
一项刊登在影响因子3.126杂志Acta Diabetologica上题为“Fetuin-A levels and risk of type 2 diabetes mellitus: a systematic review and meta-analysis”的研究报告中,来自香港大学医学院的研究者们发现,较高的循环胎球蛋白-A水平与2型糖尿病(T2DM)风险增加有关。然而,因果关系值得进一步分析。
胎球蛋白-A与胰岛素抵抗和肥胖有关。它还讨论了它在2型糖尿病(T2DM)发病机制中的作用。研究目的是在系统评价和荟萃分析中研究胎球蛋白-A与T2DM风险的前瞻性关联。
截至2017年6月5日,使用胎球蛋白-A,糖尿病和各种同义词对MEDLINE、EMBASE、Pubmed和Web of Science进行了系统的研究。相关研究由两名评价员独立提取。使用纽卡斯尔 - 渥太华量表评估研究质量。使用具有逆方差荟萃分析的固定效应汇总总体估计值。按性别、研究人群、评估胎球蛋白-A的技术、糖尿病确定方法、随访持续时间和关联度量进行亚组分析。
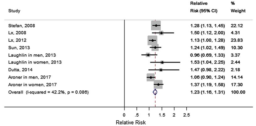
系统评价和荟萃分析纳入7项研究,共包括11,497名个体和2176例T2DM。总体而言,胎球蛋白A水平的一个SD增加与T2DM事件风险增加23%相关(RR:1.23,95%CI 1.16-1.31)。没有发现显着的异质性或发表偏倚。不同亚组的关联相对稳定。然而,这种关联似乎只存在于女性中,而在男性中则不明显。

文献检索和研究选择流程图

胎儿蛋白-A水平和2型糖尿病风险的鉴定研究(N = 7)的特征

7项前瞻性研究中,根据胎球蛋白-A水平,2型糖尿病的相对风险

根据胎球蛋白-A水平的类别,为胎儿素-A水平的四分位数或五分位数提供结果的2型糖尿病风险。

森林图总结了胎球蛋白-A水平(每SD增量)与2型糖尿病风险之间的关联

纳入研究的出版偏见

通过在每次省略一项研究并重新计算总体风险评估来纳入研究的敏感性分析

胎儿蛋白-A水平和2型糖尿病风险的亚组分析
来源:Fetuin-A levels and risk of type 2 diabetes mellitus: a systematic review and meta-analysis.Acta Diabetologica
