2013年浙江高考数学 (2013年浙江高考文科数学试题)

2022浙江卷数学试卷及答案,2013年浙江卷数学理科15题

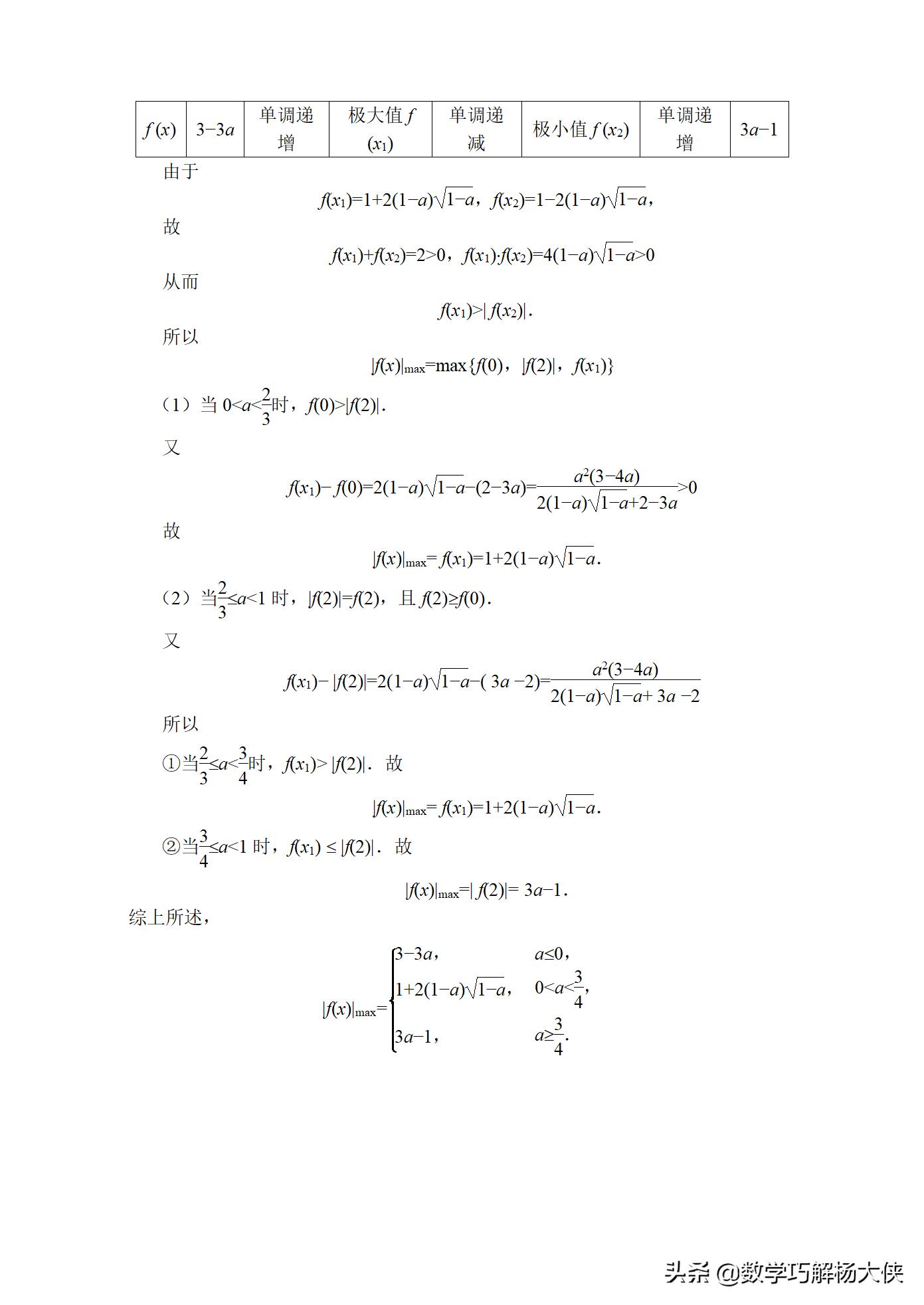
2022浙江卷数学试卷及答案,2013年浙江卷数学理科15题

2022浙江卷数学试卷及答案,2013年浙江卷数学理科15题

2022浙江卷数学试卷及答案,2013年浙江卷数学理科15题

2022浙江卷数学试卷及答案,2013年浙江卷数学理科15题

2022浙江卷数学试卷及答案,2013年浙江卷数学理科15题

2022浙江卷数学试卷及答案,2013年浙江卷数学理科15题

2022浙江卷数学试卷及答案,2013年浙江卷数学理科15题

2022浙江卷数学试卷及答案,2013年浙江卷数学理科15题