期货)头寸对被套期
保值的资产头寸的比率,即: 套期保值资产头寸数量/被套期保值资产头寸数量 .
最优套期保值比率就是使得套期保值组合的价值变动对被套期保值的资产价值的变化敏感性为零的套期保值比率,也就是完全消除了现货资产价值变动带来的风险的套期保值比率,即使得:

添加图片注释,不超过 140 字(可选)
的套期保值比率
最小方差套期保值比率,就是指套期保值的目标是使得整个套期保值组合收益的波动最小化的套期保值比率,具体体现为套期保值收益的方差最小化。
1.远期和期货的三大运用为:套期保值、套利和投机。
2.套期保值主要包括多头套期保值和空头套期保值两种。
3.现实世界中,由于存在基差风险和数量风险,往往无法完全对冲价格风险,因此,通常存在的是不完美的套期保值。
4.运用远期(期货)进行套期保值的时候,需要考虑以下四个问题:
①选择远期(期货)合约的种类;
②选择远期(期货)合约的到期日;
③选择远期(期货)的头寸方向,即多头还是空头;
④ 确定远期(期货)合约的交易数量。

编辑切换为居中
添加图片注释,不超过 140 字(可选)
6.远期(期货)之所以成为良好的投机途径,是因为其进人成本低,具有高杠杆效应。
1.在什么情况卞进行多头套期保值或空头套期保值更合适?
在以下两种情况下可运用空头套期保值:
①公司拥有一-项资产并计划在未来售出这项资产;
②公司目前并不拥有这项资产,但在未来将得到并想出售。
在以下两种情况下可运用多头套期保值:
公司计划在未来买入一项资产;②公司用于对冲已有的空头头寸。
2.请说明产生基差风险的情况,并解释“如果不存在基差风险,最小方差套期保值比率总为1”的观点。
当期货标的资产与需要套期保值的资产不是同一种资产,或者期货的到期日
与需要套期保值的日期不一-致时,会产生基差风险。
题中所述观点正确。
假设套期保值比率为n, 则组合的价值变化为
=(H0- H1)+n(G1-G0).
当不存在基差风险时,H1=G1。 代入公式(4.3) 可得,n=1。
3.“ 如果最小方差套期保值比率为1, 则这个套期保值一定是完美的。”这一观点正确吗?请解释原因。

编辑切换为居中
添加图片注释,不超过 140 字(可选)
4.请解释完美套期保值的含义,并回答:“完美的套期保值的结果就- -定比不完美的套期保值好吗?”
完美的套期保值是指能够完全消除价格风险的套期保值。完美的套期保值能比不完美的套期保值得到更为确定的套期保值收益,但其结果并不一定会总比不完美的套期保值好。例如,- -家公司对其持有的项资产进行套期保值,假设资产的价格呈现上升趋势。此时,完美的套期保值完全抵消了现货市场上资产价格上升所带来的收益;而不完美的套期保值有可能仅仅部分抵消了现货市场上的收益,所以不完美的套期保值有可能产生更好的结果。
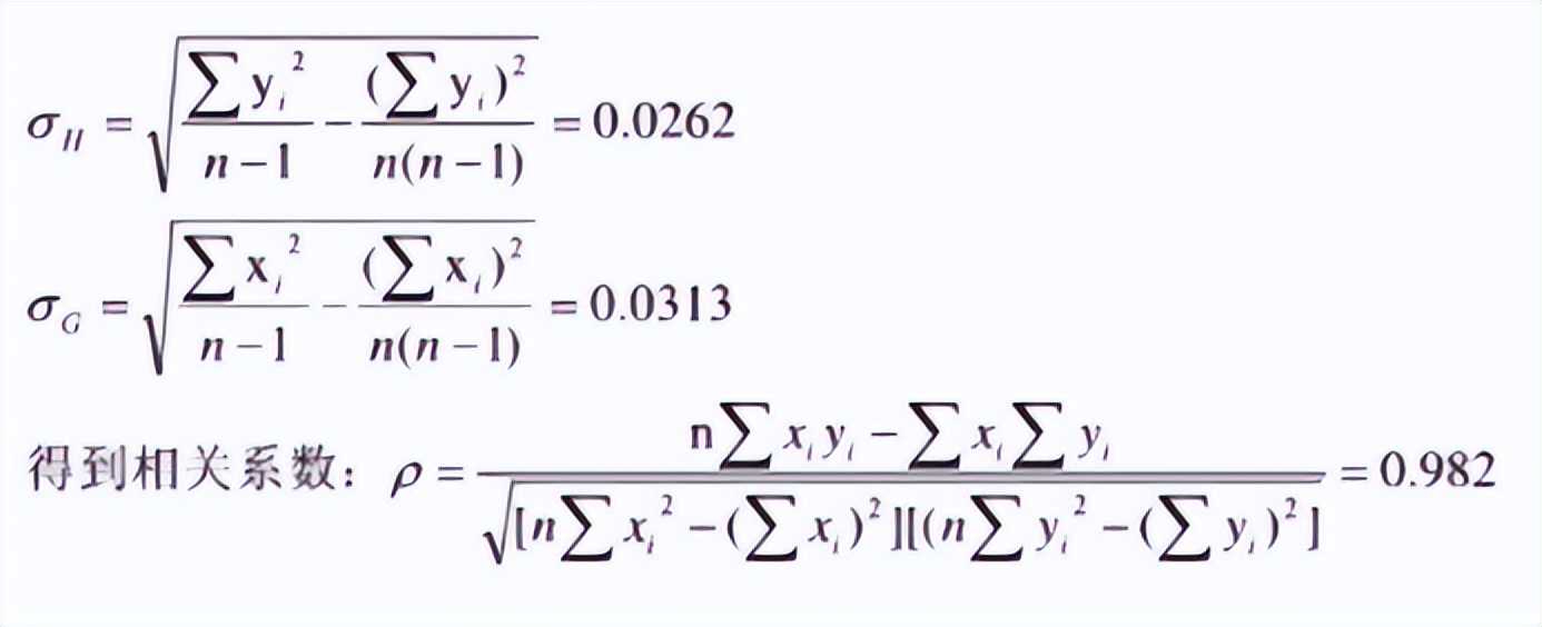
! 5.某航空公司预计在1个月后需要购买200万加仑的飞机燃料油并决定用取暖油( heating oil)期货来进行对冲,一份期货合约规模为42000加仑。假设飞机燃料每加仑油价变化为AH,用于对冲的取暖油期货价格变化为△G。为了估计最小方差套期保值比率,获取15个样本数据,将第i个△H和△G的观察值分别记为y;和x;,样本数据显示,
请问最优套期保值数量是多少?

