今天,一个考生兴奋地咨询我:“小编,我刚报完名,看卷子满分150分,据说,70分就合格了,这也太简单了”!我能说什么?直接上图:

笔试合格成绩
这是折合后的分数,就算按150:120的比例换算,你卷面分需达到87.5分才能合格!
但,每年查成绩时会有大量的69、68等“高分”存在,一分之差未过笔试,这是怎么回事?
因为:教师资格证笔试成绩,有一套算法,还有通过率这一指标!

图源网络
教师资格证笔试成绩算法
教育部考试中心根据考试标准和当次考试情况,确定各科目全国统一的合格分数线。由于各个科目难度存在差异,其合格分数线不尽相同。为统一各科目的合格分数线,采用线性转换的方法,将考生0~150分量表上的原始成绩换算为0~120分量表上的转换分,并使各科目的合格分数线统一转换为70分。

成绩换算方法

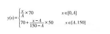
成绩计算公式
举例来说,设两个科目的合格分数线分别为 A1和 A2,则转换分 y(x) 关于原始成绩x的函数图像,如下图所示:

成绩的函数图像
通过上述线性转换,各科目的合格分数线均转换为70分,且转换不改变考生成绩的高低顺序。原始成绩低于合格分数线的考生,换算后的转换分在70分以下;原始成绩高于合格分数线的考生,换算后的转换分在70分以上。
说实话: 看不懂啊,数学从小就不好!但,我知道卷面分考的足够高,肯定能合格!据说,卷面分94分左右稳过(这个分值仅供参考)
中公小编祝大家都能高分过笔试!!
文/广西教师(gxjsks)