文|冬青诗
编辑|冬青诗
前言
为了研究气候变化情景下粉煤灰混凝土的碳化与碳汇,本文汇总并对比分析了目前应用比较广泛的混凝土碳化模型。
考虑到环境因素是影响混凝土碳化的重要因素,基于4种核心气候预估情景,利用5个高分辨率气候模型的预测数据平均值,分析气候变化对粉煤灰混凝土碳化深度的影响。

为了使混凝土结构的碳核算更加准确,提出了粉煤灰混凝土碳汇标准值的概念,通过对大量实验数据的计算,得到了气候变化情景下C20〜C70粉煤灰混凝土的碳汇标准值,为后续碳核算提供支持。
混凝土碳化预测模型
在混凝土浇筑养护完成后,其内部孔隙中会充满水泥水解时产生的Ca(0H)2 过饱和溶液,这将形成很强的碱性环境。

在该条件下,内部钢筋表面会形成一层致密的钝化膜,保护其免受侵蚀,但在使用过程中,环境中的C02会通过混凝土空隙向混凝土内部扩散,并与孔隙中的Ca(0H)2溶液发生化学作用生成CaCO3,此过程称为混凝土碳化过程。
参与碳化过程的物质还包括水泥水化过程中产生的水化硅酸(3CaO·SiO2-3H2O,简称CSH)、部分未水化的硅酸三钙(3CaO·SiO2,简称C3S)和硅酸二钙(2CaO·SiO2,简称C2S)。

由上式可知,碳化反应的产物主要是CaCO3,相比于原反应物,它的体积会膨胀约17%。
由于反应产物会对混凝土的孔隙造成部分堵塞,这在一定程度上会提高混凝土的密实度和强度,同时也会减缓C02的渗透过程和混凝土碳化过程。

但是,随着水化反应的进一步发生,混凝土中的Ca(0H)2会逐渐减少,C02逐步扩散到混凝土内部孔隙,致使钢筋钝化膜受到破坏,并被腐蚀。
从混凝土的碳化机理可以看出,混凝土碳化主要取决于三个方面:C02的扩散速率、混凝土水化产物中可碳化物质的含量和碳化反应速率。

根据此三方面的要求,混凝土碳化的主要影响因素可以分为材料因素和环境因素,材料因素主要包括水泥种类与用量、骨料用量、水灰比、矿物质掺量和混凝土强度等,环境因素主要包括环境C02浓度、温度和相对湿度。
随着全球气候变化的加剧,C02浓度和温度的逐年升高会对混凝土碳化产生更大的影响。

混凝土碳化深度预测模型模型的建立原理大致归纳为三类,基于扩散理论的理论模型、基于碳化试验的经验模型和基于扩散理论与碳化试验的半理论半经验模型。
气候变化对粉煤灰混凝土碳化的影响
混凝土碳化是混凝土结构腐蚀和耐久性下降的一个主要原因,所处环境对混凝土碳化影响很大。

随着大气中C02浓度的增加及气候变化导致的大气平均温度和湿度的变化将会加速混凝土结构因碳化引起的腐蚀,从而降低结构的适用性、安全性和耐久性。
自工业革命以来,大气中温室气体含量逐年升高,大气中CO2浓度升高,一方面会加快混凝土碳化,另一面,温室气体的逐年增加也会不断提升大气温度,从而加快混凝土碳化和结构的腐蚀。

SSP描述了未来社会可能的发展,SSP1、SSP2、SSP3、SSP4和SSP5分别代表可持续发展、中度发展、局部发展、不均衡发展和传统化石燃料为主的5种路径。
ScenarioMIP基于不同的SSP路径下可能发生的能源结构所产生的人为排放及土地利用变化,采用综合评估模型生成定量的温室气体排放、大气成分和土地利用变化,将不同的SSP与辐射强迫进行矩阵组合,生成基于SSP的气候预估情景。

CMIP6的核心气候预估包括SSP1-2.6、SSP2-4.5、SP3-7.0和SSP5-8.5四种情景,如下图中深蓝色单元格所示。
SSP1-2.6情景代表了低脆弱性、低减缓压力和低辐射强迫的综合影响,在该情景下多模式集合平均的温度在2100年将显著低于2℃,因此可以支持2℃升温目标研究。

SSP2-4.5情景代表了中等社会脆弱性与中等辐射强迫的组合。
SSP3-7.0情景代表了大量的土地利用变化(尤其是全球森林覆盖率下降)和高的气候强迫因子(特别是二氧化硫),表示相对高的社会脆弱性与相对高的人为辐射强迫的组合。
SSP5-8.5情景则代表高社会脆弱性与高人为辐射强迫的组合。

本文将基于以上4种气候预估情景分析相应大气环境变化对混凝土结构的影响。
考虑到不同气候模型的差异,选择了5个国家的气候预测模型,绘制中国地图矢量图,并利用python语言编程读取中国气候数据。

