来源:电子工程专辑,谢谢

有媒体爆出——俄罗斯的高精*器武**库储备不多了。
编辑:感知芯视界
10月10日,据国际文传电讯社报道,乌克兰基辅州、赫梅利尼茨基州等地的防空系统已启动,拦截来袭的俄方导弹。
乌克兰媒体报道称,位于乌克兰西部的捷尔诺波尔州以及东部城市哈尔科夫遭到俄军攻击。位于乌克兰北部的日托米尔州遭到俄罗斯武装力量攻击。
但在猛攻的背后,也有媒体爆出——俄罗斯的高精*器武**库储备不多了……

俄*用军**芯片采购清单曝光
据美国媒体《政客》(Politico)报导,俄乌冲突爆发6个月后,局势急剧变化,俄罗斯*队军***器武**需求激增,近日据称由俄罗斯国防部拟定的国防产品采购列表曝光,多款急于采购的半导体芯片,型号、制造商、采购报价等信息大公开。
乌克兰政府之前表示,俄罗斯*器武**库精确制导*器武**消耗殆尽,再加上拥有西方武装支持的乌军正通过积极摧毁俄罗斯*火军**仓库和南部关键基础设施(如克里米亚大桥)来扭转战局,如今俄军已经越来越依赖苏联时期的*药弹**储备库,这些设备和导弹是在 1960 年代或 70 年代生产的。
乌克兰总理丹尼斯·什米哈尔(Denys Shmyhal)在接受《政客》采访时强调,战争已经到了技术优势发挥决定性作用的地步。“ 根据我们的信息,俄罗斯人已经用掉了将近一半的*火军**库,估计他们剩下的零部件只够生产 4 打超高音速飞弹。”这种*器武**的精确制导高度依赖先进芯片。
因此克里姆林宫拟定了一份半导体芯片、变压器、连接器、晶体管及其他零组件采购列表,大部分产品都是美国、德国、荷兰、英国、日本和中国台湾公司制造。
以下是《政客》公布的清单列表,乍一看,俄罗斯应该很难从清单中获得最敏感、也是他们最想要的产品:

图自:POLITICO(下同)
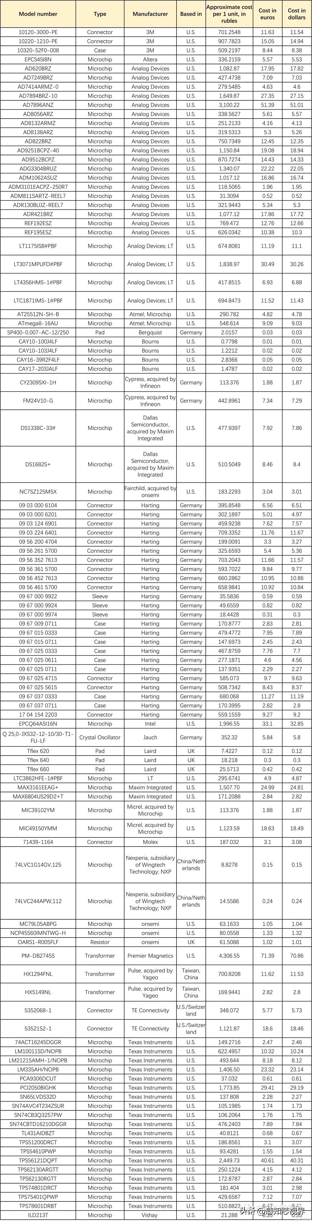
01三个优先等级,最贵是FPGA
列表数百个零组件型号分成三等级,从“极度重要”(Critical Importance)、“重要”(Important)到“一般”(Low Importance)。“极度重要”的25 个零组件型号大部分来自美国半导体大厂 Marvell、英特尔(Altera)、Holt、ISSI、Microchip、美光、博通和德州仪器。
还有少数 IDT(瑞萨旗下)、赛普拉斯(英飞凌旗下)、美国 Vicor 电源模块和美国 AirBorn 连接器等。由于全球芯片短缺已经持续很长时间,某些型号芯片目前长期缺货。

“极度重要”等级采购清单
清单中最贵芯片是英特尔(Altera)的FPGA,型号为 10M04DCF256I7G,每片采购价高达 66,815.77 卢布或 1,107 欧元 (约合 1,099 美元),而在芯片短缺前它的成本还不到20欧元。最便宜型号是 Marvell 88E1322-AO-BAM2I000 千兆以太网络芯片,采购单价 430.83 卢布或 7 欧元。瑞萨方面的5V41066PGGI是时序IC,XLH325125.000000I是高性能晶振,制造商均为瑞萨美国;Microchip的KSZ9031RNXIA-TR是一颗4/4以太网收发器。
次级“重要”清单,有 ADI 的多个型号芯片如 AD620BRZ、AD7249BRZ、AD7414ARMZ-0、AD8056ARZ、LTC1871IMS-1#PBF 等,基本都是民用级别的电源管理和模拟芯片。

