作者: 药渡

基本信息
Efinaconazole(艾氟康唑)由科研制药株式会社和Valeant公司共同研发,首先于2013年10月2日获加拿大卫生部批准,之后于2014年6月6日获得美国食品药品管理局(FDA)批准,于2014年7月4日获得日本医药品医疗器械综合机构(PMDA)批准。由Valeant公司在加拿大上市销售, 商品名为Jublia®。
艾氟康唑是14α-去甲基化酶*制剂抑**。该药适用于治疗由红色毛癣菌和须癣毛癣菌引起的灰指甲。
Jublia®为局部用液体,含量为10%艾氟康唑。推荐剂量为使用流转式涂液器涂抹脚趾,每日1次,共48周。
结构式

作用机制

艾氟康唑抑制真菌14α-脱甲基酶,是一种真菌细胞膜的组成部分。
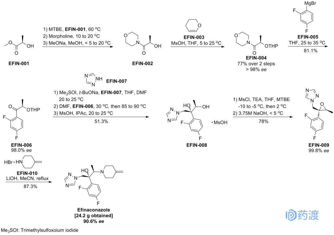
合成路线

研究关键数据


同靶点在研及上市药物
