
作者 | 中国人民银行高级研究员 邹平座
一、价值的本质
没有一种理论象价值理论这样复杂,也没有一个概念象"价值"这个名词概念这样难以定论[1]。就是因为它与所有人都息息相关,对所有人都很重要。人们都似乎懂它,又似乎不明白。就是因为,价值观对于每个人都是不一样的,即使是同一个人在不同时间和空间也是不一样的。而这些不一样的价值观是真实的存在,是价值的一部分。这种千差万别的特点正是价值的本质。价值就是所有人价值观的集合。对这个概念的认知就是要尊重所有人的想法。所有的价值理论都是有意义的,代表不同人的价值取向,是我们研究价值理论的一个分支,是价值理论的组成部分。
虽然所有人的价值是不一样的,但是对于所有人的价值观有一个共性:价值是对每个人有用的东西,是对人的有用性[2]。这正是价值唯一"共识"的概念。不同的是,研究价值的方*论法**和研究的目的和意义[3]。
从广义信息来讲,人的世界是人接收信息[4]的总和。价值的定义是:价值是指对人有用的信息的集合。信息有广义信息和狭义信息之分。广义信息是指人对客观世界中各种事物的运动状态和变化的反映,是客观事物之间相互联系和相互作用的表征,表现的是客观事物运动状态和变化的实质内容。这种信息,就人的世界的定义而言,就是人的世界的全部。因为从认识相对论的角度讲,人的世界就是基于人的感觉系统的一切客观存在,就是人接收的(在无限时间与空间)信息的总和。而本原世界是完全不依赖于人的感觉系统的存在,也叫"原宇宙"[5],原宇宙是"神"的世界。
在广义的信息世界中,存在无数的狭义信息定义及其信息世界。美国著名物理化学家吉布斯(Josiah Willard Gibbs)创立了向量分析并将其引入数学物理中,使事件的不确定性和偶然性研究找到了一个全新的角度,从而使人类在科学把握信息的意义上迈出了第一步。他认为“熵”是一个关于物理系统信息不足的量度。电子学家、计算机科学家认为“信息是电子线路中传输的以信号作为载体的内容”。我国著名的信息学专家钟义信教授认为“信息是事物存在方式或运动状态,以这种方式或状态直接或间接的表述”。美国信息管理专家霍顿(F.W.Horton)给信息下的定义是:“信息是为了满足用户决策的需要而经过加工处理的数据。”简单地说,信息是经过加工的数据,或者说,信息是数据处理的结果。
价值的本质是对人有用的信息的集合。而这种“有用性”是能被人所反映出来的,就像是作用力与反作用力一样。这种价值是与“广义信息”概念相对应的“广义价值”概念。广义价值概念与理论中,也存在众多的平行的价值观和相对应的理论,它们都是广义价值的重要的组成部分。广义价值的主体是人的价值,而不是商品的价值,使价值归于“人本位”,这种归位意义重大,而且使价值的计量、研究变得简单而精准。相对无数商品世界而言,人的价值更加简单,人的价值是“价值原子”[6]。
在此,我们有必要对传统价值理论进行综述和学习,从而使进一步的研究有更多的思想和技术的支持,这些研究成果都是价值理论宝库中的瑰宝,是巨人的肩膀,也是价值理论的重要组成部分和基石。
(1)马克思的劳动价值理论是在古典政治经济学论证的基础上通过批判而发展起来的。包括以下主要原理[7]:抽象劳动创造价值的原理。马克思在他首创的劳动二重性学说中阐明了这一原理。指出抽象劳动是形成价值的实体,是商品经济中社会劳动的存在形式。它反映着商品生产所特有的社会生产关系。价值是通过物与物的形式表现出来的人与人的关系。社会必要劳动时间决定价值量的原理。商品价值是由社会必要劳动时间决定的。而社会必要劳动时间,是“在现有的社会正常的生产条件下,在社会平均的劳动熟练程度和劳动强度下制造某种使用价值[8]所需要的劳动时间”。
研究发现,把价值抽象到劳动时间上具有重要意义,使得千百万化的价值属性变得简单化,可计量。但是,价值函数在生产、消费之间是连续的,人消费的时候也创造价值。马克思劳动价值论是研究劳动的价值,而不是价值全部。但是,价值这种对人的有用的信息是通过单位时间的生命质量来计量的。后面我们研究的“价值温度计”系统可以说是发展了马克思的劳动价值论。而时间价值向消费函数的拓展,使劳动价值论与效用价值论统一起来,并且函数形式主变量仍然是时间。这个发现在价值理论历史上具有重要意义[9]。
(2)效用价值论(utility theory of value)[10]以物品满足人的欲望的能力或人对物品效用的主观心理评价解释价值及其形成过程的经济理论。在19世纪60年代前主要表现为一般效用论,自19世纪70年代后主要表现为边际效用论[11]。
效用价值论在17~18世纪上半期经济学著作中有了明确的表述和充分的发挥。英国早期经济学家N.巴本(1640~1698)是最早明确表述效用价值观点的思想家之一。他指出,一切物品的价值都来自它们的效用;无用之物,便无价值;物品效用在于满足需求;一切物品能满足人类天生的肉体和精神欲望,才成为有用的东西,从而才有价值。意大利经济学家F.加利亚尼(1728~1787)是最初提出效用价值观点的人之一。他指出,价值是物品同需求的比率,价值取决于交换当事人对商品效用的估价,或者说,由效用和物品稀少性决定。
效用价值论在18世纪下半期和19世纪初期处于踏步不前状态。产业革命的实现和社会生产力的大发展,为古典经济学建立劳动价值论和以它为基础的理论体系创造了客观前提。英国古典经济学的代表A.斯密和D.李嘉图在阐述劳动价值论过程中,对效用价值论作了有力的批判。在这一时期,尽管还有一些经济学家,如英国的罗德戴尔伯爵(1759~1839)和法国的J.-B.萨伊,仍然坚持效用价值观点,但他们并没有给这种理论增添新内容。
19世纪30年代后,在对抗古典经济学劳动价值论的背景下,逐渐出现了边际效用价值论。英国经济学家W.F.劳埃德 (1795~1852) 是这一理论的直接先驱者之一。他在1833年指出,商品价值只表示商品的效用,不表示商品某种内在的性质;价值取决于人的欲望以及人对物品的估价;人的欲望和估价会随物品数量的变动而变化,并在被满足和不被满足的欲望之间的边际上表现出来。他实际上区分了总效用和边际效用这两个概念,而且暗示物品价值取决于边际效用。与此同时,爱尔兰经济学家 M.朗菲尔德 (1802~1884)也发表了类似观点。他指出,物品市场价格总是由能够引起实际购买的最低程度需求强度来调节的。
德国经济学家H.H.戈森(1810~1858)是边际效用论的主要先驱者。他在《论人类交换规律的发展及由此而引起的人类行为规范》(1854)中,重申了效用价值论,同时提出了满足需求的三条定理(后来被称为“戈森定理”),从而为边际效用价值论奠定了理论基础。这三条定理是:①效用递减定理,即随着物品占有量的增加,人的欲望或物品的效用是递减的。②边际效用相等定理,即在物品有限条件下,为使人的欲望得到最大限度满足,务必将这些物品在各种欲望之间作适当分配,使人的各种欲望被满足的程度相等。③在原有欲望已被满足的条件下,要取得更多享乐量,只有发现新享乐或扩充旧享乐。
边际效用价值论完成于 19世纪 70年代初。1871年,英国经济学家W.S.杰文斯在其《政治经济学理论》中提出了“最后效用程度”价值论;同年,奥地利经济学家C.门格尔在其《国民经济学原理》(1871)中提出了类似的理论;1874年,法国经济学家L.瓦尔拉斯在其《纯粹经济学纲要》(1874~1877)中,提出了“稀少性”价值论。这三人各自独立地提出了自己的理论,他们同是边际效用价值论的创始人。
19世纪80~90年代,边际效用论的发展形成为两个支流,一是以奥地利学派为代表的心理学派,一是以洛桑学派为代表的数理学派。奥地利学派以门格尔和他的两个继承者F.von维塞尔和E.von柏姆-巴维克为代表。洛桑学派以瓦尔拉斯和他的继承者V.帕累托为代表。杰文斯和洛桑学派一起通常被看作数理经济学派的代表。
效用价值论通过数量技术和边际效用技术测量人的价值是有重要意义的。但是它的研究对象是商品的价值而不是价值本身。价值理论必须是研究“对人的有用性”和“人的有用性”,这是一种作用与反作用力,双方是相等。效用价值论对价值的定义域和主观性方面的局限性是历史性的。沿着这条路径结合时间价值理论,我们又发现了它通往马克思的方向,但是它们共同走进了“商品价值论”,而不是价值理论本身的研究。
(3)斯拉法[12]价值理论。价格不是由劳动价值决定的,而是“生产的社会技术条件”决定的。从总体上讲,斯拉法借鉴了D.李嘉图的“谷物模型”方法,即利润或剩余分配的决定和商品价格的决定是通过相同的机制同时进行的。也因为如此,斯拉法用利润率而不是用工资作为自变量来处理。在斯拉法看来,利润率(或均衡时的利息率)变动是与生产技术选择相联系的。
斯拉法提出了“资本价值论”,实际上是把人的"价值存量”的属性与增值能力作为研究商品价值的依据是对劳动价值论与效用价值论的发展。就时点来讲,每个人价值流量等于0,人的价值就是表现为一个余额,这个余额就是每个人的资本,人的价值增长能力取决于这个存量,所以,对人来讲积累很重要。而人的价值流量取决于存量函数的导数的变化。资本价值论在无意识中逼进了价值本身。但是,斯拉法的研究却走向了商品价值。
(4)德布鲁价值理论。德布鲁[13]在《价值理论》中,以集合论和凸性分析作为主要的公理化分析手段,彻底摆脱了一般均衡理论主要运用代数和方程的传统,以集合理论和凸性分析构造了他全新的一般均衡理论大厦,从而与从亚当·斯密、瓦尔拉斯以来的一般均衡理论相区别,实现了一般均衡理论的整体时代飞跃。
