
明初(1368年起),今潍坊城的前身潍州城有了御封的城隍,并建起城隍庙予以供奉,一条古巷老街因为城隍庙而得名。自明代至今,城隍庙及与之关联的这条古巷老街一直作为市民生活和城市地域文化的载体之一,在潍坊城一带名声不减。经过了岁月的洗涤,城隍庙建筑群在整体上已面貌全非,可它数百年来形成的人文积淀一直拥有独特的影响力。
古老城隍庙街以庙得名

城隍庙街路北拆除前的面貌。

《潍县志稿》中记载的城隍庙巷。
清代光绪末年的潍县城区地图上,有一条标注为城隍庙巷的古巷,上世纪三十年代的标注则是城隍庙街。除了“*革文**”期间曾改称红旗街,城隍庙街的名称至今没再变动。而“城隍”一词则历经了一千多年的含义演化。 巷宽七米宛如长蛇 从东向西略偏西南 一百多年前的城隍庙巷为一条东西走向的古巷老街,当时的长度在260米左右,宽7米左右,在潍县城里算得上是相对宽阔的街巷。光绪末年的潍县城区地图对这一带的标注很简洁。城隍庙巷的东口为一处十字路口,路口东面向东的老街标注为胡家牌坊,胡家牌坊向东通往附近的梁家巷,路口南面向南的老街标注为治前,即县治前街或县治前的简称,治前向南不远即可到达潍县城的地理中心大十字口,路口北面标注为大门,即潍州-潍县衙门(以下称潍县衙门)的大门。自大门起向北为潍县衙门建筑群的正面入口部分,本地人俗称县门口。也有人将治前加上此正面入口部分统称为县门口。还有人将县门口称为洪家县门口,名称的来源待考。50年前,笔者见到的城隍庙街已成为红旗街的组成部分。沿古巷老街东口西行三四十米,整体走向开始略偏向西南方向。两边临街的房屋建筑按照巷子调整后的走向,每隔一段距离即略向外凸出或略向内缩进,凸出或缩进的幅度都不大,长的往往不到1米,短的则仅有几十厘米,都不明显。古巷老街维持略偏向西南的走向,前行近200米后,即恢复正东正西走向直达西口。这样,整条古巷老街从东到西便像是一条逶迤前行的长蛇。 老巷遵从标注名称 城隍庙街沿用至今 光绪末年,距离城隍庙巷东口70米左右,路北有一条明显窄于城隍庙巷的小巷,标注为仓巷(即后来的仓巷子),通往附近的金巷(即今金巷子)以及潍县城的北城墙下。从仓巷南口沿城隍庙巷继续西行10米左右,路南有一条与城隍庙巷几乎等宽的小巷,标注为南巷,疑似为城隍庙南巷的简称。南巷向南不通,南行70米左右,宽度收窄为不足两米,向南再行30米左右就是巷内最深处民居的门口和居民院落了。南巷北口沿城隍庙巷再向西10米左右,出现一处长方形的小广场。小广场与城隍庙巷路面整体相连,南北长不足27米,东西宽16米多,主体部分位于古巷路南,北沿与古巷北沿基本在一条线上,东、西入口处各建有一座牌坊。小广场南部为一座古色古香的戏楼,北面为城隍庙建筑群的主体部分。两座牌坊和戏楼都是城隍庙的附属建筑物。小广场西口又西行150多米,城隍庙巷西口就呈现在眼前了。西口为一处丁字路口。以丁字路口为界,路口南面向南的老街标注为翰林院街,翰林院街向南通往附近的西门大街;路口北面向北的老街标注为北门大街,北门大街向北可直达潍县城的北门(望海门)并可出城门踏上城外的官道大路。到了上世纪三十年代,这条古巷老街仍记载为城隍庙巷,标注则变成了城隍庙街(以下统称城隍庙街)。而南巷则既无标注又无记载,但附近民众仍称之为南巷。以后,这条古巷老街遵从了上世纪三十年代的标注名称。除了1967年至1981年间与附近的察院前街、新街子、胡家牌坊街合并后称红旗街,城隍庙街的名称没再变动且至今原址尚存。 “城隍”原指城防设施 后来为城池守护神 笔者见到的当代官方对城隍庙街名称来历的解释十分简约:“街以庙得名。”城隍庙则因为庙内供奉的城隍而得名。城隍,古代民众敬称为城隍爷。其实,把“城隍”二字拆解开来,“城”的本义为我国古代都邑四周用于防御的墙垣,包括城墙、城门、城楼、敌台等建筑物在内的所有土建城防设施;“隍”的本义则相对简单,就是指城外绕城挖掘的护城河,有水的护城河称为“池”,无水的护城河称为“隍”。由此可见,“城隍”一词的本义与现在使用频率仍不算低的“城池”一词,基本是同义的,泛指我国古代的城防设施。在我国古代,城隍何时由城防设施人格化、神格化为城池的守护神,则未见确切记载。目前笔者见到的有文字记载的、最早的城隍,于三国吴赤乌二年(239),出现在今安徽芜湖,为三国时期的吴将、芜湖侯徐盛。徐盛是目前笔者见到的最早的将城防设施人格化、神格化为城池守护神的城隍。此后的历朝历代,各地有人物原型的城隍越来越多。例如江苏镇江、安徽宁国等地的城隍为汉代将领纪信,江西赣州、吉安等地则以汉代将领灌婴为城隍等等,都是将历史上的著名武将尊奉为城隍。起初,城隍多为有原型人物的城池守护神。对城隍的祭祀活动以民间自发者为多。唐代的不少官员、学者热衷于此道,如著名人物张说有《祭城隍文》、杜牧有《祭黄州城隍文》、韩愈有《潮州祭神文》等作品传世。城隍祭祀活动便逐渐带有了官方色彩。到了元代,甚至皇帝都为地方城隍封爵,如元代天历二年(1329)文宗皇帝封大都(今北京)城隍为“护国保宁王”等等,但都仅为特例。笔者见到的记载,我国明代以前的城隍祭祀活动无论是民间还是官方,多以自选动作为主。 明朝大封天下城隍 各地纷纷奉旨建庙 明代洪武二年(1369),太祖皇帝(即朱元璋)大封天下城隍。京都应天府(府治今江苏南京)城隍封号为“承天鉴国司民升福明灵王”,开封府(府治今河南开封)城隍封号为“承天鉴国司民显灵王”,临濠府(府治今安徽凤阳)城隍封号为“承天鉴国司民贞佑王”,太平府(府治今安徽当涂)城隍封号为“承天鉴国司民英烈王”,和州(州治今安徽和县)城隍封号为“承天鉴国司民灵护王”,滁州(州治今安徽滁州)城隍封号为“承天鉴国司民灵佑王”。这六个地方,在明初都有特殊地位,城隍都是正一品官阶。国内其他各府、州、县、府城隍封号为“鉴察司民威灵公”,正二品官阶;州城隍封号为“鉴察司民灵佑侯”,正三品官阶;县城隍封号为“鉴察司民显佑伯”,正四品官阶。当时的潍州城隍也得到了“鉴察司民灵佑侯”的封号,为正三品官阶。朝廷仅仅过了一年就进行了调整。此后,朝廷很少提及各地城隍的封号和官阶,京都应天府城隍为都城隍,其余各府、州、县城隍则分别称某某府、州、县城隍。而有的官员、士绅在与城隍有关的著述中,仍会提及明太祖御封本地城隍的封号和官阶。各地纷纷奉旨建起城隍庙,而多地城隍为无原型人物的抽象的神明。笔者未见潍州-潍县城隍的原型人物记载为何人。在国家制度层面,各地城隍庙成为官庙,城隍演变为国家行使地方神权的重要载体。供奉、祭祀城隍成为各地地方官署必须履行的职责。潍州-潍县城隍庙(以下简称城隍庙)也是在明代洪武年间兴建的。清代朝廷对御封城隍的方法有所调整。但整个明、清时期,我国各地城隍庙和城隍的作用无多大变化。
建筑格局类似潍县衙门