从下图可以看出,地表CO2平均浓度和地表平均温度逐年上升,从2010年到2050年,这4种气候情景相差不大,差异不超过100 ppm和1℃。
但到本世纪中后期,4种气候情景下的大气CO2年平均浓度和地表年平均温度的差异逐步明显,这4种气候情景下的地表年平均相对湿度差别不显著,整体呈现逐年下降趋势。

考虑气候变化的粉煤灰混凝土碳化
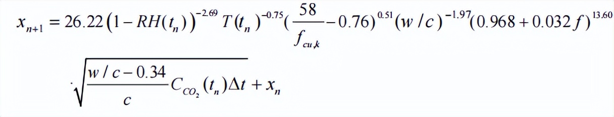
由于气候变化的进程是缓慢的,将计算期划分为n个时间段,每个时段长为∆t,并假设气候参数CO2(t)、T(t)和RH(t)在时段∆t内是保持不变的。
由于混凝土碳化过程是一个动态积累的过程,所以任意第n+1时段内的碳化深度均可表示为:

计算4种气候变化情景下,C30、C40、C50和C60强度等级的粉煤灰混凝土的平均碳化深度。
由下图可知,随着抗压强度等级的提高,混凝土的碳化深度逐渐降低,不同气候情景下的碳化深度也相差较多,随着辐射强迫值的增加碳化深度逐渐增大。

从SSP1-2.6到SSP5-8.5,大气环境中平均C02浓度升高趋势加强,加快了碳化速率,这是造成碳化深度随气候情景变化而增大的主要原因。
从SSP1-2.6到SSP5-8.5,大气环境中平均温度增长的趋势明显,CO2的扩散速度随着温度的升高而加快,也会导致碳化深度随辐射强迫增加而增大。
大气环境平均湿度逐年下降,随着辐射强迫值的增加,下降的趋势更加明显,并更加接近60%,这也促使碳化深度随辐射强迫值增加而增大。

在不考虑气候变化时,C30、C40、C50和C60强度等级的粉煤灰混凝土的平均碳化深度分别为31.22mm、23.48mm、15.75mm和6.64mm。
相比于不考虑气候变化的影响,即使在2℃升温目标情景(SSP1-2.6)下,粉煤灰混凝土的碳化深度也会增加约10%,在最不利的气候情景下(SSP5-8.5),碳化深度将会增加约45%。因此,考虑气候变化对混凝土碳化的影响是十分必要的。

基于4种气候情景,针对不同粉煤灰掺量的混凝土碳化深度进行了对比。
从上图中可以看出随着粉煤灰掺量的增加,粉煤灰混凝土的碳化深度也逐渐增大,值得注意的是,在粉煤灰掺量较低时,碳化深度的增加趋势并不明显,但当掺量大于50%时,混凝土碳化深度显著增加。

当粉煤灰掺量很少时,它对混凝土碱度的影响较小,因此对混凝土的抗碳化性能影响很小。
当粉煤灰掺量逐渐增加,水泥中的熟料量会相应地减少,导致混凝土吸收CO2的能力减弱,降低了其抗碳化性能。
粉煤灰的掺加会使混凝土的早期强度降低,随着掺量的增加,其孔隙结构较差,更有利于CO2的扩散,从而加快了粉煤灰混凝土的碳化速率。

在不考虑气候变化情景时,粉煤灰掺量为10%、20%、30%、40%、50%和60% 的混凝土平均碳化深度分别为22.42mm、24.69mm、25.98mm、27.81mm、31.21mm 和34.31mm。
在气候情景下比不考虑气候变化情景平均提高了45.01%。可见,考虑气候变化对高掺量粉煤灰混凝土碳化的影响是不容忽视的问题。
气候变化对粉煤灰混凝土碳汇的影响
混凝土碳化导致结构耐久性降低,影响使用寿命,增加维护成本, 但混凝土碳化也有一定积极的效应,它可以吸收一定的C02(混凝土碳汇),从而减少碳排放。

目前,国内外的研究大都集中于如何减少混凝土碳化产生的不利影响,提高结构耐久性,延长其使用寿命等,而有关其吸收C02的积极效应的研究则很少。
随着国家对“碳达峰”与“碳中和”目标的提出,准确核算建筑材料 的碳排放对建筑业实现碳减排是具有重要意义的,因此有必要将混凝土的碳汇考虑在其碳排放的核算范围内,尤其是随着使用寿命的延长。

根据上式的方法,对不同强度等级、不同粉煤灰掺量的混凝土碳汇进行计算,并将其统计参数汇。
混凝土碳汇是与时间因素相关的,采用2020年的全国平均气候数据,并以100年的混凝土碳汇统计参数为例说明。

从上表中可以看出,混凝土碳汇的平均值和标准差随着强度等级的提高呈逐渐减小趋势,变异系数介于0.18〜0.36之间,存在一定的离散性。
同一强度等级的混凝土中,配合比和粉煤灰掺量的不同以及样本数量是造成混凝土碳汇离散性较大的主要原因。
因此,将混凝土碳汇作为随机变量,采用正态分布对不同强度等级混凝土样本数据进行Kolmogorov分布检验,以100年粉煤灰混凝土碳汇为例,将计算值检验统计量Dn和临界值Dn0汇总于表。