“重要”等级采购清单
Microchip在“重要”等级清单中的也有多个型号入选,例如 AT25512N-SH-B 是EEPROM,ATMEGA8-16AU是一款基于AVR RISC架构的低功耗CMOS 8位微控制器,MIC49150YMM-TR和MIC39102YM-TR均是电源管理芯片(PMIC)。
尽管我们无法核实这份清单的来源,但乌克兰方面的军事供应链专家证实,列表中提及的芯片已多次在俄乌战场毁损俄罗斯军备发现,所以推测俄罗斯军方的目标可能已经转向更容易取得的民用型号。清单还有德国 Harting 外壳和连接器(09 03 000 6201 和 09 03 000 6104),原荷兰恩智浦品牌 Nexperia (已于2019 年被闻泰科技收购)的逆变器 74LVC1G14GV,125 和八路缓冲器/线路驱动器 74LVC244APW,112等通用 IC。

“一般重要”等级采购清单
02俄先进*器武**依赖进口芯片
近年来,俄罗斯的先进*器武**装备一直依赖美国、欧盟和日本半导体供应商。英国国防和安全智库皇家联合服务研究所(RUSI) 的开源情报和分析主管詹姆斯·伯恩 (James Byrne) 表示,“俄罗斯多年来可能一直在储备西方国家供应商的微芯片和其他基本设备,现在这些储备面临耗尽。”而这些国家和地区对俄罗斯实施经济制裁与禁运,使高科技*器武**因没有芯片可用已停产,俄罗斯无法补充库存。
RUSI的最新报告对俄乌战场缴获的俄制*器武**进行拆解后,发现其中27种*器武**和军事系统,从巡航导弹到防空系统,主要依赖西方部件。
RUSI统计发现,根据从乌克兰回收的*器武**,大约三分之二的部件是由美国公司制造的。其中,美国ADI公司和德州仪器(TI)公司制造的产品占*器武**中所有西方组件的近四分之一。

俄军9M727导弹的电路板及芯片。图自:RUSI
能获得这类尖端芯片,可以从中间国家在西方购买产品,然后将其转售给俄罗斯;或是用虚假“第三方”身份从供应商购买甚至*私走**。另外在极端情况下,美国商务部长吉娜·雷蒙多 (Gina Raimondo) 在 5 月表示,俄罗斯已经开始从洗碗机、冰箱等家用电器中拆解芯片用于*器武**装备。
不过拆家电芯片用于军事大概率是个笑话,由于涉及极端温度,军事应用中使用的部件通常需要较宽的工作温度,在*用军**环境中使用消费级标准的现成元器件可能会导致设备故障。另外强烈的振动、潜在的弹丸撞击和温度波动对任何组件都可能要求极高。普通的商用元器件根本无法在这样的环境中可靠地工作。

俄军9M727导弹的电路板。图自:RUSI
一张细节照片显示,2022年7月19日,乌克兰军方在战场上发现俄军9M727导弹车载计算机中的赛普拉斯芯片,后者为英飞凌子公司。作为俄罗斯最先进的*器武**之一,9M727导弹可以在低空机动以躲避雷达并可以打击数百英里外的目标,其中包含31个外国部件。
在另一个案例中,俄罗斯Kh-101巡航导弹也有31个外国部件,其中FPGA部件由美国英特尔公司(Altera)和AMD旗下的赛灵思(Xilinx)等公司制造。

俄军“口径”-M巡航导弹中的芯片。图自:RUSI
RUSI的报告分析称,用于*器武**中的许多外国组件只需几美元,在俄乌冲突爆发前,俄罗斯公司可以通过国内或国际分销商在线购买它们,因为它们可以用于非军事应用。然而至少自2014年以来,超过80种西方制造的微芯片受到美国出口管制,这意味着它们需要获得许可证才能运往俄罗斯。RUSI表示,出口这些零部件的公司有责任进行尽职调查,以确保它们不会被送往俄罗斯军方或用于军事最终用途。
但这也很难做到,“因为这样的零件往往属于‘两用商品’范畴,既可以用于家用电器,也可以用于军事,一旦芯片离开工厂,就很难准确追踪它们将在哪里使用。” 与佛兰德议会有联系的研究机构佛兰德和平研究所(Flemish Peace Institute)的*器武**出口和贸易高级研究员迪德里克·科普斯(Diederik Cops)说。
“俄罗斯的军事采购计划范围广泛,资金充足,他们拥有制造这些东西的巨大军事和工业基础。但现在他们在乌克兰花费了太多,以至于需要大量新的供应。而制裁将令他们的采购更加困难......他们将不得不优先考虑关键的元器件,这就是我们看到这些文件(采购清单)的原因。”伯恩说。
*免责声明:本文版权归原作者所有,本文所用图片、文字如涉及作品版权,请第一时间联系我们删除。本平台旨在提供行业资讯,仅代表作者观点,不代表感知芯视界立场。