1、Boost电路基本介绍
Boost电路在电池的一些场景非常常见,用于给电池电压升压后再给电路进行供电的场景比较多。随着电动汽车的飞速发展,在汽车电子的场景使用也越来越多。

开关电源的主要部件包括:输入源、开关管、储能电感、控制电路、二极管、负载和输出电容。如果功率不是特别大,IC厂家会将开关管、控制电路、二极管集成到一颗CMOS/Bipolar工艺的电源管理IC中,极大简化了外部电路。
按照是否集成MOSFET,可以将电源IC分类为转换器、控制器。



一般讲解Boost的示例中所示的DC/DC开关稳压器都是非同步的,其中使用了整流二极管,如上图所示。
在同步稳压器中,使用MOSFET代替。因此,需要一个额外的栅极驱动器用于同步MOSFET。

2、Boost原理讲解 一、开关电源占空比D、电感值L、效率η公式推导

Buck型和Boost型开关电源具有不同的拓扑结构,本文将使用如图1-1、1-2所示的电路参考模型:

参考电路模型默认电感的DCR(Direct Constant Resistance)为零。

电容阻碍电压变化,通高频,阻低频,通交流,阻直流;
电感阻碍电流变化,通低频,阻高频,通直流,阻交流;
假定那个开关(三极管或者MOS管)已经断开了很长时间,所有的元件都处于理想状态,电容电压等于输入电压。
下面要分充电和放电两个部分来说明这个电路。
第一部分:充电
如果控制器把MOSFET控制导通。电源对电感进行充电,如下图所示:

在充电过程中,开关闭合(MOSFET导通),开关(MOS管)处用导线代替。这时,输入电压流过电感。二极管防止电容对地放电。由于输入是直流电,所以电感上的电流以一定的比率线性增加,这个比率跟电感大小有关。随着电感电流增加,电感里储存了一些能量。
第二部分:放电

当开关断开(MOSFET截止)时的等效电路如上图所示。当开关断开(MOSFET截止)时,由于电感的电流保持特性,流经电感的电流不会马上变为0,而是缓慢的由充电完毕时的值变为0。而原来的电路已断开,电感只能通过新电路放电,即电感开始给电容充电,电容两端电压升高,此时电压已经高于输入电压了。升压完毕。
说起来升压过程就是一个电感的能量传递过程。充电时,电感吸收能量,放电时电感放出能量。如果电容量足够大,那么在输出端就可以在放电过程中保持一个持续的电流。如果这个通断的过程不断重复,就可以在电容两端得到高于输入电压的电压。
boost电路升压过程

开关管导通时,电源经由电感-开关管形成回路,电流在电感中转化为磁能贮存;开关管关断时,电感中的磁能转化为电能在电感端左负右正,此电压叠加在电源正端,经由二极管-负载形成回路,完成升压功能。既然如此,提高转换效率就要从三个方面着手:尽可能降低开关管导通时回路的阻抗,使电能尽可能多的转化为磁能;尽可能降低负载回路的阻抗,使磁能尽可能多的转化为电能,同时回路的损耗最低;尽可能降低控制电路的消耗,因为对于转换来说,控制电路的消耗某种意义上是浪费掉的,不能转化为负载上的能量。
Boost升压电路,可以工作在电流断续工作模式(DCM)和电流连续工作模式(CCM)。CCM工作模式适合大功率输出电路,电感电流需保持连续状态,因此,按CCM工作模式来进行特性分析。

Boost拓扑结构升压电路基本波形如图所示。

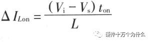
ton时,开关管S为导通状态,二极管D处于截止状态,流经电感L和开关管的电流逐渐增大,电感L两端的电压为Vin,考虑到开关管S漏极对公共端的导通压降Vs,即为Vi-Vs。ton时,通过L的电流增加部分△ILon。

式中:Vs为开关管导通时的压降和电流取样电阻Rs上的压降之和,约0.6~0.9V。

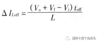
toff时,开关管S截止,二极管D处于导通状态,储存在电感L中的能量提供给输出,流经电感L和二极管D的电流处于减少状态,设二极管D的正向电压为Vf,toff时,电感L两端的电压为Vo+Vf-Vi,电流的减少部分△ILoff满足下式。

Vf为整流二极管正向压降,快恢复二极管约0.8V,肖特基二极管约0.5V。在电路稳定状态下,即从电流连续后到最大输出时。

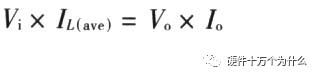
如果忽略电感损耗,电感输入功率等于电源的输出功率

电感的平均电流:

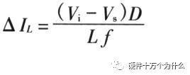
同时可得电感器电流纹波

式中:f为开关频率。为保证电流连续,电感电流应满足

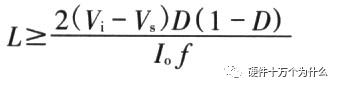
综合以上,可得到满足电流连续情况下的电感值为:

另外,由Boost升压电路结构可知,开关管电流峰值Is(max)=二极管电流峰值Id(max)=电感器电流峰值ILP

3、Boost电路设计实例




4、Boost环路



5、Boost PCB设计要点

A.开关电源拓扑主电流回流路径面积最小化;驱动脉冲电流回路最小化。B.对于隔离开关电源拓扑结构,电流回路被变压器隔离成两个或多个回路(原边和副边),电流回路要分开最小回流面积布局布线设计。对于非隔离电源,Boost和Buck一样要关注功率路径,功率电流环路面积最小。
本文部分内容整理自百度文库:
《一种非常实用的Boost升压电路原理详解》
《Boost变换器工作原理与设计说明书》
《Boost电路解析》
部分图片内容摘录自TI官网
《How to design boost, SEPIC and flyback regulators with wide VIN boost power management ICs》
部分内容引用硬十课程《电源是怎样炼成的》Boost电路章节