
医脉通编辑整理,未经授权请勿转载。
近日,两项最新的SGLT2i试验结果先后公布。
NEJM:索格列净可用于治疗糖尿病和病情恶化的心衰患者
钠-葡萄糖共转运蛋白2*制剂抑**(SGLT2i)能够减少稳定性心衰患者由心血管原因引起的心衰/心衰住院风险。此前,SOLOIST和SCORED两个试验结果证实,索格列净在糖尿病肾病和糖尿病合并失代偿性心衰患者中具有心肾保护作用,并且这种获益在索格列净使用数月后就显现,此外也证实了索格列净的安全性和有效性。然而目前对失代偿性心衰发生后立即使用SGLT2i的安全性和疗效仍处于未知。
研究设计
本试验是一项多中心、双盲实验,研究对象是近期因心衰恶化住院的2型糖尿病患者共纳入1222名患者,1:1随机分至索格列净组与安慰剂组。主要研究结局是总心血管死亡、心衰住院与急诊就诊(首次与后续时间都计算在内)事件。
研究结果
1.疗效终点
中位随访时间9个月,患者中位年龄为70岁,33.7%为女性。79.1%患者左室射血分数<50%,中位eGFR为49.7ml/min/1.73m^2,中位糖化血红蛋白水平为7.1%,NT-proBNP中位水平为1799.7 pg/ml。48.8%患者在出院前给与首次剂量索格列净/安慰剂,51.2%患者在出院两天后给与首次剂量。共发生600起主要终点事件,其中索格列净组245件,安慰剂组355件。
➤索格列净组主要终点事件发生率低于安慰剂组(51.0 vs. 76.3/100人年;HR 0.67; 95%CI 0.52-0.85; P<0.001);
➤索格列净组的心血管死亡事件发生率低于安慰剂组(10.6 vs. 12.5/100人年;HR 0.84; 95%CI 0.58-1.22);
➤索格列净组的全因死亡发生率低于安慰剂组(13.5 vs. 16.3/100人年;HR 0.82; 95%CI 0.59-1.14)。
表1 试验研究终点

图1 亚组中预定的主要疗效终点事件
2.安全性终点
索格列净组中有3.0%的患者发生严重不良事件导致停药,安慰剂组为2.8%。
与安慰剂组相比,索格列净组更多见的是腹泻(6.1% vs. 3.4%)与严重低血糖(1.5% vs. 0.3%)。索格列净组和安慰剂组中低血压、急性肾损伤患者的比例相似(6.0% vs. 4.6%; 4.1% vs. 4.4%)。
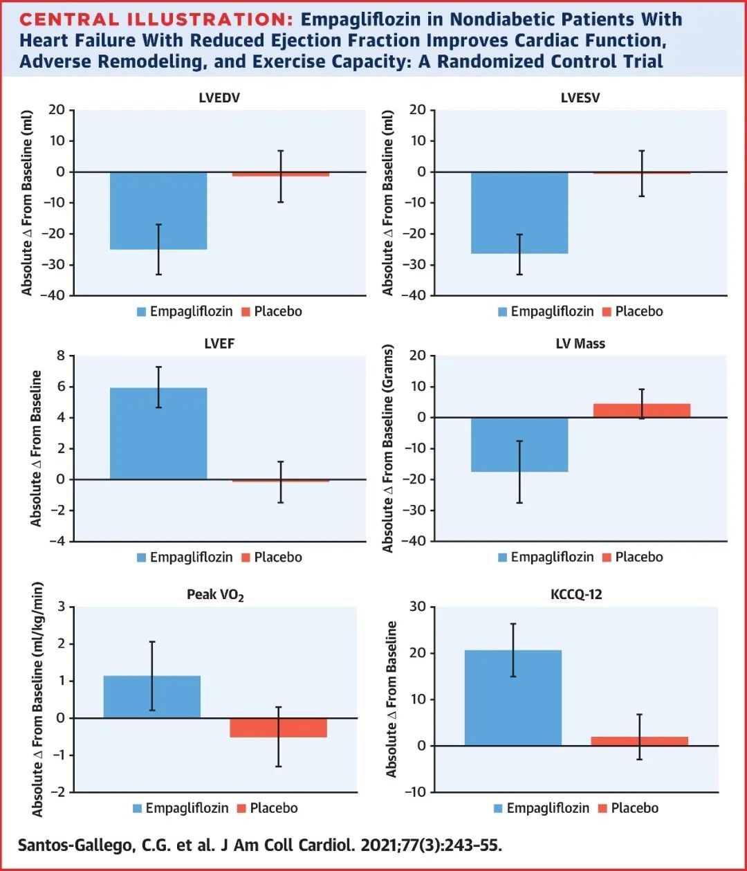
JACC:恩格列净改善非糖尿病心衰患者左室功能与生活质量
EMPA-TROPISM试验结果显示,SGLT2i药物恩格列净改善了无糖尿病的射血分数降低的心衰(HFrEF)患者的左室功能和生活质量。研究发现,恩格列净改善了非糖尿病心衰患者的左室重构,SGLT2i可能成为HFrEF治疗的新策略,无论其是否患有糖尿病。
研究设计