德布鲁对于价值空间理论的研究具有重要的意义。价值必须在不同的空间进行切割分析。人的价值在市场空间、社会空间和自然空间的性质和数量是不同的,但也是连续的和统一的。即使在同一个市场空间又存在各种不同的价值空间,价值观的差异无所不在。德布鲁用几何方法分析价值使价值理论形象化、具体化,不仅是一种简单的技术创新,而是重要的理论创新,他使我们明白,价值是一种立体的多维的对象。
(5)罗默模型的知识技术价值理论。罗默[14]在1986年《收益递增经济增长模型》中提出了自己的内生经济增长模型,他认为知识和技术研发是经济增长的源泉。罗默的模型具有代表性的是20世纪90年代引入人力资本后的内生增长模型。在模型中,他将社会生产划分为研究部门,中间品生产部门和最终生产部门。罗默的模型较为系统地分析了知识与技术对经济增长的作用,他突出了研究与开发对经济增长的贡献是有其实际价值,这与事实相符。但是其存在的主要缺陷是没有研究初始的人力资本状况和对人力资本总量的不变的假定。
罗默的知识溢出模型,在引起广泛关注并重新焕发人们对增长问题兴趣的经典论文罗默(1986)中,罗默以阿罗(1962)的“干中学”概念为基础上,提出了以知识生产和知识溢出为基础的知识溢出模型。罗默(1986)假定代表性厂商的产出是该厂商的知识水平 、其它有形投入(例如物质资本和原始劳动等)和总知识存量K的函数。对于个别厂商的自身投入 和而言,该生产函数表现出不变规模收益、满足新古典生产函数的假定。
然而,如果将K考虑在内,则这一生产函数对于代表性厂商和整个经济具有不同的含义:代表性厂商将总知识水平K视为给定的变量,因此生产函数表现为不变规模收益;但对整个经济(假定它由N个同质的厂商组成)而言,由于知识具有溢出效应,因此生产函数表现为规模收益递增。在这里,总知识水平K成为外部性的来源。此外,罗默(1986)还假定k的增长率取决于k水平和投资数额(产出中没有用于消费的部分)。这样,罗默模型实际上同“干中学”模型一样,通过知识积累的“副产品”性质和知识存量的外部性得到了内生增长。
罗黙的知识内生价值理论与斯拉法的资本价值论相互补充,它强调价值流量的重要性,劳动者的技术比资本重要。就人的价值本身来讲,它们一个是人的价值存量,一个是属于人的价值流量,在时点上,一个强调余额,一个强调价值函数的导数。罗黙比斯拉法更为人性比,更加接近价值本身。
(6)熊彼特[15]创新价值论。人们对创新概念的理解最早主要是从技术与经济相结合的角度,探讨技术创新在经济发展过程中的作用,主要代表人物是现代创新理论的提出者约瑟夫·熊彼特。独具特色的创新理论奠定了熊彼特在经济思想发展史研究领域的独特地位,也成为他经济思想发展史研究的主要成就。熊彼特认为,先有发明,后有创新;发明是新工具或新方法的发现,而创新是新工具或新方法的应用。“只要发明还没有得到实际上的应用,那么在经济上就是不起作用的。”因为新工具或新方法的使用在经济发展中起到作用,最重要的含义就是能够创造出新的价值。
(7)瓦尔拉斯数学化的科学价值理论。瓦尔拉斯是边际效用价值论的创建人之一。他把边际效用称为“稀少性”,并在经济学中使用了数学,研究了使一切市场(不是一种商品的市场,而是所有商品的市场)都处于供求相等状态的均衡,即一般均衡,成为西方数理经济学和一般均衡理论的创建者和主要代表。他的一般均衡分析方法被西方经济学所普遍使用。他把自由竞争的资本主义看作最理想的制度,但也主张国家根据正义原则干预经济。 瓦尔拉斯是三个边际革命的领导人之一,即使他的著作Elements of Pure Economics (1874)是在杰文斯和门格尔宣扬他们的边际主义思想三年后发表的。瓦尔拉斯曾经被约瑟夫·熊彼特认为是“所有经济学家当中最伟大的一位”。
在洛桑学院,瓦尔拉斯开始自学微积分,发展了边际效用的数学理论。1873年,瓦尔拉斯发表论文《交换的数学理论原理》。在瓦尔拉之前,德国经济学家戈森已开始用数学方法研究经济问题,1850年出版的《人类交换诸法则的发展及人类行为的规范》即是用数学方程说明人们享乐法则的。英国经济学家杰文斯也是先于瓦尔拉用数学方法进行经济学研究的,他提出财富、价值、效用等都属于数量概念,可用数学表述。瓦尔拉认为自己 的理论证明了效用与需求之间的正确关系,成就优于杰文斯等人。
1874年瓦尔拉《纯粹政治经济学要义》一书出版。瓦尔拉把经济学分成纯粹经济学、实用经济学和社会经济学三大部分,纯粹经济学是实用经济学和社会经济学的基础。在他看来,“纯粹经济学本质上是在假定的绝对竞争制度下价格规定的理论”,是“社会财富的理论”。纯粹经济学虽然可用一般的语言表述,但必须用数学方*论法**证。它“是一门如同力学和水力学一样的物理——数学的科学”。在这本书中,瓦尔拉斯用代数公式和几何图形对“纯粹经济学”理论作了详细的说明和论证。
瓦尔拉斯的这一理论主要包括边际效用分析和一般均衡分析二部分。瓦尔拉斯同杰文斯及门格尔是边际效用论的首创者。1871年杰文斯的《政治经济学原理》和门格尔的《国民经济学原理》出版,1874年瓦尔拉斯的《纯粹政治经济学要义》出版,标志着边际效用论的形成。它把对社会经济的研究建立在消费者主观心理感觉的基础上,认为商品的价值在于人们的愿望和需要。瓦尔拉分析价值问题时,使用了他父亲在《财富本质和价值起源》一书中提出的“稀少性”一词。他认为价值取决于物品的“稀少性”,即取决于“一个单位商品的消费所满足的最后欲望的强度”。
(8)兰格[16]基于社会行为学的有计划的科学化的价值理论。兰格对经济学理论作出过多方面的重要贡献。他把货币引入均衡理论的分析,认为货币的引入是提供了解经济均衡以及不均衡过程的关键;他把市场机制引入社会主义经济运行的理论模式研究之中,在此基础上,提出了兰格模式,即实现资源合理配置、充分利用高效率增长的经济运行模式。他还把现代科学知识的研究成果应用于社会主义的计划管理活动中,把计划的科学化看成是社会主义经济运行理论的主题,形成了现代的科学计划理论。
兰格的经济理论,对观察和研究社会主义经济关系,探讨现代社会主义经济运行理论都具有十分重要的意义。兰格一生著述颇多,最有影响的有《社会主义经济理论》、《价格弹性和就业》、《经济计量学导论》、《社会主义政治经济学》、《政治经济学》、《最优决策》和《经济控制论导论》等。
(9)基于纳什均衡[17]价值理论。纳什均衡是博弈论中一种解的概念,它是指满足下面性质的策略组合:任何一位玩家在此策略组合下单方面改变自己的策略(其他玩家策略不变)都不会提高自身的收益。
一种基于纳什均衡的集中竞价定价策略系统,其特征在于,包括:依次通信连接的终端设备、内部处理服务器及外部业务服务器;所述内部处理服务器包括:与所述终端设备通信连接的WEB服务器;与所述WEB服务器和所述外部业务服务器通信连接、从所述外部业务服务器获取并存储数据源的数据库服务器;与所述WEB服务器和所述数据库服务器通信连接、对所述数据源进行纳什均衡分析的纳什均衡分析服务器;与所述纳什均衡分析服务器和所述数据库服务器通信连接、对所述数据源进行基于纳什均衡的集中竞价定价策略的集中竞价定价策略服务器。
上述基于纳什均衡的集中竞价定价策略系统,终端设备、内部处理服务器、外部业务服务器之间依次通信连接,所述内部处理服务器包括:与所述终端设备通信连接的WEB服务器;与所述WEB服务器和所述外部业务服务器通信连接、从所述外部业务服务器获取并存储数据源的数据库服务器;与所述WEB服务器和所述数据库服务器通信连接、对所述数据源进行纳什均衡分析的纳什均衡分析服务器;与所述纳什均衡分析服务器和所述数据库服务器通信连接、对所述数据源进行基于纳什均衡的集中竞价定价策略的集中竞价定价策略服务器。其结构简单,且将数据的存储和分析部署在不同的服务器上,避免因一台计算机处理能力有限而限制了竞价定价策略的效率,因而其效率高、性能好,且可以提高集中竞价定价策略的可靠性。
(10)会计均衡价值理论。会计均衡是经济学的基本核算方法,会计价值在投资领域成为价值分析的主流。基于会计核算建立起来的价值理论,有更重要的实践意义。公允价值会计,是指以市场价值或未来现金流量的现值作为资产和负债的主要计量属性的会计模式。随着现代交通和通讯技术的发展,在工业社会中相互分割的市场正在走向世界一体化,以交易价格为基础的传统历史成本计量属性已不再是唯一可靠的信息源。公允价值会计信息由于其高度的相关性,在新世纪及未来的会计计量中将显得越来越重要。
自80年代以来,公允价值得到了日益广泛的应用,正有与历史成本成为两大主要计量属性的趋势,甚至有人认为公允价值计量模式极有可能在21世纪的上半叶成为主流,历史成本计量模式将逐步退出会计的历史舞台。最近几年来,美国财务会计准则委员会(FASB)将公允价值作为初始确认的计量和后续期间重新开始确认(fresh-staxt measurements)的计量所追求的目标。
(11)帕累托[18]改进价值理论。帕累托最优(Pareto Optimality),也称为帕累托效率(Pareto efficiency),是指资源分配的一种理想状态,假定固有的一群人和可分配的资源,从一种分配状态到另一种状态的变化中,在没有使任何人境况变坏的前提下,使得至少一个人变得更好,这就是帕累托改进或帕累托最优化。帕累托最优状态就是不可能再有更多的帕累托改进的余地;换句话说,帕累托改进是达到帕累托最优的路径和方法。帕累托最优是公平与效率的“理想王国”。是由帕累托提出的。
(12)传统广义价值论。提出广义价值论主要有2个方面的代表人物和观点。
从1985年到1999年,蔡继明同志先后发表了《比较利益学说与劳动价值论》、《比较利益学说与广义价值论》、《广义价值论初探》三部学术专著,提出了广义价值论的基本原理。 2001年蔡继明教授又与李仁君合作,出版了专著《广义价值论》。
