昨天(10月10日),我们又见证了历史:俄罗斯发动了自俄乌开战以来最大范围的高精度导弹袭击!高精度制导*器武**再发威!
然而,在俄军猛攻背后,乌克兰媒体却曝出俄罗斯的高精制导*器武**库储备不多了……并爆料一份详细的俄*用军**芯片采购清单(文末附全目录),涵盖了芯片、变压器、连接器、晶体管及其他零组件采购列表,这份清单涉及高精制导*器武**的许多核心零部件,却唯独缺少了高精*器武**核心部件——传感器。
俄罗斯的高精制导*器武**缺哪些芯片?为什么俄罗斯不担心传感器芯片缺失?
获取更多传感器行业深度资讯、报告,了解传感器技术、传感器与测试技术、物联网传感器技术……等传感器知识,请关注传感器专家网,查看往期内容。
传感器专家网(sensorexpert.com.cn)传感器专家网专注于传感器技术领域,致力于对全球前沿市场动态、技术趋势与产品选型进行专业垂直的服务,是国内领先的传感器产品查询与媒体信息服务平台。基于传感器产品与技术,对广大电子制造从业者与传感器制造者提供精准的匹配与对接。
俄军宣泄150枚高精度制导导弹再发威,然而*药弹**库存告急!
近日,乌克兰对克里米亚大桥等许多重要目标进行了恐怖式袭击,为了回击乌克兰,俄罗斯的高精度制导*器武**再发威。
在昨日(10月10日),俄罗斯一口气向乌克兰境内内多地发射了150枚高精度制导巡航导弹,袭击了乌克兰首都基辅等十多个城市,造成1307个居民点断电,空袭共造成14人死亡,97人受伤。
俄罗斯总统普京表示,本轮对乌克兰的大规模袭击,是要报复克里米亚大桥日前受袭。他还表示,如果乌克兰继续对俄罗斯实施“恐怖袭击”,将继续严厉反击。
在俄乌战争中,这已经不是高精度制导*器武**第一次发威了,早在今年2月份开打的时候,高精度制导*器武**就已经展现出它恐怖的战争潜力。
当时,俄乌战争刚开打一个多小时,俄罗斯即对全世界宣布:高精度*器武**致乌克兰空军的军事基础设施、防空设备、*用军**机场和航空队失去战斗能力。
这也为俄罗斯*队军**前期的快速推进,创造了重要条件。
高精度制导*器武**虽然恐怖,但其制造也是十分复杂,涉及到传感器、芯片、连接器、晶体管、变压器等许多高精尖技术,而技术“偏科”严重的俄罗斯并不能完全自己制造。
随着战争以来的大量消耗,据外媒报道,俄罗斯的高精度制导*器武**库存不多了,并且开始动用苏联遗留的*器武**库存。
“目前,敌人越来越多地使用Kh-59和Kh-22等苏联时期研制的空射巡航导弹。其中Kh-22是俄军最具破坏力的导弹之一,其战斗部重达900公斤。”乌克兰空军发言人补充说。
俄罗斯高精度制导*器武**缺什么?
先说结论:缺芯片!以及部分传感器!
一般导弹分为战斗部、弹体结构、动力装置、制导系统四个部分。
战斗部装有*药炸**负责摧毁目标;弹体结构就是外壳、主翼等支承结构;动力装置是导弹飞行的动力源、引擎;制导系统控制导弹的飞行方向、姿态、高度、速度等,令导弹准确无误飞向目标。

▲导弹结构示意图
其中,制导系统的核心是导引头,也是精确制导*器武**中价值量最高的部分。导引头不仅包含了各种惯性测量单元(IMU)、红外传感器、光电传感器、雷达等等用于感知目标的传感器,还有控制芯片、处理电路等许多部件,是高度集成化的科技产物。
今年8月份,英国皇家军事研究机构RSUI发布了对俄乌战场缴获的俄军*器武**的拆解分析报告。
如下图,是对俄罗斯高精度制导*器武**的研究拆解图片,该制导系统控制电路板来自俄军9M727导弹。
9M727导弹是俄罗斯最先进的*器武**之一,可以在低空机动以躲避雷达并可以打击数百英里外的目标,据研究该导弹包含31个外国部件。
在控制电路板中,我们可以看到来自德州仪器的DSP(数字信号处理芯片)以及密密麻麻的众多芯片。

▲俄军9M727导弹制导系统控制电路板及芯片(来源:RSUI报告)
另一种俄军重要巡航导弹——Kh-101也有31个外国部件,其中FPGA部件由美国英特尔公司(Altera)和AMD旗下的赛灵思(Xilinx)等公司制造。

▲俄罗斯Kh-101巡航导弹制导系统控制电路板及芯片
据RSUI的报告显示,俄罗斯的27种*器武**和军事系统,从巡航导弹到防空系统,均主要依赖西方部件,全部450个主要部件供应商中,有318个来自美国,约占三分之二。
其中,美国ADI公司和德州仪器(TI)公司制造的产品占*器武**中所有西方组件的近四分之一。
这里面主要的原因是俄罗斯的半导体芯片制造能力较弱,无法制造高制程的芯片。
为了应对这个问题,俄罗斯政府⾼层多年来,⼀直在推动进⼝替代品以对冲西⽅制裁,但收效甚微。2014 年 6 ⽉,俄罗斯总统普京曾公开强调了进⼝替代对俄罗斯*队军**的重要性,并呼吁⼴泛过渡到国产军⽤部件。

