认识磁粉芯(或粉末磁芯)磁环—磁导率随磁场的变化,即直流偏置特性(DC Bias Performance)。
作为CCM模式下的电感,磁摆幅从磁滞回线看只工作在一个小范围内,即通常电感不仅是单向励磁,而且在CCM下还是小范围进行磁摆幅,如下图,变化磁密Bac只有一小部分,其余均为直流偏置。

典型CCM电感磁滞回线
下面举例说明,几个厂家不同直流偏置
1-美磁(MAGNETICS),任意一种铁硅铝磁芯,尺寸参数如下

磁环示意图

尺寸规格

物理特征
典型的直流偏置特性曲线,横坐标表示是安匝乘积数(A.T),纵坐标表示的是电感系数AL(nH/T2)即纳亨每匝数的平方,可以看出,随着安匝增加,电感系数是不断减小的,安匝数:

安培环路表达式-安匝
在磁路长度确定时,安匝乘积数(A.T或A.N)实质表示的就是磁场,上述是国际单位MKS制表示法(即国际单位制,磁路长度是米"m")

典型的直流偏置特性
假如,以这个规格绕制的一个磁环电感,绕制4匝,那么,当无直流偏置的情况下,电感就等于:

无直流偏置的电感量
当直流偏置电流为100A时,从图中可以看出,安匝乘积等于400A.T或A.N,那么此时,电感系数只有原来152的百分之50左右倍,电感就等于:

直流偏置电感量
所以,我们在评估这类电感时,你需要的电感量,一定要在实际电流情况下去评估,而不是直接带入直流偏置为零的电感系数去计算,实际电流下,一定是电感的一种打折。
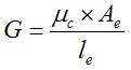
再次说明一下电感系数AL,实质是磁导G,磁导G是磁阻Rm的倒数

磁阻表达式

磁导表达式
uc是磁芯材质的绝对磁导率,比如我们常说的u-125材质是一种相对磁导率,需要转化。
从上面表中,可以看出在直流偏置为"0"时的电感系数为152nH/N2±8%,这个是从一般实际测量得到,典型的电感系数是在1000匝下测得的,如下图是TDG测量的一种数据,可以看出匝数越多,得到的电感系数值月接近理论计算值。

电感系数误差分布
我们也可以通过理论计算得到某种特定磁环的电感系数,算法就是磁导的公式带入磁芯规格参数,如下是通过借助电子表格"EXCEL"得到的理论电感系数,等于154nH/N2。

理论计算电感系数
上面是美磁"MAGNETICS"的直流磁化特性曲线,很直观,我们可以看出电感系数的变化,因为对于电感系数中磁路有效长度Le和磁芯截面积Ae都是定值,随着直流偏置的变化,变化量实质是磁导率的变化。

磁粉芯磁环
下次说明,有些厂商对直流偏置曲线的定义,一般从磁导率的百分比变化去定义,还常常涉及到"拟合曲线"。怎么去解读直流偏置的"拟合曲线"问题。