蔡李两位同志认为,传统的劳动价值论由于只承认劳动是价值的唯一源泉,从而对非劳动要素在价值形成中的作用以及所得到的收入难以作出令人满意的数量分析。新古典价值论虽然对各种生产要素在价值决定中的作用以及功能性分配给出了数量解,但存在循环论证的逻辑矛盾和宣扬阶级调和的辩护性,也受到马克思主义经济学家和新剑桥学派的批评。至于斯拉法的价值论。既不能被马克思主义阵营所接受,也难以融人西方经济学的主流,“上述三种价值理论都是在不同的假设条件下才能成立,因而都只是一种狭义的价值理论。” 它们都将分工与交换作为价值决定的前提,或者说,在价值的决定过程中都没有考虑机会成本对价值决定的作用。因此,需要建立一个反映市场经济一般规律的广义价值论。
张华夏[19]认为,广义的价值概念来自系统(机体)的主体性,广义价值论的创始人是有机哲学家怀特海;波普尔从工具价值观方面发展了广义价值论。系统哲学家们研究了系统论、控制论和自组织理论及其哲学意义之后,提出了自然价值、内在价值和工具价值等概念;生态哲学家则将这些概念运用于生命系统和生态系统。通过上述历史分析,张华夏指出,生命系统的“自我”特性(自我利益、自我目的)是它具有内在价值和工具价值的本体论根源。在此基础上,张华夏提出广义价值的概念及其逻辑表达式,分析了它的逻辑特征,阐述了广义价值论在生态伦理和社会伦理中的理论和现实意义。
(13)价值哲学理论。朱贻庭(伦理学大辞典.上海辞书出版社.2010)提出了基于哲学范畴的价值学说,并且提出了统一价值论的观点,企图用一种逻辑替代所有价值理论,不够成熟,但是,对于我们研究价值有参考意义。他认为价值论(Axiology)是关于社会事物之间价值关系的本质与发展规律的学说。
人对于客观世界的认识分为两大类:一是关于客观世界各种事物的属性与本质及运动规律的认识;二是关于客观世界各种事物对于人类的生存与发展的意义(即价值)的认识。前者就是一般的科学理论,后者就是价值论。价值论是人类的科学理论体系中的重要组成部分。由于“对于人类的生存与发展的意义”本身也是事物的一种特殊属性,因此,价值论也是一种特殊的科学理论。价值关系是一切社会关系的核心内容。人类主体之间所建立的社会关系是多种多样,但最根本的关系是利益关系,尤其是经济利益关系,其它社会关系都是利益关系所派生出来的,并在本质上都是为利益关系服务的。人们之间的利益关系实际上就是一种价值关系,因此,价值关系是人类一切社会关系的基础和核心。
欧洲中世纪的基督教神学,断言上帝是永恒的、超验的存在物,是全智全能全善的。因而上帝具有最高的价值,是一切价值的源泉;只有上帝所愿,才是有价值的。神学只承认宗教信仰的价值、不死灵魂的价值。文艺复兴以来的许多进步思想家,都坚信科学对人类社会的进步具有巨大的价值。例如,F.培根强调"知识就是力量",肯定科学知识对于推进人类福利的价值。B.斯宾诺莎强调一切科学以及道德哲学、教育学对于达到最高的"人生圆满境界"的价值,并把不能促进实现人们目的的东西,一概斥为无用。19世纪,欧洲大陆的一些哲学家,如德国的R.H.洛采(1817~1881)、F.W.尼采、K.R.E.von哈特曼(1842~1906)、W.文德尔班、F.布伦塔诺(1838~1917)等,在广泛的和一般哲学的意义上来理解价值概念,从而产生了现代的所谓价值哲学。
价值哲学是在19世纪末20世纪初形成的。首先明确采用价值哲学这个术语的是法国哲学家P.拉皮埃(1869~1927)和德国哲学家哈特曼,德国的文德尔班、H.李凯尔特,奥地利的 C.von艾伦费斯(1859~1932)、A.迈农,美国的J.杜威、W.M.厄本(1873~1952)、R.B.佩里(1876~1957)、C.I.刘易斯和其他人格主义者、新托马斯主义者,都曾致力于价值哲学的建立和研究。他们认为,诸如愿望、目的、效用、善、正义、德行、道德判断、审美判断、美、真理等等,都同价值或应当是什么有关,因而可以建立起包括经济学、伦理学、法学、美学、认识论甚至神学等领域的价值在内的一般价值理论。他们把这种一般价值理论叫做价值哲学。
价值哲学所讨论的问题,首先是关于价值的性质问题,研究家们提出了各种不同的看法,例如,主张自由意志论的艾伦费斯认为,价值是愿望的满足;享乐主义者认为,价值是快乐;主张价值兴趣说的佩里认为,价值是引起兴趣的任何对象;主张感情价值说的刘易斯认为,价值是以某种方式被享受或可享受的质;J.罗伊斯认为,价值是纯粹理性的意志;尼采认为,价值是有助于提高生活的任何经验;G.桑塔雅那认为,价值是第三本质(一种难以下定义的自然质,是人们所愿望或享受的对象)的理解;人格主义者B.P.鲍恩认为,价值是人格统一体的对照经验;工具主义者杜威认为,价值是事物作为手段对实际地达到的目的的关系,等等。价值哲学的研究者们对价值的分类也提出了种种不同的看法,培里把价值分为道德、宗教、艺术、科学、经济、政治、法律和习惯等 8个领域。
刘易斯把价值区分为 5种形式:①对于某种目的的效用或有用性;②外在的或作为手段的价值;③固有的价值,如一件作品或艺术品的美学价值;④内在的价值,即无论是作为一种目的或是就其本身来说都是好的,这种价值以外在的或作为手段的价值和固有的价值为前提;⑤参与的价值,即对于作为整体的一个部分是好的。 G.H.von莱特区分了工具性的善、技术性的善、功利性的善、享受性的善和福利等等。杜威不赞成目的和手段的区分,强调整体性的价值,认为许多实际东西,诸如健康、知识和德行,在手段和目的两方面都是好的。
对于价值的标准,研究者们也有不同的看法。享乐主义者主张在所得到的快乐的份额中寻求价值标准。直觉主义者如布伦塔诺求之于对爱好、选择的根本洞察。文德尔班认为价值标准是一种理性规范的系统,B.鲍桑葵认为价值标准是理性的全体和融贯。杜威把生物学意义上的生存和调节作为价值的标准。神学家通过神的启示来建立价值标准。
综上初步归纳了(13)个方面有代表性价值学述。实际上,在人类历史上,价值理论浩如烟海,这正是由价值的本质决定的。
张华夏、怀特海和波普尔等人试图从人的世界以外探索广义价值,走入了"本原世界"。从广义信息论和认识相对论的视角看,广义价值就是所有人价值观的集合,其中的“共识点”或者说“不动点”是“人接收的对人的有用的信息的集合”。接下来的任务是如何度量和计算这种"对人有用的信息"。从认识相对论的角度为这种信息建立一个"温度表"式的度量衡系统和价值的发现机制。
这个机制和系统就是基于人的价值的数字货币市场系统。从信息技术与人工智能技术发展的客观情况出发,结合世界贸易和货币史的自然进化,可以架构一个"价值链"[20],技术内容的核心是:人的价值+区块链+纳什均衡算法。把人类的价值活动置入一个科学的程序中和装置中进行标准化的计量和运动。从而提升出人类数字货币的最重要的功能之一:价值的计量与发现功能。使货币成为真正的价值尺度。本书下面的所有工作就是设计和制造这个"机制和科学装置"。在这个过程中,我们将吸收所有人的价值观以及所有价值理论的科学成分。到达这个境界,才是真正完成了价值理论的综述,并且真正找到价值理论的本质的路径。伟大的理论家的聪明之处是向所有人学习。
二、价值空间及其集合逻辑关系和性质
价值是一种对于人的有用性,是人接收的对于人有用的信息的集合。价值在不同的空间有各种不同的表现形态。按照广义信息论的视角,价值空间可以分为人的世界的价值空间和本原世界的价值空间;按照价值的形态,价值空间可以分为市场空间、社会空间和自然空间;每个人都有自己的价值空间,具有共同价值偏好的多个人的集合也构成各自价值空间的集合,如不同的阶层、不同的民族、不同的口味、不同的身体健康状况、不同的地点、不同的国家等等。价值的空间理论为我们科学地研究价值,精准地度量价值创造条件[21]。
1、价值空间的集合空间定位是位于人的世界空间中,分层次由市场空间上升到社会空间和自然空间。
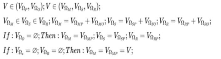
设ΩPUΩo=Ω,且ΩP∩Ωo=0,其中,ΩP为人的世界空间,Ωo为本原世界空间。Ω为空间全集。下面的表述中,分别表述为人空间、原空间、全空间,即人空间+原空间=全空间。全空间是最大集,人空间与原空间没有交集。
设ΩM为市场空间,ΩS为社会空间,ΩR为社会空间,并且存在关系:ΩMUΩS∪ΩR=Ω,即市场空间、社会空间和自然空间的并集为全空间[22],并且存在关系:ΩM∈ΩS∈ΩR∈Ω。
这样,存在逻辑关系: ΩMPUΩMo=ΩM,ΩSPUΩSo=Ω,ΩRPUΩRO=ΩR
2、价值的集合论技术使纷繁复杂的价值现象具体化、几何化,使我们对各种价值的边界更加精准[23]。
设价值集合是一个无限集的开区间上人的价值集合。V∈{VΩP(t1,t2,…tn)}。这个集合具有以下性质:(1)确定性。给定一个价值元素,这个价值元素属于和不属于这个集合是确定的。也就是说,在价值的空间集合中,我们要求明确地界定每一个价值元素,而不是模棱两可。价值集合的这个特点使得后续的研究中的各种价值空间的设计创造了必要条件。(2)价值集合中元素的互异性。任意一个价值集合中,某一元素不能重复出现,如果需要重复出现需要设计价值集合的子集和多重子集。
设集合人的价值V(v1,v2…vn),vi∈V,则,vi∩V=vi;同时,vi≠vj,(i,j)∈n。
在这里价值空间中市场空间、社会空间和自然空间都包含了本原世界的价值,人的价值是一个无限值。但是,在我们放开这个空间之前,我们需要增加约束条件:本原世界的价值空间的价值等于0。