相比芯片来说,在俄罗斯先进*器武**中,大部分传感器都是自己制造的,得益于苏联留下的工业底子,以及俄罗斯军工产品的发展路线,在军事、重大工业项目上,俄罗斯传感器产业能够最大程度上实现自产需求。
俄罗斯的传感器产业,主要基于分立式半导体敏感元件 (热敏电阳 、正温度系数热敏电阻 、压敏电阻 、光敏电阻)和压电元件,而MEMS传感器相对较少。
对于基于MEMS等技术的先进传感器,俄罗斯的科研力量一直有进行跟踪研究。从 1971 年到 1985 年俄罗斯(苏联)就已经在进行早期 MEMS 研究和开发,这远走在中国前面,中国大约在上世纪90年代才开始开展MEMS研究。
莫斯科物理工程学院是俄罗斯第一个发起 MEMS 研究的组织,取得了许多世界开创性的进展。前苏联的许多其他机构也参与了早期的MEMS工作,其中有“Giredmet”、“NiiTeplopribor”、“Electronpribor”、“Nii Physical Measurements”、鲍曼技术大学、新西伯利亚大学、工信部、考纳斯理工学院、利沃夫理工学院、列宁格勒国立大学等组织。
被乌克兰媒体曝光的芯片清单!俄罗斯缺哪些芯片?
在9月5日,美国媒体《政客》(Politico)曝光了一份俄罗斯紧急芯片采购清单——《RUSSIA'S WAR TECH SHOPPING LIST》,清单中涉及数百个元器件型号,并被分成3个等级—— 极度重要、重要和一般 。
乌克兰政府此前称,由于俄*器武**库中的精确制导*器武**等已经快速消耗,克里姆林宫已经制定了 半导体、变压器、连接器、晶体管 和其他组件的采购清单,其中大部分由 美国、德国、荷兰、英国、中国台湾和日本 的公司制造。

▲俄罗斯芯片采购清单(来源:Politico)
在“极度重要”清单的25个型号中,绝大部分芯片都是由美国芯片巨头Marvell、英特尔(Altera)、Holt(航空航天芯片)、Microchip、美光、博通和德州仪器制造。
此外,还包括少数几个型号来自IDT(被日本公司瑞萨收购)、赛普拉斯(被德国英飞凌收购),还有美国Vicor的电源模块和美国AirBorn的连接器。其中一些型号很容易搜到库存,但一些关键主芯片则陷入长期缺货状态。
其中,最昂贵一款芯片是英特尔(Altera)的FPGA,型号为10M04DCF256I7G,其每片采购价高达66,815.77卢布或1,107欧元,换算成人民币接近7700元。而在芯片短缺之前,它的成本低于20欧元。

▲清单中最昂贵的英特尔(Altera)FPGA芯片
俄罗斯芯片采购清单全目录
“极度重要”等级采购清单

▲来源:Politico,制表:电子工程专辑
“重要”等级采购清单

▲来源:Politico,制表:电子工程专辑
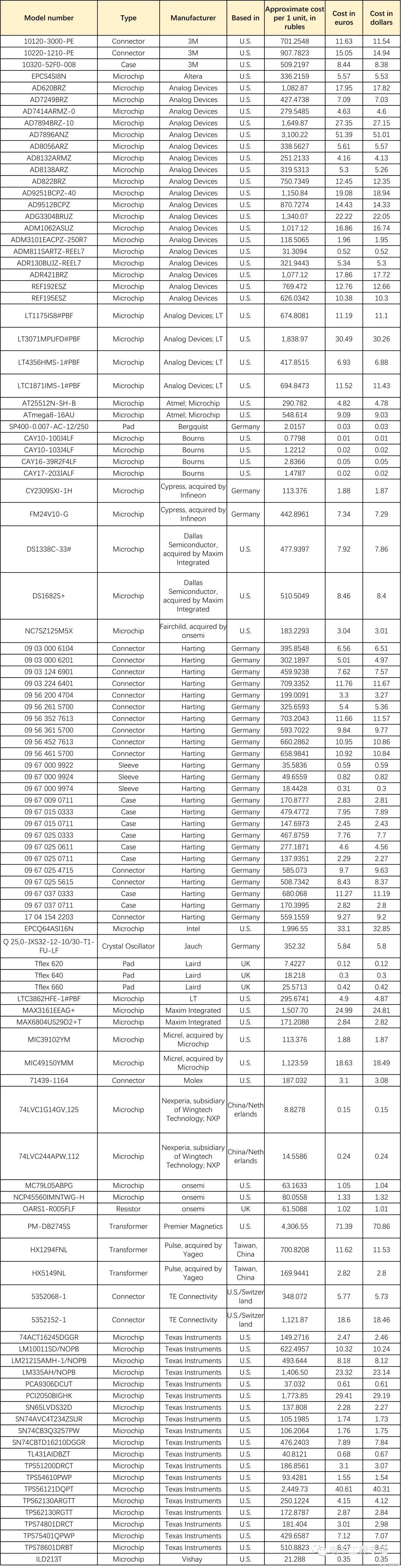
“一般重要”等级采购清单

▲来源:Politico,制表:电子工程专辑
您对本文有什么看法?欢迎留言分享!
顺手转发,将中国传感产业动态传递给更多人了解!
声明 :本文内容系作者个人观点,不代表传感器专家网观点或立场。更多观点,欢迎大家留言评论。