编辑切换为居中
添加图片注释,不超过 140 字(可选)
方法一:

编辑切换为居中
添加图片注释,不超过 140 字(可选)

编辑
添加图片注释,不超过 140 字(可选)

编辑切换为居中
添加图片注释,不超过 140 字(可选)
! 6.假设某投资公司有20000000美元的股票组合,他想运用标准普尔500指数期货合
约在未来一个月对该组合进行套期保值。假设目前指数为1 080。股票组合收益率的月标
准差为1.8,标准普尔500指数期货收益率的月标准差为0.9,两者间的相关系数为0.6。问
如何进行套期保值操作?
最优套期保值比率为:

编辑
添加图片注释,不超过 140 字(可选)
应持有的标准普尔500指数期货合约空头的份数为:1.2*20,000,000/250*1080=89份
7.假设投资者A于2011年10月10日进行中国金融期货交易所的沪深300指数期货
交易,开仓买进10月沪深300指数期货合约2手,均价2600.0点。假设初始保证金和维持
保证金比例均为12%, 请问:该投资者需提交多少保证金?
该投资者需提交的保证金为: 2 x 2600.0x 300x 12% = 187,200 (元)
! 8.请按照案例4.4的格式根据实际市场数据计算10月11日和10月12日两天的损益
情况。如果投机者的行为被禁止,将会对期货市场的套期保值交易产生怎样的影响?
由中金所网站查询到IF1110合约于2011年10月10日至12日三天的结算价格,于是,该投资者这三天的损益情况如下表所示:

编辑切换为居中
添加图片注释,不超过 140 字(可选)