设VΩP为人的世界的价值,VΩo为本原世界的价值,VΩM为市场空间价值,VΩs为社会空间价值,VΩR为自然空间价值;VΩMP为市场空间中人的世界的价值;VΩMo为市场空间中本原世界的价值,VΩsp为社会空间中人的世界的价值,VΩso为社会空间中本原世界的价值,VΩRP为自然空间中人的世界的价值,VΩRo为市场空间中人的世界的价值。
我们得出价值的以下空间关系:

(1)价值在人的世界和本原世界都是存在的,其实我们对本原世界的价值关注甚少。那个人类无法感知的不可知世界到底具有什么价值?有多大的价值呢?千万年来这里都是“神”的领地,现有的各种宗教是这个空间对人类的影射,牠对人类的影响之大,价值之大超乎我们的想象。基督教在几千年的时间跨度上仍然是西方主流价值观。价值的目标和标准很大成份上是来自于上帝。在本文的研究中,我们为“神”保留巨大的空间,因为它是本原世界在人的世界的函数。同时,本原世界除了通过神的通道,也在不断对人类产生一些新的价值。比如很多超人能量和现象。最高超的价值创造者是获得原宇宙的能量,这是可遇而不可求的。
(2)价值空间分为市场空间、社会空间和自然空间。这三个空间符合价值集合的确定性和互异性。三空间价值集合模型为我们解决很多价值难题。比如说爱有很大价值,但是爱是社会空间的。
我们的早期研究假设"原宇宙"中不存在人的价值;并且,在市场空间中也不存在社会空间和自然空间的价值,那么,人在市场空间的价值就等于价值。
这个推断对于我们研究价值理论非常重要。很多人混淆各种价值理论就是因为价值空间的设计上不同而已。例如,把市场空间与社会空间混为一谈,就会混淆市场价值和社会价值,使两个价值都不好求解。
现在,我们的所有问题就是研究市场空间的人的价值,从而求解价值函数,而不是商品的价值。商品价值是人的价值的复合函数[24]。
(3)市场空间价值,主要是产权,属于社会空间的价值,社会空间的价值主要是*权人**范畴,即Vm∩Vs=Vm,VmUVs=Vs;产权是*权人**的一部分。社会空间的价值属于自然空间的一部分,自然空间的价值是生命权,即Vs∩Vr=Vs,VsUVr=Vr,*权人**是生命权的一部分。
(4)我们研究的价值首先从市场空间开始,首先假设本原世界的价值为空集,其次设社会空间和自然空间的价值为空集,使得人的价值等于市场空间的人的世界的价值,即V=Vmp;然后,我们需要逐步放开这些假设,从而求解价值在不同空间的性质和运动规律。Vmp只是人的价值的一小部分,甚至是相对于其他空间极限趋于零的价值,但是人们常常视之为价值的价值的全部[25]。
德布鲁[26]的价值集合论与凸集分析方法,开创性把价值理论提高到一个几何空间的认知,为我们从千差万别的价值世界中找到科学的方*论法**和研究技术。
三、价值函数及其性质
汤姆.齐格弗里德(Tom.Sieggfried)在《纳什博弈论及对自然法则的研究》一书中认为:“使用统计力学方法我们可以找到决定气体宏观行为的相当精确的规律。采用同样的方法,谢顿打算找到人类社会整体行为的一般规律,尽管这种规律不能解释人类的个体行为。”换句话说,正如同分子运动和相互作用决定了气体的温度和压强,只要人数足够多,人与人之间相互作用的诸多规律就能形成可预测的模式。
现今物理学家正在用描述分子的方法来描述人类,测量社会的“温度”。而人的价值计量体系就是需要这个测量价值的“温度计”体系。通过计量统计学的原理和纳什均衡原理,我们研究和设计价值函数并且寻找价值运动的一般规律。他认为:“这么看来要想得知社会的‘温度’,最好的办法就是将社会看成是一个网络。正如温度可以反映气体分子有序的本质,网络数学能够定量描述社会成员之间的紧密程度。”基于信息技术和互联网的大数据、区块链和人工智能的出现,使我们能够设计一个系统,精准地求解价值,从而形成科学的“价值计量学”体系。
设系统中有n个人,P(P1,P2…Pm…Pn),相对应的价值函数定义域为v=f(x){x:x1,…xn),値域为(v:v1,…vn),x为时间座标上对应的价值点,f(x)为每个人的价值。如P1的价值为v1=f(x1),设标准化价值度量衡为v,1v≡某一定点的系统中人的单位小时的均衡价值。简称“微”。这个“微”就是基于“区块链+纳什均衡+人的价值”的数字货币单位。
x是随着时间变化而波动的均衡价值。每个人的价值与某一时点的均衡价值相关,而这个均衡价值又可以与某一定点标准化度量衡相关,并且形成价值“温度计”。这样所有人的价值都可以用Pm→vm=f(x)(v)表示,如我们可以说某甲的价值为100微(vm=100(v))。这个价值链体系及其数字货币市场就是价值的“温度计”。各个国家的货币均可以按照人的价值平价兑换为(v)。商品的价值函数是人的价值的复合函数,y=f(v)。企业、政府等的价值也可以按此法求解。
冯.诺依曼和摩根斯特恩多次提到关于热的理论。比如,他们指出,为了精确地衡量热的办法并没有直接产生热力学理论,因为物理学家首先需要一种理论来理解如何用准确清晰的方法来衡量热。在价值理论方面,他们无意讨论“效用”的各种不同定义之间的微妙差别,这是哲学上的一片沼泽,他们不想冒这个险。在他们看来,如果只是为了经济上的应用而发展博弈论,那么只要简单地把效用和货币等价起来就可以了。在这种假设下,理论就可以集中关注如何获得你想要的东西,而不必陷于如何界定你想要的东西的复杂问题之中。
他们的这种分析方法,对于建立价值函数和价值的计量,很有助益。另一个方面,对人类最重要的正是这种具体化的生动的效用。所有的价值理论基本上忽略了这个方面,直接跳到商品的池子中。离开了人的具体效用去讨论价值滋生“金钱拜物教”。人类在储多研究中最大的漏洞是忽略自身的生存质量与状况,而人的健康、幸福等,才是我们真正需要关心和研究的。博弈论和现代信息技术提供了两者结合的方*论法**,包括区块链、大数据和人工智能等。沿着这个思路,我们设计“价值温度计”,并且建立完整的信息生态系统,使得价值的两个方面都可以求解。
1、价值函数与“价值温度计”的设计与求解
设在市场空间存在三个集合,一是人的集合,空间存在n个人,n个人具有不同的价值函数V,V对应在x轴上有不同时间的自变量Ⅹ(x1,x2…xn)。所有商品的价值和企业的价值等中间变量都是X的复合函数Y。Y(y:y1,y2……yn)y=f(v),v=f(x)。
在此集合空间的基础上,我们建立如下价值函数关系:

价值是万事万物对于人的有用性,是对人的收到的有用的信息的集合。如果我们把这些纷繁复杂的有用的信息影射到一段时间里,并且把这种信息通过时间价值进行量化,就可以简单地找到价值的“温度计”。把这种包含了“有用信息”压缩到一个具体的“时间度”中,单位小时的对人有用的信息,进一步找到一个时间点,设这个时间点的均衡价值为v*,并且这个小时的价值是系统中所有人单位小时价值的加权平均值,v*=1 ,用中文表示为1微。系统中有A、B、C三个人,A在该时点单位小时的工价为200元,B为100元,C为300元,他们各干一个小时,则1 =200元(人民币)。v*随着时间的变动而变动,就是说在不同的时间均衡价值是不一样的,人的价值有一个不断升值的过程,如果衡定在t0点,v0*=1 ,在t1点,v1*=2 ,vn*随着时间变化而增长,v0*是标准度量衡。
那么在系统中,所有人的单位时间的价值都是可以用 来表示,把时间分为质量和数量(也可以描述为时间的高度和长度),那么,一个人的一段时间的价值就是高度×长度形成的长方形,如果这个人的价值是曲线,vm=f(v*),这个人这段时间的价值就是时间积分。不同的的人在同一的时间的价值是不同的,同一个人在不同时间的价值是不同的,但是它们都是可以换算成v0*,都是可以用 作为计量单位,这样我们就通过量标完成了对价值的“温度计”的设计,而且这个试验工作最终将交给市场,v*就是数字货币,并且介入价值计量模型。这个货币就是“价值温度计”。
建立全球性区块链网络系统[27],取代IPV4和IPV6,建立BCV1.0,为每个人开立专属价值账户空间,建立BCV账户,核算人的价值,设计人的价值通证TOP(Token of people),设计通证标准化度量衡系统,以某时点单位小时系统人的价值(微)作为国际标准度量衡,使每个人的价值影射到v0*上,并且形成“人的价值+区块链+纳什算法”的区块链挖矿系统,建立国际标准化数字货币体系,使这种数字货币成为发现价值、管理价值和创造价值的媒介,使货币“复归到价值本位制”[28]形成一个类似于商品市场的人的价值市场空间。
类似于“价值温度计”,通过大数据、人工智能和纳什算法,建立系统化、标准化、科学化、精细化的挖矿系统,这个系统的任务就是发现人的价值、管理人的价值和创造人的价值,并且通过复合函数关系求解商品、企业、政府等“分子和分子团”的价值,最终使每个人的价值、每个商品的价值以及每个政府、团队的价值都能精准求解。这样使复杂的价值世界简单化、精准化和科技化。
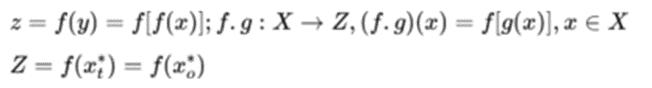
设X、Y、Z是三个非空集合,对于Y与X,如果存在一个法则f是人的价值函数,使得X(时值)中每个元素x,按法则f,在人的价值Y中有唯一确定的元素y与之对应,设x作为时值,也称人的“价值通证”,那么称f为人的价值通证Ⅹ到人的价值Y的映射,记作f:X→Y;
同样设Z为商品、企业等其他人的集合的价值,如果存在一个法则G,并且使人的价值函数的每个人的价值x,按法则G,在Z中都有一个z(商品等)与之对应,那么称G为Y到Z的影射。
