在大学物理学习的过程中,磁场强度和磁感应强度常常搞得我难以区别,今天就磁场强度和磁感应强度我来进行一个区分和总结
在磁物理的发展过程中,关于磁性的存在两种观点,最先出来的是库伦的“磁荷”观点,之后安培提出了分子电流的观点,这两种观点假设的微观模型不同,赋予磁感应强度B和磁场强度H的意义也不同,沿着这两条道路各自发展出了一套磁介质的理论,现在我们已经知道分子电流假说更加符合实际,但是磁荷的观点发展在先,而且与电介质理论有很大的相似之处,也具有重要的意义,所以我们在学习的时候对这两种观点都有必要了解。
01磁荷观点
从历史的发展来看,库伦在通过实验得出了点电荷定理之后,猜测磁体磁极之间的力也存在平方反比的关系,与电的库仑定律类似,磁荷观点把磁极看作磁荷积聚的地方,把小磁针看作磁偶极子。
既然我们知道了磁荷的观点和电荷之间存在着极大的相似之处,所以我们先来看电介质。
02电介质
通常情况下,我们认为电介质是绝缘介质,是不导电的。通过实验我们发现了插入电介质的电容器的电容要比不插入电介质的电容器的电容大,而且插入不同的介质的电容器的电容也不相同。将介质换成导体,我们也可以观察到类似的现象,而且插入导体后的电容增大十分明显,C=Q/U,定性的分析,仅仅插入导体时,电荷显然是不会变化的,导致电容变化的原因只能是极板之间的电势差减小了。对于导体我们知道可以在电场中感生出电荷,而这个感应电荷产生的电场的方向和原来的电场的方向是相反的。
既然插入电介质和插入导体都会使得电容变大,我们就会不由的猜测,插入绝缘的介质是不是和插入导体产生的影响具有某些相似之处呢?
03极化的微观机制
我们都知道分子是由带正电的原子核和带负电的电子组成的,虽然整体分子是不带电的,但是正负电荷不是集中在同一点。全部的负电荷可以等效成一个单独的负点电荷,这个等效负电荷的位置就叫做负电荷的重心,同样的正电荷也有一个重心。当正负电荷重合的时候,我们称这个分子为无极分子。正负电荷不重合的叫做有极分子,这类电荷虽然整体不带电,但是由于正负电荷的位置不重合,所以存在着一定的电偶极矩p。(从-q指向+q的矢径r和电量q的乘积定义为电偶极子的电矩,也称电偶极矩)
对于有极分子电介质,由于分子的热运动,各个有极分子的排列是杂乱无章的,所以整体不显电性。将有极分子放在均匀的外电场中,由于电场力的作用,有极分子向着电场的方向转动,整齐的排列了起来。就如同体育课上原本在操场上散乱的同学们听到上课铃立马整齐的排好队一样。

而在内部的分子由于正负电荷首尾相接,抵消了,只剩下侧面一边剩下正电荷,一边剩下负电荷,这就是极化电荷。而这种现象叫做极化现象。
对于无极分子电介质,由于正负电荷在电场中受到的电场力的方向是相反的,所以正负电荷重心会发生小小的相对位移,之后的过程和有极分子十分相似。而由于电子的质量比原子核小的多,所以在电场的作用下主要是电子位移,所以这种极化机制称为电子位移极化。
在电介质中,为了定量的描述各处极化的情况,我们引入了一个矢量P,等于单位体积内的点矩矢量和:

,P称为电极化强度矢量。可以用来度量电介质的极化状态。
04极化电荷的分布和极化强度矢量的关系
当电介质极化时,一方面它的体内出现了未全部抵消的电偶极矩,另一方面在它的表面上出现了极化电荷,由于这种电荷不能自由移动,也无法离开介质表面,所以又叫作束缚电荷(这个名字是不是很形象)。这两个全部是电介质极化产生的影响,我们自然想知道这两者之间的关系。
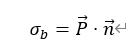
要计算一个给定的极化强度对应的束缚电荷,我们考虑一个平行于P的一根管子,

由电极化强度矢量的定义我们可以知道,在体积为Ad的一小块体积内偶极矩为PAd(A为横截面积,d为长度),零两端的电荷为q,偶极矩也可以写做qd。所以qd=PAd,在竖直切下的情况下我们可以算出表面电荷的密度为:

(你可以思考一下如果我们斜着切,它们之间的关系吗?)
总之不管是垂直着切还是斜着切,最后我们都得到了一个结论:极化效应就是在物体的表面产生束缚电荷

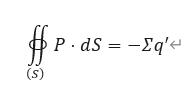
如果极化是不均匀的,除了表面上存在极化电荷,内部也存在束缚电荷的积累。

当我们在内部选择一个闭合面,P通过这个闭合面的通量

应该等于因极化而传出这个面的束缚电荷的总量。根据电荷守恒,围成的电荷总量等于总的极化电荷的负值,从而我们可以得出:

05电介质中的电场强度
一般来说,外电场中的电介质的内部的电场强度各不相同,也比较复杂,为了简便,我们用空间中充满各向同性的电介质的平行板电容器来进行分析。

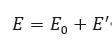
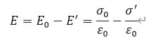
在有电介质存在的时候,空间中任意一点的电场强度E是外电场强E0和极化电荷的电场E’的矢量和:

.自由电荷和极化电荷产生的电场强度大小分别为

E0的方向与E’的方向相反,故

可以看出,在电介质的内部合电场强度E总是小于自由电荷产生的电场强度E0,这一结论虽然是从特例得到的,但是可以证明是普遍成立的。
06电位移矢量D
在文章的一开头,我们看到静电场中的电介质和导体有相似之处
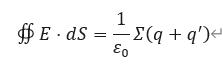
在学习电场的时候我们都会学习高斯定理,高斯定理建立了电场场强与电荷之间的关系,而在电介质中这个定理仍然成立,只不过我们要对它进行一点修改,在进行电通量的计算时,我们要计算高斯面内包围的自由电荷q0和极化电荷q’:

而在之前我们知道

化简后我们可以得到:

从这个公式我们知道,在电介质的内部需要两个物理量E和P来描述,而在实际的问题中极化电荷的分布我们无法提前得知,用来计算十分的繁琐,为此我们引入了一个新的物理量——电位移矢量D,它的定义为

上面的公式可以改写为

这样这个式子就不含极化电荷。而当我们研究电介质时这种形式的高斯定理十分有用,因为它仅涉及自由电荷,而且自由电荷是由我们控制的。
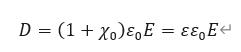
而实验表明对于大多数常见的各向同性线性电介质,P和

方向相同,且数量上存在着简单的正比关系,因此可以写成

比例常数

叫做极化率,将这个式子代入到

得:

其中比例系数

叫做电介质的介电常量,(准确的应该叫做相对介电常量)。
好了在介绍磁介质的磁荷观点之前,我们已经对于电介质有了一定的了解,而磁荷观点的提出就和电荷存在着一定的对应关系,所以了解了电介质,接下来的磁荷观点也与这个存在很大的相似之处。
磁荷观点
我们在之前就介绍了,磁荷观点的提出和电的库仑定律是平行的,所以我们可以完全按照电介质的思路来思考磁荷观点。在电场,我们有电偶极子,有电偶极矩,在磁荷观点中,磁极是磁荷积聚的地方,小磁针就是磁偶极子。
01磁介质磁化的微观机制
在磁荷观点看来,磁介质的最小单元是磁偶极子,在介质未被磁化的时候,磁偶极子杂乱无章的排布着,在宏观上看起来就是不显磁性。
具体举一个例子来说,将一个没有磁化的铁芯插在线圈之中,当线圈通入直流电时,铁芯会产生磁性,产生了N,S极。这样我们就说铁芯被磁化了。

铁芯原本是不显磁性的,在通入电流后,线圈产生了磁场,叫做磁化场。每个磁偶极子都会收到磁化场的力的作用,就像小磁针会指向磁场方向一样,磁偶极子在受到力的作用下,磁偶力矩转向磁场方向。在磁场的作用下,原本杂乱无章的磁偶极子沿着磁场的方向整齐排列,在内部的N,S极互相抵消,在宏观上看来就只剩下铁棒的两个侧面上出现了N,S极,也就是我们说的铁棒被磁化了。

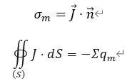
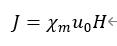
在电介质中,为了定量的描述各处极化的情况,我们引入了一个矢量P,叫做电极化强度矢量。同样,为了描述磁介质中的磁化状态,我们也可以引入一个磁极化强度矢量,这个概念完全和之前的相同,只需要把电偶极矩这几个字改成磁偶极矩。我们给这个磁极化强度矢量起一个名字J:

而J就是一个能够反映出介质磁化状态的一个物理量。
02磁荷分布和极化强度矢量J的关系
由于磁极化强度矢量J完全和电极化强度矢量P对应,我们用同样的方法可以得到与之前对应的公式

此处我就不再进行赘述,大家可以当作练习自己巩固。
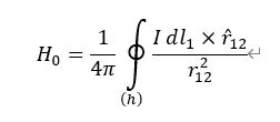
03磁介质中的磁场强度
同之前类似,磁介质中的总磁场强度H是磁化场

和介质端面上产生的附加场的矢量叠加,即:


由图我们可以知道和两者方向实际上是相反的,总磁场强度的数值实际上是两者相减

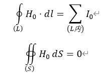
04安培环路定理和高斯定理
由于总磁场是由两部分组成的,所以我们只需要分开研究这两部分,这样我们便可以得到总的性质
磁化场是由电流产生的,而电流周围产生的磁场

可以由毕萨公式决定

同样,我们可以知道,

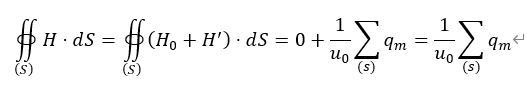
满足的安培环路定理和高斯定理分别为

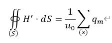
由于磁荷是通过电荷的观点引入的,磁荷就类似于电荷,所以磁荷产生的满足的环路定理和高斯定理必然和电荷相同
环路定理:

高斯定理:

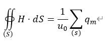
所以总磁场H满足的安培环路定理和高斯定理分别为:


即


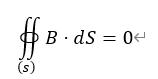
05磁感应强度矢量B
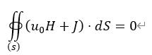
在电介质中我们引入了一个辅助矢量D,借助它,高斯定理可以写成一个与极化电荷无关的形式,同样,在磁场的情形,我们可以引入磁感应强度矢量B
借助


,将消去,我们可以得到一个新的公式

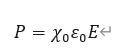
仿照电介质的方法,我们引入

B就叫做磁感应强度矢量,也就是

仿照

我们引入

于是

其中

称作磁导率,和电介质中的介电常数

相对应
通过两部分的比较,我们可以发现,磁荷观点完全是仿照着电荷观点而来的,其中的大部分公式和定义也是仿照电介质而来,现在我们已经知道实际上不存在磁荷,但是对于很多目的而言,这个模型仍然可以使用,希望学习了磁荷观点后,大家能够对早期的物理学家感到更加的敬佩。
参考文献:
格里菲斯-电动力学导论
新概念物理教程 电磁学 赵凯华,陈熙谋