日本韩裔污点柔道运动员秋山成勋出现在《唐人街探案3》演员名单上的消息,于社会上引起广泛讨论。在数十年前,他的污点事件被时人戏称为“秋山滑溜溜事件”。
《秋山滑溜溜事件》
撰文 | 姚蔚铭

这个人叫秋山成勋,日本的柔道运动选手,1975年出生是*四代第**日本韩侨。
虽然在日本出生,但国籍却是韩国,他也一直以韩国人自居。
他也秉承了韩国人为了赢而不择一切手段的竞技精神,在柔道比赛中,他想出了前所未有的作弊方式。
2003年的日本国内奥运会选拔赛,秋山成勋功打进决赛。但决赛刚开始没多久,对手就向裁判投诉秋山的道服异常的滑腻,但裁判却认为一个比赛服能有什么猫腻?因此并没有理会,结果秋山打败对手,成为日本柔道代表,代表日本参加世界柔道锦标赛。

在那届锦标赛上,虽然秋山连胜三场,但这三场的对手事后都向组委会抗议秋山的比赛道服太滑了,根本抓不住。
投诉对手比赛道服在柔道比赛的历史上是前所未有的。而且是三场的对手都投诉同一个问题。
当时,秋山辩解说可能是自己洗道服的时候洗衣粉放多了。而国际柔道理事会根本不信,他们要求秋山在接下来的比赛中和对手交换道服进行比赛。
结果也可想而知,交换道服后的秋山没有赢下一场比赛。
这个事情也被日本网友称为"秋山滑溜溜事件"
到底是什么东西让秋山成勋的衣服是如此顺滑的呢?
当然不是他自己所说的洗衣粉了,常规的洗衣服里的主要表面活性剂成分大多为阴非离子复配产物,会和硬水中Ca2+钙离子作用生成钙皂。
钙皂的存在意味着洗涤效果的下降,同时钙皂溶解度很小会以杂质的形式吸附在纤维表面,这样不仅不能润滑衣服,反而衣服手感会发硬发涩。
而真正的答案,就是秋山成勋用了纺织硅油中的氨基改性硅油。
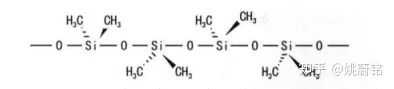
纺织品硅油,以有机聚硅氧烷为例,从分子链的角度看,经过有机聚硅氧烷处理的织物表面会含有自硅氧烷骨架Si-O-Si 这一化学键。

该化学键赋予了分子链 360°旋转的能力,同时,聚硅氧烷内的甲基空间结构相互作用力低,这两方面在减少经过含硅有机柔软剂作用的纤维间的摩擦力起到了重要的作用。
有机聚硅氧烷还可以在分子链上接上不同的*能官**团,从而实现不同的功能。

那为什么要强调秋山成勋在比赛道服上加的是 氨基改性硅油 呢?
这是因为棉纤维在水中时,纤维结构中的—OH羟基弱电离使 表面带负电荷,可以和带正电荷的质子化氨基形成离子键结合;同时有机硅主链与棉纤维结构上的羟基形成氢键结合(还有一定的范德华力)。

两者双重作用可以使氨基改性硅油在纤维表面定向吸附。系统整体的表面自由能都会趋于最小才稳定,Si—O—Si 链段自发的在旋转移动的过程中要尽可能地铺展在表面。
这容易形成氨基与纤维结合而甲基向空气界面分布的单层覆盖,也就是刚才所提到的纤维表面的定向吸附。

柔软剂整理后的面料手感经常有软、滑之分,而“滑”的手感就是氨基改性硅油带来的,与之相对的“软” 手感风格则主要依靠亲水性好的三元共聚硅油。
三元共聚硅油亲水性好,可以更好地深入到纤维内部。所以“软”的手感风格其实是 纤维与纤维之间的摩擦,“滑”的手感风格是 纤维与手之间的摩擦。
在扫描电镜的观察下也可以发现,相同用量情况下,氨基硅油表面更加光滑,也意味着主要残留在表面。

为了进一步确认,在扫描电镜配合能谱(测元素)的观察下,可以直接观察到氨基硅油都存在于表面,而三元共聚硅油则大部分渗入到纤维内部。

这就是面料手感的软、滑有差异的根本原因。
本文原发于知乎,HOA已获转载授权
©版权所有,转载请后台留言申请