人的价值y称为通证x(在影射f下)的像,并记作f(x),商品价值z称为人的价值y(在影射G下)的像,并且记作G(y),即y=f(x),z=G(y),人的价值通证x为人的价值元素y的原像;人的价值y为商品等的价值z的原像。集合X称为映射f的定义域,记作Dx,Y为映射G的定义域,记作Dy。通证集合Ⅹ中所有元素的像所组成的人的价值集合称为价值关系f的值域,这个价值关系是时间价值高度与时间价值长度的关系,是每个人的价值与通证标准化度量衡的关系。记作Rf或f(X),同样存在RG,G(Y)。即Rf=f(Ⅹ)={f(x)|x∈X},RG=G(Y)={G(y)|y∈Y};
x为人的标准化通证,可以通过区块链互联网系统精准求解,那么商品的价值也是可以求解的。人的价值是求解的核心和目标。y=f(x)为主函数。
G:Y1→Z,f:X→Y2,Y2∈Y1,则由影射G和f可以定出一个从X到Z的对应法则,它将每个x∈X映射成G[f(x) ,∈Z。显然构成了人的价值函数到商品价值函数的影射,这个映射称为f和G的复合影射,记作Z。f,即Z。f:X→Z,(z。f)(x)=G[f(x) ,x∈X。人的价值函数的值域必须包含在商品价值函数的定义域中,也就是说商品价值是由人的价值构成的。
设f(x)中各元素为系统中每个人的单位时间的价值,存在一点均衡价值x*,使y=f(x*),每个人的价值是围绕x*波动的变量,并且在区块链中可以挖矿求解。如,设均衡价值x*=5v,某人的价值函数为3x+2,则该人的价值为每小时17v。那么,所有的问题就集中到区块链如何求解x*的问题。设x*是系统中人的价值的加权平均值,每个人都可以发行一定单位的ax*的价值尺度,一旦有人购买,就在系统上生存a个数字货币,并且这种数字货币可以转让与支付。这样,每个人的价值就像体温一样可以测量的。这时Y就是相对于x*的单变量函数,x*是一个随着时间变化的定义域,每个人的价值相对于不同时间的x*存在对应关系f,那么每个人的价值就是存在一个对应的值域。关键是设计一个定点(o)时间的单位小时价值的标准度量衡,使x*t=f(x*o)。
价值是人在单位时间包含的有用的信息,时间是生命的尺度,价值就是指人的有用的时间,它是根据别人对你时间的需求强度。这种有用的信息也叫信用,每个人可以根据自己的信用发行债务(通证)。一个人在一个时点的价值的大小是相对于一个时点中均衡价值的兑换水平,取决于别人对你的需求和购买。在市场空间,每个人的时间都是自身的专属产权,他可以自供自给,也可以转换给他人(一个人可以选择闲暇和劳动、生产和消费,两者都创造价值,有时为自己创造价值比为别人创造价值更大。当边际收益相等时的边际价值,反映人的价值)。人的价值分为价值流量和价值存量,在市场空间存量会表现为各种资产和产权。在社会空间则表现为各种*权人**的集合的结余[29]。
这种平衡关系为建立区块链个人价值核算账户创造了条件。这个账户发现人的价值、管理人的价值、创造人的价值。更多的人在一起就形成了交易系统,并且存在以纳什均衡模式作为算法的数字货币交易系统,这个交易系统就是价值计量的“温度计”。
2、基于有效市场理论的价值函数的区块链+博弈论算法+期权定价算法
在人的价值求解模型和算法中,我们引入区块链的挖矿(信息搜索)技术、博弈论算法和期权定价模型。(1)系统中每个人都有一个区块链账户,在账户中可以买卖自己的“时权”,也可以买卖别人的“时权”,在期权没有行权之前,每个人都在不停地挖掘目标人的信息和发展状况,一旦发现新的“有用的信息”就发布到系统中,使目标人的价值上升,自己可以通过卖出期权取得收益。这里的区块链主要是一种基于源代码的、去中心化的、去信任化的、智能合约的加密分布式账户,每个人都有独立的价值空间。(2)价值链采用纳什均衡算法。账户拥有者凭借博弈论算法计算最优策略,并且决策时权交易的行权时间和买卖时点。通过这种人工智能算法输入个人的价值信息和“元宇宙”价值空间,“出牌”赢者可以获得“时权”。挖矿人以个人价值或是定金[30]获得账户。
这个挖矿过程就是不断挖掘“对人有用的信息”的过程,这个过程是动态博弈论的求解过程。但是对于操作者就是象打牌一样搜索信息并出牌。(3)期权定价算法。系统中所有数字货币(均衡时权)行权以后可以视为“自动消毁”,一方面确保数字货币的质押性,防止泡沫;另一方面确保时权的真实性,并且推动价值管理和创造。所以所有的交易合约应该有时间戳和任务戳信息。期权技术的介入使得人们挖矿有了意义。期权理论的介入强化了系统创造价值的功能,使信息不断充分,也使挖矿过程中价值增长。这是一个十分重要的创新。
根据有效市场理论[31],当系统中的人足够多,从而使信息完全充分的时候,我们就正确地求解了一个人的价值。有效市场理论关于市场有效程度与信息正相关的理论使价值链更加有意义。因为挖矿过程就是为了发现“有用的信息”,使市场效率不断提高。弱式有效市场假说。该假说认为在弱式有效的情况下,市场价格仅充分反应出所有过去历史的证券价格信息。半强式有效市场假说:该假说认为价格已充分反应出所有已公开的有关公司营运前景的信息.这些信息有成交价,成交量,盈利资料,盈利预测值,公司管理状况及其它公开披露的财务信息等.假如投资者能迅速获得这些信息,股价应迅速作出反应。强式有效市场假说:强式有效市场假说认为价格已充分地反应了所有关于公司营运的信息,这些信息包括已公开的或内部未公开的信息。
经过一段时间的研究,我发现2021年和2020年2年诺贝尔经济学奖获得者的研究成果以及他们对博弈论的运用,对我们设计数字货币市场上的“人的价值温度计”提供了美妙的技术组合,这可能是经济科学历史的必然性巧合。据诺贝尔奖官方网站消息,诺贝尔经济学奖于北京时间2020年10月12日17时许正式揭晓,由两位来自美国的经济学家Paul R. Milgrom 和 Robert B获得,获奖理由为“对拍卖理论的改进和发明了新拍卖形式”。北京时间10月11日下午,瑞典皇家科学院公布了2021年诺贝尔经济学奖。其中,加拿大经济学家David Card因“对劳动经济学的实证贡献”获一半奖项,美国经济学家Joshua Angrist和Guido Imbens因“对因果关系分析的方*论法**贡献”获另一半奖项。
用自然实验方法研究的“对劳动经济学的实证贡献”和“对因果关系分析的方*论法**贡献”,这两项研究成果获得诺贝尔经济学奖有2个重要的意义,一是人的价值的研究切肤人类自身利益,变得更加重要;二是经济学研究的方*论法**发生历史性的转变,传统的基于概率论的实证研究正在暴露其自身难以克服的在预测和推理方面的弱点[32]。2020年诺贝尔得主米尔格罗姆的拍卖理论为价值链的研究提供了“纳什算法”的系统性技术。
至此,价值链研发的理论与技术体系初步形成:(1)邹平座的基于广义信息理论科学价值论体系。(邹平座,2019,2020)(2)基于广义信息理论的有效市场理论与技术。(3)认识相对论理论与技术。(邹平座,2004)(4)大卫卡德的劳动经济学和美国经济学家Joshua Angrist和Guido Imbens“对因果关系分析的方*论法**贡献”。(5)纳什均衡。(6)米尔格罗姆的基于信息变化的拍卖理论。(7)传统的和基于价值链发展的期权及其定价理论[33]。
价值的本质是生命的质量,生命是一个人生存的时间的质量与数量。在市场空间中,人的价值可以细分到所有产权的“原子”都是由时间构成的“分子”和“分子团”。人们的分工与合作是通过时间的公平公开公正的时权交换完成的。这样,我们的计算目标就是求解一个人的或者是一群人的“时值”,时值可以是劳动,也可以是娱乐,甚至是共同消费。由这些分工与合作产生各种契约形式的时权支付,这种支付有时有偿的有时是无偿的转移支付(社会空间属性[34])。
一个人的价值有收支双方,这个可以形成区块链分布式账户的收支方,总的空间中,收入=支出,但是各个人不同(人的这种价值差异是价值的本性,也是人类竞争与发展的动力),有的结余就形成了正的价值存量,有的人透支就形成了负的价值存量。所以,我们的算法可以首先集结到一个人“时值”的拍买机制和期权定价。在这拍买过程中,对人有用信息收集就是挖矿过程,挖矿者的信息本身就是产品转移到人的时值上,并且由交易者形成内部和外部的支付。有的支付是合作性支付,有的支付是竞争性支付。这种情况在各种交易结构中完成[35]。
另外,我们还需要为这种交易设计生态化、智能化、信息化的监管规则和机制,从而使博弈双方公平公正公开,使市场更有效率。区块链为这些目标创造了技术条件。“矿工”是指市场参与者形成区块链上的结点,工作目标是发现目标函数的有用的信息,这种有用的信息会改变“时值”,并且形成交易支付。这种按照一定函数和纳什算法挖矿过程就是价值发现、管理和创造的过程。“代表度量衡的标准化时值”就是数字货币,充当价值尺度、交易工具、流通手段、价值贮藏手段、价值管理和创造手段的工具。当交易规则、流程和监管技术完备的条件下,系统就可以科技化运动。关键在于算法[36]的科学性、操作性、效率性和安全性。算法决定系统的质量和生命。按照系统论与控制论思想设计动态化可拓展的算法体系十分重要。
价值是有时效性的,这种时效性具有高度的敏感性。期权理论对时权交易系统有十分重要的作用。价值的发现有一个时间过程,这个过程就是有用的信息不断增加的过程。期权定价本质就是一个信息化的拍买定价过程,商品在行权前的这个过程有用的信息不断增加,交易对手发现了有用信息的标志就是他进行了定价和购买,“有用的信息”是由交易严格定义和计量的[37]。如果介入人工智能,就是关于交易标的的有用信息的搜索过程,在这个过程中,通过信息的不断积累和人的价值的共享性的不断增大,人的价值就会迅速增加,并且形成特殊的函数形式。人类发明期权交易形式的意义远在其初心[38]之上,它实际上会创造巨大的价值。