EMPA-TROPISM是一项随机、双盲、安慰剂对照试验,共纳入84名无糖尿病的HFrEF患者,平均年龄62岁,其中36%为女性;随机分至恩格列净组(10 mg)或安慰剂组治疗6个月,评估恩格列净对左室功能和生活质量的影响。
主要终点是通过心脏MRI评估的左室舒张末期容积与和左室收缩末期容积的变化。次要终点是左室质量、左室射血分数、心肺运动试验峰值耗氧量、6分钟步行试验和生活质量的变化。
研究结果
与安慰剂相比,恩格列净显著降低了左室舒张末期容积(25.1 ml vs. 1.5 ml; p<0.001)与收缩末期容积(26.6 ml vs. 0.5 ml;p<0.001)。此外,恩格列净还与左室重量减少(17.8 g vs. 4.1 g;p<0.001)和左室射血分数改善(6% vs. 0.1%;P<0.001)相关。
EMPA-TROPISM试验中,SGLT2i治疗在短期随访(6个月)中就已经显示出终点的显著改善。研究者总结到,这与其他大型试验中观察到的事件曲线早期分离一致。
此外,与安慰剂组相比,恩格列净组患者在心肺运动测试中峰值耗氧量更高(1.1 mL/min/kg vs. 0.5 mL/min/kg;p=0.017),6分钟步行测试结果改善(81 m vs. 35 m;P<0.001),堪萨斯城心肌病问卷得分-12结果更好(21 vs. 2;p<0.001)。

图2 恩格列净改善无糖尿病的HFrEF患者各项指标
与安慰剂相比,非糖尿病HFrEF患者服用恩格列净可显著改善左室容积、左室质量、左室收缩功能、功能能力和生活质量。研究结果强烈支持SGLT2i在HFrEF患者治疗中的作用,与患者的血糖状态无关。
总结
➤结合此前的研究来看,心室重构可能是SGLT2i改善心衰的作用机制。随着医药领域的发展,可能会确定新的治疗目标并开发出更具备特异性、安全系数更高的药物。
➤对于近期突然心衰恶化的糖尿病患者,出院前或出院后不久后使用索格列净治疗可显著减少心血管死亡、心衰住院与紧急就诊事件。
文献索引:
1.Bhatt DL, Szarek M, Steg G, et al. Sotagliflozin in Patients with Diabetes and Recent Worsening Heart Failure. N Engl J Med 2021; 384: 117-128.
2.Santos-Gallego CG, Vargas-Delgado AP, Requena-Ibanez JA, et al. Randomized Trial of Empagliflozin in Nondiabetic Patients With Heart Failure and Reduced Ejection Fraction. J Am Coll Cardiol. 2021 Jan; 77 (3): 243–255.