不同强度等级的混凝土,在显著性水平为0.05 和0.10时,计算值Dn,均小于临界值Dn0,即都不拒绝原正态分布的假设。
因此,可以认为在不同配合比和粉煤灰掺量下,同强度等级的粉煤灰混凝土碳汇分布服从正态分布。以C40粉煤灰混凝土为例,展示其碳汇的统计直方图。

为了便于在实际工程中估算混凝土的碳汇,本研究基于混凝土抗压强度标准值的概念,提出混凝土碳汇标准值。
对不同强度等级粉煤灰混凝土碳汇的统计参数进行计算,可得不同强度等级粉煤灰混凝土在不同时期(以10年间隔为例)的碳汇标准值。

从表中可以看出,随着使用寿命的增长,粉煤灰混凝土的碳汇标准值逐年增 加,同时,粉煤灰混凝土的碳汇标准值随强度等级的提高逐渐降低。
气候变化情景下混凝土的碳汇,对上述不同粉煤灰掺量和强度等级的混凝土配合比数据计算,得到气候变化情景下粉煤灰混凝土碳化深度的结果,并将其带入下式,得到气候变化情景下粉煤灰混凝土的碳汇。

考虑到混凝土碳汇是与时间因素相关的,以本世纪末混凝土碳汇为例,汇总了在上述4种气候情景下,不同强度等级粉煤灰混凝土碳汇的统计参数。
从下表中可以看出,从气候情景SSP1-2.6到SSP5-8.5,粉煤灰混凝土的碳汇逐渐增大,以C20粉煤灰混凝土为例,SSP2-4.5、SSP3-7.0和SSP5-8.5情景下,其碳汇平均值分别比 SSP1-2.6 情景增加了10.22%、20.32%和31.97%。

4种气候情景下粉煤灰混凝土的碳汇统计参数中,变异系数介于0.17~0.36之间,这种变异性同样与样本数量、粉煤灰掺量和配合比的不同相关。
对不同气候情景下不同强度等级粉煤灰混凝土的样本数据进行Kolmogorov正态分布检验,以2100年的粉煤灰混凝土碳汇为例,将计算值检验统计量Dn和临界值Dno汇总于表。

在4种气候情景下,不同强度等级的粉煤灰混凝土,在显著性水平为0.05和0.10时,计算值Dn均小于临界值Dn0,即都不拒绝原正态分布的假设。
因此,可以认为在4种气候情景下,不同配合比和粉煤灰掺量的同强度等级的粉煤灰混凝土碳汇分布服从正态分布。

对4种气候情景下粉煤灰混凝土碳汇的统计参数进行计算,可以得到粉煤灰混凝土的碳汇标准值。
为了更好地实现建筑领域的碳排放核算,本文计算了国家“双碳”目标的实现时间2030年和2060年的粉煤灰 混凝土碳汇标准值,汇总于下表。

从表中可以看出,2030年同等级粉煤灰混凝土的碳汇标准值在4种气候情景下差异较小,随着使用寿命的增长,碳汇标准值逐渐增加。
以C30粉煤灰混凝土为例,2060年时,在SSP2-4.5、SSP3-7.0和SSP5-8.5 情景下,其碳汇标准值分别比SSP1-2.6情景下增加了3.70%、4.80%和8.43%。
在本世纪末2100年时,在SSP2-4.5、SSP3-7.0和SSP5-8.5情景下,其碳汇标准值分别比 SSP1-2.6 情景下增加了 10.22%、20.32%和 31.97%。

笔者观点
基于相关文献收集的实验室粉煤灰混凝土配合比设计和实测碳化深度数据,对比评价了目前应用广泛的混凝土碳化深度预测模型,建立基于Bayesian理论的粉煤灰混凝土碳化深度概率模型,提高了先验模型的计算准确性。
利用5个国家的气候模型的预测数据均值,建立了考虑时变大气CO2浓度、温度和相对湿度的粉煤混凝土碳化深度预测模型,分析了不同气候情景对碳化深度的影响。

在4种气候情景(SSP1-2.6、SSP2-4.5、SSP3-7.0和SSP5-8.5)下,碳化深度随着混凝土抗压强度的增加而降低,随着粉煤灰掺量的增加而增加。
粉煤灰混凝土的碳汇标准值随着强度等级的增加而减小,随着辐射强迫值的增加而增大。
参考文献
[1]彭建新,张建仁.基于增量过程的混凝土结构碳化深度预测模型及其概率分析.公路交通
科技,2012,29(10):54-58.
[2]庞博.气候变化背景下PC 桥梁生命周期维修加固综合策略优化.北京交通大学,2018.
[3]许丽萍,黄士元.预测混凝土中碳化深度的数学模型.上海建材学院学报,1991,4(4):347-356.
[4]]周天军,陈梓明,邹立维等.中国地球气候系统模式的发展及其模拟和预估.气象学报, 2020,78(3):332-350.
[5]张誉,蒋利学.基于碳化机理的混凝土碳化深度实用数学模型.工程力学,1996, A02:9-13.