按照市场有效性理论来讲,这种交易的结果更加逼近于人的真实价值。在实际生活中,人的价值被低估、被埋没、被浪费的现象彼彼皆是。可以说,人的价值被发现的和被实现的部分只有一小部分,这正是经济学的使命。可以说提高人的价值,实现人的价值最大化是经济学、金融学、货币学的根本目标。更进一步讲,价值链理论与技术通过对价值函数向社会空间[39]和自然空间的延伸,对于人类具有更加广泛而深远的影响。
区块链的真正意义在于其建立了分布式的去中心化的去信任化的源代码的账户系统,它为个人的价值计量、管理创造了技术条件。区块链与纳什均衡的结合使区块链成为核算价值的工具。在数字经济时代,原有的以企业为核心的会计核算方法的边界被突破,会计均衡转化为纳什均衡原则。会计记账的借贷记账法也是向纳什均衡记账法进化。纳什均衡记账法表现为按照自然法则,使每个人实现了最优策略的均衡。达到纳什均衡时,系统中的所有人的分配是公平公开的,通过记录一种通证作为人的价值凭证,并且形成均衡。
在市场空间系统中,人“收入的价值=人支出的价值”,这也是一种价值守恒规律。区块链分为公有链、私有链和联盟链,拓宽了区块链在企业、团队和政府的应用。区块链算法由Hash算法进化到Nass算法,是区块链技术的重大进步,因为Nass算法是基于宇宙的自然法则的均衡规律,具有科学的数学逻辑。人们一直在探索区块链[40]与博弈论的意义与作用,区块链的价值刚刚显露头角,博弈论已经有多次诺贝尔经济学奖。到了价值链这里,区块链和博弈论、期权理论的结合,使价值能够计量、核算、管理和创造,建立一个创造价值的市场体系,实现了人类的合作与分工方式的进化,才找到了他们真正的价值和意义,在这种体系中,在区块链领域、期权定价领域、有效市场理论领域还将会有更多的诺贝尔奖级别的研究成果。
如今的人类已经来到了一个十字路口。国家、货币、贸易、互联网霸权集合与美国一身[41],所谓的西方主流理论实际上是美国称霸的逻辑。中国相对独立的理论、货币、金融、贸易、互联网体系无疑挑战了美国霸权地位。新的基于区块链和纳什均衡价值理论,正是按照世界公平原则实施的科学的再分配路径,本次全球大疫情也是对传统的霸权式的价值分配与管理体系的挑战[42]。
3、价值函数的性质及其意义
建立人的价值函数y=f(x),并且在系统中各时点存在一个均衡价值,这个是系统中所有人在某时点的均衡价值,并且存在以下函数关系:在这里设计人在某一时点的均衡价值,使得所有人的价值的定义域为(t:t0,t1……tn)。Y的自变量是一个随着时间而变化的均衡价值。也是每个人处于纳什均衡状态下的所有人的加权平均值。

为了使人的价值能够精准的计量,需要设计一个囯际标准化度量衡体系。在坐标轴t上设置一个定点to,O点代表标准化度量衡点,在此点单位小时的x值为:
png" alt="" />
并且存在关系:

在已知价值函数y=f(x)的基础上,我们求解商品、企业等的价值,设Z为商品等价值,Z是x的复合函数,是Y的函数,则有以下函数关系:

这样我们求解了商品的价值是人的价值函数,更进一步,商品的价值在各个时点的解是在此点生产商品的人的价值,并且进一步化简为O点的标准度量衡。
我们在O点引入数字货币C,使单位1C=1(v),通过数字货币市场这个“温度计”就可以求解人的价值[43],甚至是商品和企业的价值。
与其他各种函数一样,价值函数[44]有其特定的性质,弄清这些性质与意义,对于研究价值规律、计量价值必不可少。总体来讲价值函数的定义域与值域属有理数范畴,价值函数具有连续性、共享性、共赢性、共识性,价值函数具有价值速度,价值的大小不但取决于价值质量,而且取决于价值速度;各种不同的人不同的资产具有不同的价值函数,有传统型、创新型、几何级数等等;价值函数有正的也有负的[45]。
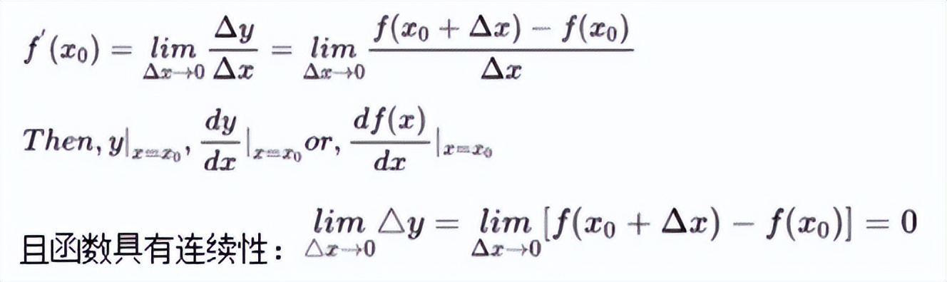
(1)价值函数的连续性。价值函数在生产与消费交点是连续的,在需求与供给点是连续的,在市场、社会、自然三大空间是连续的。
自然界中有许多现象,如气温的变化、河水的流动、植物的生长都是在一定的时空中连续的。价值函数在一定的时空中具有连续性,这种连续性的研究对于把握价值运动的规律有重要作用。
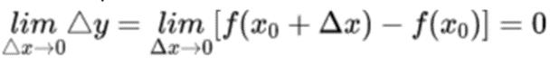
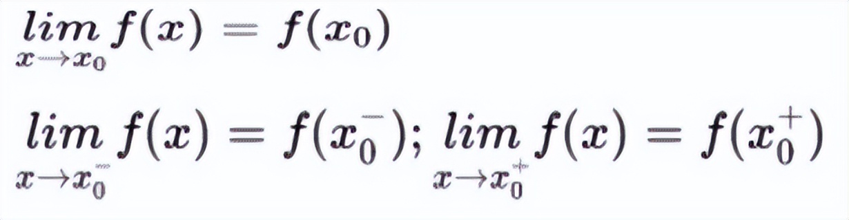
设价值函数y=f(x)在点x0的某一邻域内有定义,如果:

那么就称价值函数y=f(x)在点x0处连续。也可以表示为:

价值函数在生产与消费的交点是连续的。就人的价值而言,消费属于需求,生产属于供给,在市场有效率的情况下,生产由消费需求决定,定制经济中,企业都是以消定产,消费是生产的前端;消费是生产的实现阶段,没有消费就没有生产价值。
价值函数延伸到社会空间以后成为社会价值的一部分,仍然保持连续性,只是一条曲线从小空间进入大空间而已。如前所述,产权是*权人**的组成部分,价值的市场空间形态在社会空间中不存在断点。社会空间的价值可以转化为市场空间的价值,市场空间的价值也会转化为社会空间的价值。社会空间的价值比市场空间的价值更重要。市场空间是以有偿交换实现价值转移,而社会空间则是*权人**的无偿的价值转移,但是仍然服从价值均衡规律,如因果报应,以德治国,都是这种均衡的反映[46]。
(2)价值函数统一性
把价值函数定义为人的价值以后,价值函数的生产函数与消费函数具有统一性,商品由生产过度到消费对于人的价值仍然是连续可导的。统一性在数学可以定义为价值函数在某一点是连续的并且可导的。也就是说,价值函数及其导函数是连续的。
价值函数的统一性表现为无论人处于什么状态,人的价值是稳定的。在消费点,人的价值由收入转换为支出,根据价值平衡原理(在信息充分条件下),在此点人的价值是连续可导的。同样,在高度信息化的市场经济中,定制经济模式占主导地位,消费需求的设计与执行及其数据构成了生产的最重要最前端的部分,消费与生产,需求与供给高度统一起来,使得市场经济形态发生了质的变化。
我们假定,由于互联网、大数据的高速发展,市场信息不充分问题消失,那么,市场发现信息的功能也就消失了,这时是否会出现“共产主义的有计划按比例生产”的场景?当然,这是一个假定。信息充分任何手段与信息背景下,都是需要一个过程,互联网大数据也不例外。只是发现信息的时差被不断压缩而已。当原有的信息不对称消失后,会有新的信息需求。这种新的信息需求决定着未来市场的演进方向,比如价值发现与创造、技术发现与创造、分工与合作的精准化与效率的发现[47]。
价值函数y=f(x)在点x0的某个邻域内有定义,当自变量(时值)x在某一时点x0处取得增量 (点x0+ 仍在该邻域内)时,相应的因变量取得增量=f(x0+)-f(x0);如果与之比当 →0时的极限存在,那么称函数y=f(x)在点x0处可导,记为f'(x0),即,

那么,在数理上我们认为价值函数具有统一性。实际上,价值函数的统一性具有更多的含义和内容,其数量化是一个不断的研究的过程。
(3)价值函数的共享性与价值速度
人的价值函数中的具体有用信息是有各种不同的内涵和任务的。这些价值可以分为可共享价值和不可共享价值[48],共享价值中又分为有限共享价值和无限共享价值。不可共享价值是指只可以一次性使用的有用的东西,这种东西只能被一个人单独占有,如住房、食品等,很多时候共享价值与不共享价值是相互转化的。有限共享价值是指某一共享价值仅可以被有限的人使用;无限共享价值则可以为无限的人使用(包含同一个人可以多次使用),如某些理论、技术等等。

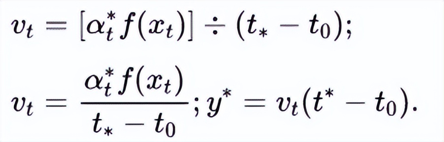
上面的公式表述了共享价值对人的价值函数影响巨大。当≤1时,价值函数是非共享价值。当1≤a≤m(m是一个有限值),价值函数是有限供给函数;当1≤a≤+∞时,价值函数是无限共享价值函数。人的价值的增长速度受到共享系数和共享次数(单位时间)的影响。现在我们把一个价值的出现时间设计为t0点,价值达到最大化的均衡值时间为t*。可以计算一个人的价值速度vt。

最大化的均衡价值等于价值速度乘以从价值起点到均衡点的时间。
价值的连续性揭示了价值理论回归到人的本位的价值一致性,在定义域为时间的坐标中,价值曲线的唯一可能是死亡,所以健康长寿是价值管理最重要的方面。价值函数回归与连续性证明,解决了价值理论的供求决定论和需求决定论的争端,也化解了马克思劳动价值论和西方效用价值论的分岐;不但劳动创造价值,消费也创造价值;价值不但来自于劳动,还来自于天赋价值,甚至是本原世界,这将大大拓宽价值空间,为人类发现无边的“金矿”。不但生产创造价值,消费也创造价值,消费与生活是价值实现的形式。价值的共享性研究了价值增长规律与价值速度。价值来自于价值的本质中的“暗物质”爱的能量[49]。爱是人的本质属性及其反应的集合。
伟大的科学家罗伯特爱因斯坦临终前写给女儿的信中说:“世界上最大的能量是爱”。人们一般理解是爱因斯坦向女儿表达父爱无疆之意。可是当我在研究价值函数中单位时间中的有用信息的终极形态时,这个单词闪电般进入了视野。爱是不依赖于人的主观意识和外界影响的由人天然属性中产生的来自于上帝的情感,是出身于本原世界的能量。人类所能感觉到的本原世界的能量一个是上帝的能量,一个是爱的能量。
实际上,价值函数在市场空间被西方主流经济学家描述为“快乐和幸福”,真正的快乐和幸福来自于一个人内心的爱[50],“效用”是对爱的度量。而且,到达社会空间以后,价值函数只有在“爱”上才能实现连续,爱是社会空间中的价值本原能量。价值曲线延伸到自然空间和本原世界以后,爱作为一种来自于本原世界的能量,它比“力”“重量”“动能”“热能”对于人更重要,物理学中的能量对于人来讲远没有爱的能量重要。就人的价值函数来讲,世界是人接受的信息的总和,价值是人接收的有用的信息的结合,而爱的能量是有用的信息中来自于本原世界的自发的信号。