编辑切换为居中
添加图片注释,不超过 140 字(可选)
期货交易为套保者提供了风险规避的手段,然而,这种规避仅仅是对风险进行转移,而无法消灭风险。正是由于投机者的存在,才为套保者提供了风险转移的载体,才为期货市场提供了充分的流动性。一旦市场上没有了投机者,套保者将很难找到交易对手,风险无法转嫁,市场的流动性将大打折扣。
9.在2015年股灾中,中国的股指期货受到很大的冲击,监管层几乎暂停了股指期货的正常运行,使其在3个月内成交量下跌99%。事实上,美国和日本的股指期货也曾经遭到过严重的批评。请查找相关历史资料及其之后的市场变迁情况,在对比后谈谈作为专业人土,你是如何看待这个问题的。
1.由于只需缴纳较少的保证金就可进行交易,交易成本很低,加上可做多做空,全世界所有资产基本都呈现期货价格比现货价格更快反映信息的特征,但这并不意味着是期货价格引起现货价格的变化。引起价格变化的本质是市场基本面/风险偏好/市场情绪等的影响,期货价格并不是价格变化的原因。
2.有一种观点认为股指期货是恶意做空者操纵现货的便利工具,导致了2015 年的股灾。这样的指控至今未有实际证据支持,实际上操纵指数难度极大,连具有资金、政策优势的国家队都没有做到。而且在股指期货的制度*特中**别针对防操纵进行了设计。
3.做空获利并不意味着这就是恶意做空。做空是期货市场赋予投资者的权利,只| 要没有发布虚假消息和操纵市场,即使从做空中获利,这也不违反法律和市场规则。事实上,只有可以做空的市场,才能充分反映和消化市场信息,真正做到定价合理,发挥有效的资源配置功能。
4.认为中国目前还不适合引入杠杆工具。实际上,股指期货是重要的风险管理工具,一个有风险的市场,应该给予投资者合理的风险管理工具,才能降低风险,促进市场的稳健发展。
第五章
多头套期保值也称买人套期保值。即通过进人远期或期货市场的多头对现货市场进行套期保值。很显然,担心价格上涨的投资者会运用多头套期保值的策略,这类投资者包括计划在未来时刻买人标的资产的投资者或是已经卖空资产的投资者,其主要目的是锁定未来买人价格。
空头套翔保值也称卖出套期保值。即通过进人远期或期货市场的空头对现货市场进行套期保值。很显然,担心价格下跌的投资者会运用空头套期保值的策略,这类投资者包括持有现货资产多头的投资者,其主要目的是锁定未来卖出价格。
基 差 (b a s is ) ,是指特定时刻需要进行套期保值的现货价格与用以进行套期呆值的期货价格之差,用公式可以表示为:b=H-G
式中:b是特定时刻的基差:
H是需姜进行赛期保值的现货价格;
G是用以进行赛期保值的期货价格
数量风险指投资者事先无法确知需要套期保值的标的资产规模或期货合约的标准数量规定无法完全对冲现货的价格风险.
套期保值比率(hedge ratio ),是指用于套期保值的资产 (如远期和期货)头寸对被套期
保值的资产头寸的比率,即: 套期保值资产头寸数量/被套期保值资产头寸数量 .
最优套期保值比率就是使得套期保值组合的价值变动对被套期保值的资产价值的变化敏感性为零的套期保值比率,也就是完全消除了现货资产价值变动带来的风险的套期保值比率,即使得:

添加图片注释,不超过 140 字(可选)
的套期保值比率
最小方差套期保值比率,就是指套期保值的目标是使得整个套期保值组合收益的波动最小化的套期保值比率,具体体现为套期保值收益的方差最小化。

编辑切换为居中
添加图片注释,不超过 140 字(可选)

编辑切换为居中
添加图片注释,不超过 140 字(可选)
利率期货是指以利率敏感证券作为标的资产的期货合约。
标准券是一种虚拟的国债,按中金所的规定,其息票率为3%(—年计一次复利),在交割月首日的剩余期限为5年整。
1.股指期货的价格为F=Sl(-0(5-),而在CME交易的以美元标价的日经225指数期货无法使用此式进行定价。
2.指数套利常常需要对多种股票进行打包交易,因此往往需借助计算机程序来自动完成交易指令,这种由计算机进行的打包交易就称为程序交易。
3.股指期货套期保值管理的是股票市场的系统性风险,另外股指期货的套期保值操作中大多存在交叉套期保值的现象。
4.当满足以下两个条件时,β系数才能作为股指期货最小方差套期保值比率的一个良好近似:①被套期保值的股票组合与市场指数rn之间的β系数等于股票组合与股指期货之间的β系数;②所采用的β系数等于套期保值期间真实的β系数。
5.投资者可以根据自身的预期和特定的需求,利用股指期货改变股票投资组合的β系数。
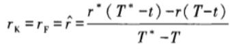
6.远期外汇协议( FXA)的远期价值为

编辑
添加图片注释,不超过 140 字(可选)
,远期汇率为

编辑
添加图片注释,不超过 140 字(可选)
7.远期利率协议通常为现金结算,这种交制方法无须协议双方真实交换本金。远期利率协议多头的价值为:
为使远期利率协议价值为零,合同利率应等于:
8.欧洲美元期货的报价是以“100-期货利率”给出的,市场称之为IMM指数(IMMindex)c
9.国债期货中含有择券期权和择时期权,因此定价较为复杂。
10.久期(duration)是利率敏感性资产价格变动的百分比对到期收益率变动的一阶敏感性,公式为:
11.匹配并对冲组合中的货币久期,是久期套期保值的本质。.
! 12.基于久期的最优套期保值数量为:
1.某基金公司拥有一个系数为2.2、价值为1 亿元的A股投资组合,1个月期的沪深300指数期货价格为2500点。请问该公司应如何应用沪深300指数期货为投资组合进行套期保值?会达到怎样的效果?如果该基金公司希望将系统性风险降为原来的一半,应如何操作?
(1)该公司持有投资组合,欲进行套期保值,期指空头;
份。
(2)目标的贝塔系数为1.1, 合约乘数为300, 交易合约数量为:

编辑
添加图片注释,不超过 140 字(可选)
即交易期指空头147份。