当今世界疫情肆虐,各国相互争斗,以邻为壑,危机四伏。主要原因就是价值理论脱离了“人本位制”。世界来到一个十字路口,需要价值的回归,需要爱的回归。
[文章索引 ]
[1] 庞巴维克认为,价值学说“从来都是经济科学最模糊、最混乱和研究最不够的部分之一”。但他希望奥地利学派的研究能结束科学的这种状况,否则“还会给通过本身卓有成效的发展可以期待完全和彻底解释价值问题的这种创造性思想带来思想的模糊和混乱”。
[2] 这种有用性究竟是什么东西?有的人解释为快乐、幸福。
有的人解释为能力和能量等等。我的理解是各不相同,因为所有人的价值是不同的,相同的人不同的时间价值观也是不同的。但是,任何时代都会有一种主流价值观。就人类整体而言,它是有利于人身心健康的,实现人的财富自由、精神自由和生命自由。归根结底,是人的生命自由。是人的生命在精神方面、健康方面、身体方面在时间和空间上的无限拓展性。
这种拓展性表现为人接收的正能量和负能量,所以,价值有正负之分。价值是相对的,一个人的价值在于他被别人接收的有用的信息。所以,价值是人接收的有用的信息,也是被人接收的自己付出的有用的信息。收支双方就整体人类来讲是守恒的。但是,对于每个人个体来讲,同一时间,有的人结余,有的人亏空。
[3] 所以,价值理论本身也具有价值属性,一个价值理论的好坏取决于它对人类的意义与作用,在于它作用于人以后产生什么样的新的价值和后果。这种意义在于财富自由、精神自由和生命自由。我们对价值的理解是在市场空间是产权,在社会空间是*权人**,在自然空间是生命权。
[4] 信息,指音讯、消息、通讯系统传输和处理的对象,泛指人类社会传播的一切内容。人通过获得、识别自然界和社会的不同信息来区别不同事物,得以认识和改造世界。在一切通讯和控制系统中,信息是一种普遍联系的形式。1948年,数学家香农在题为“通讯的数学理论”的论文中指出:“信息是用来消除随机不定性的东西”。创建一切宇宙万物的最基本单位是信息。
[5] 这个原宇宙与我们通常说的“元宇宙”是不同的概念。互联网上的元宇宙是一个基于现代信息技术的一个再造空间。这个再造空间也是人的世界的一部分。“人的世界”的定义对于信息社会的价值分析提供了分析方法与依据。很多人把互联网上的东西看成是虚拟世界而且传统的物理世界对立起来。其实它们都是人的世界的一部分。
[6] 这就如同物质的原子与分子一样,不可能从分子作为起点研究。广义价值概念表面上看价值的范围无限扩大了,但是,把价值概念压缩到信息这个落点上,就为现代信息技术介入价值理论提供了通道。同时,价值的研究对象也被盯住在“人”这个单变量上,反而使价值学说更为简单化和有效化。几乎所有的价值理论都是把商品作为研究对象,使得价值背离了它的主体而失去了生命力。现代信息技术、大数据技术、区块链技术、人工智能技术,甚至元宇宙技术等为我们进一步研究价值提供了条件和工具。
[7] 参考资料:许光伟 《保卫——经济形态社会理论大纲》北京 :社会科学文献出版社 ,2014年。编写组.《马克思主义基本原理概论》(修订版).北京:高等教育出版社.2013年。[3] 丁堡骏.《马克思劳动价值理论与当代现实》.北京:经济科学出版社.2005年。
[8] 使用价值就是对人的有用性,是价值的本意。商品的交换价值与使用价值是价值函数在供需两端的不同表现形式,在信息完全充分的情况下,这个函数是连续且可导的。
[9] 价值理论在学术史上始终存在需求端学派与供给端学派的讨论。如果把价值函数在生产、流通、消费、投资各个环节通过“时值”这个价值温度计”统一连续起来,那么,这个发现具有划时代的意义。供给与需求的统一、生产与消费的统一是市场经济的理想。科技革命带来的新技术如互联网、物联网、区块链、大数据、云计算、人工智能等技术为这种“价值革命”创造了条件。价值链必将引起伟大的价值创新和价值革命。
[10] 中文名:效用价值论。外文名:utility theory of value。实质:商品交换的基础归物品效用的观点。创建人:亚里士多德。领域:微观经济学。
[11] 参考文献:[1] 黄亚钧.微观经济学.高等教育出版社.2015。[2]边际效用.MBA智库百科 [引用日期2015-09-02]。[3]朱富强.经济学说史.清华大学出版社.2013。
[12] 英籍意大利经济学家P.斯拉法在他于1960年出版的《用商品生产商品:经济理论批判绪论》一书中对单一产品和联合产品的价格决定进行了独到的论述,这是他价格思想的主要体现。
[13] 罗拉尔·德布鲁(Gerard Debreu,1927年7月4日-2004年12月31日),美籍法国人,生前执教于加利福尼亚大学伯克利分校。德布鲁概括了帕累拖最优理论,其创立的相关商品的经济与社会均衡的存在定理,是当代经济学界的重要理论之一,1983年获诺贝尔经济学奖。
[14] 保罗·罗默(Paul M.Romer),生于1955年,美国经济学家,新增长理论的主要建立者之一。现任纽约大学经济学教授,斯坦福大学经济学教授,胡佛研究所高级研究员。2018年10月8日,2018年诺贝尔经济学奖揭晓,保罗·罗默和威廉·诺德豪斯共同获奖,以表彰二人在创新、气候和经济增长方面研究的杰出贡献。
[15] 约瑟夫·熊彼特(Joseph Alois Schumpeter,1883年2月8日—1950年1月8日,1901年—1906年在维也纳大学攻读法学和社会学,1906年获法学博士学位,是一位有深远影响的美籍奥地利政治经济学家(尽管他并非是“奥地利学派”成员,但在早期他受到了奥地利学派的深刻影响)。其后移居美国,一直任教于哈佛大学。
[16] 兰格(Lange,Oskar,1904~1965 ),波兰经济学家,政治家,外交家。1904年生于明兹托马舒夫。1928年获法学博士学位,后在波兰克拉科夫大学讲授统计学和经济学。1938~1945年在美国密歇根大学、芝加哥大学讲授统计学和经济学。1945~1946年任波兰驻美国大使。1946~1947年任波兰驻联合国安全理事会代表。1948年后一直任波兰华沙大学教授,讲授统计学和经济学。
[17] 纳什均衡(Nash equilibrium),又称为非合作博弈均衡,是博弈论的一个重要术语,以约翰·纳什命名。在一个博弈过程中,无论对方的策略选择如何,当事人一方都会选择某个确定的策略,则该策略被称作支配性策略。如果任意一位参与者在其他所有参与者的策略确定的情况下,其选择的策略是最优的,那么这个组合就被定义为纳什均衡。一个策略组合被称为纳什均衡,当每个博弈者的均衡策略都是为了达到自己期望收益的最大值,与此同时,其他所有博弈者也遵循这样的策略。
[18] 维尔弗雷多·帕累托(Vilfredo Pareto)(1848年7月15日 - 1923年8月19日),经典精英理论的创始人,社会系统论的代表人物。
[19] 2016年09,来源:《中国社会科学》 作者:张华夏。
[20] 我一直想为这种价值理论起个名字,比如广义信息价值论、价值链理论、科学价值论、计量价值论、价值计量学等。评价一种价值理论最重要的标准应该是它的有用性,即价值论的价值,是它是否能够发现和计算价值。并且创造价值,实现人的价值最大化。人的价值最大化是所有价值论的基本规律,这是人作为动物的自然机能的优化的必然。这是一种理性的必然性假设,也是上帝的安排。
[21] 实际上各种不同的价值观正是由于价值空间的不同形成的。如果没有严格的价值空间设计,对于价值的定义就会模糊不清。这就像我们研究物理学一样,我们必须预设物体的存在空间。
[22] 这里提出了人在全空间中具有价值,也就是说原空间虽然不可知的,但是这种超人空间仍然会给人发送有用的信息,这是来自于“神”的力量。这种力量在市场空间、社会空间、自然空间仍然是存在的,人的价值在这种定义下提供了无穷大的可能。
[23] 通过以上各种价值理论的研究,各种价值观和价值理论的最大分岐往往是价值边界的模糊,价值空间的混淆。比如马克思劳动价值论主要是研究商品的价值,而且是研究商品的劳动价值,而不是价值本身。马克思甚至把流通、服务、消费、科研这些最重要的价值创造环节排除出价值创造过程,主要是为了研究价值的阶级性和斗争性。这种带有明显目的性的研究方式并不是科学的本身逻辑。
[24] 几乎所有的价值理论都把研究主体转向了商品的价值。这个问题可能是价值理论领域最大的问题。它使价值背离了价值本身。由此形成的经济与社会问题也相当严重。
[25] 无论是劳动价值论、斯拉法价值论,还是效用价值论,研究范畴主要是价值的人的世界市场空间的价值。马克思劳动价值论把价值理论的研究拓展到社会空间,但是在一定程度上混淆了市场空间与社会空间的界限。
[26] 德布鲁可以视为空间几何价值理论及技术的创始人,他使抽象的价值运动形像化、区间化和精细化,提升了价值理论的科学性。在下面的分析中,我们将把徳布鲁模型与纳什模型共同运用于价值链研究中。
[27] 我们用这样一个系统性的装置来形成“价值温度计”,这个温度计中的“水银”就是数字货币。这是一个民主化的求最优策略的区块链挖矿过程和计算过程,这个过程是人类社会进入科学社会的重要标志。至此,我们用科学的数学方法,测量所有人所有决策的价值。
[28] 货币历史上,货币的大区间分类,经过了商品本位制和信用本位制,最终会进入价值本位制,使货币的价值尺度功能与价值自身一体化。这种制度能够消除目前货币制度的弊端,使人类的经济活动高质量发展。纵观目前的信用货币,存在各种问题。首先它是不公平不公正,并不能真正反映每个人的价值,而是某些组织、国家等剥夺人民的工具。典型的是美元,这个货币已经成为世界不公、剥夺全世界人民的机器,这种制度不消除,这个世界哪有什么公平正义?货币世界已经到了非重建不可的时候了。
[29] 在社会空间人的价值可以表现为爱、权力、自由、感恩、威信、信仰、崇拜等等。
[30] 对于不出售个人时权的经纪人就要购买一定的v0*用于参加交易的资质和本钱,v0*就是标准化度量衡,而且均衡价值是以v0*为起点的均衡时值,一般用系统中所有人单位时值的加权平均数。所以,均衡价值尺度(数字货币)随着系统中人均价值的增长而增长。挖矿者出现2种盈利机会,一是均衡价值的升值机会,因为新的介入者必须以当时的时点时权均衡值的价格购入别人的价值,然后用来购买目标人的时权,当系统均衡值上升时,早期买入的人就获利了。反之,如果市场的均衡价值下跌了,早期购入者就会亏本。二是买进目标人的价值在行权之前出现波动,如新的正的或者是负的有用性信息被挖掘出来,就会出现盈亏。有的人出现爆发式价值增长,投资者就会得到暴利。
[31] 这个理论创立的早期主要是侧重于对资本市场相关的信息披露方面的研究。随着信息社会的到来和数字经济的发展,有效市场理论应该有进一步的发展和运用。互联网、大数据、云计算,甚至区块链、数字货币、人工智能对市场的效率有革命性的作用。本书将从广义信息论的角度和科学价值论的视角研究新的市场有效性理论。市场发现信息,市场创造价值;信息发现市场,提高市场效率,信息本身就是价值。根据有效市场理论的要求,上链的目标客户应该充分标准化地披露自己的信息。而且,挖矿者也应及时向系统发布自己的捜集到的关于目标人的“有用的信息”。
至此,我们发现价值链理论与传统理论不谋而合。把价值定义为“对人有用的信息”的重要性在于使传统经济理论向着信息化、智能化过渡创造了重要的技术条件。而且博弈论和有效市场理论以及期权理论在此找到了最好的结合点。在此,我们也发现了新的经济学体系真正的面向未来的理论与技术框架:有效市场理论、博弈论、期权理论、广义信息价值论、区块链技术和大数据技术。
[32] 2007年全球性金融危机发生后,经济理论界甚至是政府高层产生了对传统经济学的反思和质疑。
[33]期权理论反映预期及信息逼近交易点的价值变化规律,期权不仅可以用于风险管理,更重要的用途在于它的价值发现、创造与管理功能。人们在对未来价值的实现交割点的时段中,可以创造价值。比如,购入时权的人通过发现新的合约购买人而提升价值的共享性乘数,而且使原有价值成倍地增长。人们在期权交易之前也可以发现更多的“对人的有用的信息”,直接地创造价值。这个过程使市场的有效性得到设计式制度式的强化,大大提高了市场效率。
[34] 价值的社会空间属性与运动规律可以求解社会发展中的各种历史的、政府的、家庭的各种运动现象和问题。特别是当一个人拥有更多的价值结余后,他需要更高层次的社会空间和自然空间的价值索求,而这种需求与供给正是人类所需要的。比如一个有钱人会投入增加对健康的投入,他会投资于有利于人的寿命延长的项目,这种项目也会被别人所学习而具有巨大的外部性价值,这种“外部性价值”和“共享价值”正是解决社会财富分配实现公平正义方法。
所以,每个人的价值的定义域是有正负之分,应该对负价值征收税费,或者是市场机制惩罚。对人的有用性产生负作用的时值就是负价值。比如说垃圾分类,要把乱扔垃圾的人的税费惩罚用于垃圾分类和治理人员的收入,只到人不扔垃圾为止。又如对吸烟的人应该使用双重惩戒机制,因为他不但伤害别人,也伤害自己。对伤害自己的人如何惩戒?这是一个价值管理非常有价值的内容。比如在市场空间收税、罚款,吸烟的人也会减值。吸烟的信息作为一种不良的负价值信息本身就降低一个人的价值。在社会空间和自然空间损失更大,比如说,吸烟人会被人讨厌,有害生命等等。
[35] 就像企业上市,股票除了交易对手还有各种合作者,如会计师事务所、券商等。
[36] *币特比**算法操作性和科学性很强,但是缺少效率性和适用性,由于耗费能源而具有巨大的负价值,最终必将退出市场。只要是新的价值链算法产生之时,就是*币特比**的退出之日。
[37] 至此,价值的计量方法被发现出来。这种计量方法远优于效用价值论的基于心理的计量方法,而且是价值的本原,由此,我们可以求解千差万别的商品价格。
[38] 人们早期发明期权这种交易形式主要是为了对冲交易风险。
[39] 比如说在社会空间每个人可以设计一种价值通证“投票权”,这种投票权通证就是选举权,是通过一种社会形态的价值转移完成的。总统的服务时权购买。社会空间会存在一种*权人**转让与交换系统,以促进人与人之间的合作与分工,*权人**的交换也存在一种内在的规律。在自然空间人的生命权体现为最高价值,实现产权、*权人**和生命权的有机统一,实现财富自由、精神自由和生命自由。
[40] 区块链是一种源代码的互联网网根系统,它可以取代IPV4和IPV6系统,实现全球互联网空间治理的民主化。博弈论也是基于自然法则的各参与方都达到最优策略的均衡体系和算法体系,这2种技术的结合,运用到人的价值的数字货币体系是对美国霸权的全面挑战。这个新体系能帮助人类实现全球性的真正的民主制度。
[41] 全球的互联网网根IPV4、IPV6全在美国,全世界都在租用美国的互联网并上交租金;美元是世界货币,全世界必须向美国交铸币税,美国近2年超发美元,是对全世界人民赤裸裸的剥夺,这种制度就是金钱拜物教下的奴隶制度,美国还挥舞大棒,在全球随意制裁。特别是近期对中国的各种手段已经达到了失去理智的程度,正是暴露了美国式全球治理体系的极端黑暗。这种制度再不改变,天理难容。
[42] 在本书的第二部分,我们将更加深入地细致的从数学和高科技的角度研究和论述这个新的体系。要把这个全球民主的自由的解放的机器擦得铮亮。
[43] 人的价值最终与时间结合起来,这与马克思的劳动价值论有了一定的关系。但是这里的价值是单位时间里含有的对人有用的信息,对人有用的信息也叫信用,这个概念将进一步发展到金融领域,从而使金融理论产生革命性的变化。马克思的劳动价值论把所有人的价值质量视为相等,而本书的时间价值有了价值质量不相等的假设,从而克服了马克思劳动价值论的平均主义倾向。
[44] 价值在市场空间的产权延伸到社会空间形成*权人**,*权人**是按照普遍的社会价值规律配置价值,人与人之间公平、公正、公开并且有效率地交换这种对社会有用的信息,象选票、结婚证、组织证明等各种法师配置*权人**的证书就是社会价值通证,天赋价值的自然资源的分配就是社会价值配置的结果;价值函数延伸到自然空间的有用性就是人的能量。它遵守能量守恒定律。能量守恒定律延伸市场空间会形成社会稳定与发展机制的平衡关系和市场均衡价值。而且纳什均衡关于最优策略均衡的思想同样适用于社会空间和自然空间。
[45] 价值是对人的有用性,这种有用性有正值,也有负值。比如犯罪、吸毒、吸烟、放屁、喧哗等都是负价值,市场与政府会对负价值征税和惩罚。一个人在一定时期也会产生正的价值余额和负的价值余额。这种函数的设计为价值增长创新了重要的理论和技术。一个人的每个言行都会形成正的价值和负的价值,比如说有的父母的言行就直接影响他孩子的价值。一个赏心悦目的女子就创造正价值,一个思想家的演讲创造正价值,而粗鲁、恶语等创造负价值。一个人的价值是通过一言一行、每时每刻形成的。面带微笑、和气生财、穿着得体大方的人容易发财就是这个道理。
[46] 社会空间价值的形态表现为人的*权人**时间的付出和收入,价值形态仍然是人在单位时间中对*权人**的有用信息的集合,如选票、爱、婚姻、口碑、尊重。最典型的粉丝经济就是社会空间价值向市场空间的转化。而捐赠、慈善基金等则是市场空间价值向社会空间价值的转换。高超的企业家非常善于把社会空间的价值转换成社会空间的价值。把价值在不同的空间进行切割研究是科学的研究态度,这样在不同设定空间的试验会更加精准。我们接下来会研究基于人的价值+区块链+纳什均衡+期权定价的市场设计与市场实验,必须进行空间切割,才能达到预期的效果,这也是德布鲁空间经济分析技术的应用。
[47] 这种新的市场形态给予了市场空间无穷的拓展,市场不仅可以发现信息和价值,还管理和创造价值。在人类社会的不同阶段,它的功能与使命不同。市场就是人们分工和合作,用于发现价值、管理价值、创造价值的自然进化设计与人工学习设计的信息场,这个信息场既是一个经济现象和社会现象,也是一个自然现象,遵守信息均衡规律(纳什均衡)和能量守恒规律。
[48] 商品也可以分为可共享和不可共享。对价值函数的共享性研究十分重要,因为它决定一个人价值的总量。在一般情况下,往往生产可共享产品的人价值大于不可共享产品的价值(典型的是专业性家庭主妇的工作)。而无限共享价值的人群的价值总量具有巨大的挖掘空间,是价值理论研究的重点方向。一个人在人生事业的价值方向选择时,尽量选择无限共享的价值函数方向和质量,价值函数决定人的命运。
[49] 世界上没有无缘无故的爱,也没有无缘无故的恨。爱具有一种基于人的自然属性的客观性,如果存在这样的逻辑,那么把价值定义为爱的能量就使价值研究更加科学和精准。
[50] 其实人们很少去研究和体会爱,因为它在我们内心的神秘之处和最不容随意侵犯和评论的神圣之处。它是一种生理现象,还是一种心理现象,还是一种社会现象,还是一种物理现象?爱因斯坦临终并没有糊涂,而是说出了一条终极真理,即,所有的各种量和能量是不可以相互比较的,关键在于它对人的有用性。爱是一种生理能和心理能,甚至是来自于本源世界的能量,是对人最重要的能量,才是人类最大的最伟大的能量。我们人类不敢过多地研究爱是因为牠和上帝一样神圣,一样来自于本原世界。 ■