已成为民居的城隍庙大殿及前出厦(整修前的面貌)。

已成为民居的城隍庙过厅(整修前的面貌)。
今潍坊城一带有记载的城隍庙建于明代洪武年间,建筑格局与历史上的潍县衙门相仿,彰显出城隍庙的官庙性质。从布局、职能、设计等方面看,城隍庙、城隍的作用相当于影子官署,颇具威慑力。 建筑群居于老街中部 沿中轴线呈对称排列 人们见到的并在相关著述中描述的完整的城隍庙建筑群,坐落于城隍庙街中部,包括庙前小广场及其附属建筑。城隍庙建筑群与位于这条古巷老街东口以北、历史上的潍县衙门建筑群一样,分布格局都是沿着一条南北走向的中轴线,在中轴线两边基本对称排列的。笔者根据有关记载、标注仔细推算得到的结果是,这条中轴线长约96米,南端起自戏楼南沿,北端止于后殿北沿。因而,城隍庙建筑群整体上是跨过城隍庙街的。沿这条中轴线自南向北,城隍庙建筑群的主要建筑物戏楼、大门、影壁、过厅、正殿、后殿,依次对称排列。其中,戏楼为坐南面北,其他建筑都是坐北面南。戏楼基础部分为1.5米高的石砌台基,台基上建有单出檐的戏楼主体部分。戏楼前部由四条承重台柱撑起。四条台柱都书有潍县清代乾隆初年知县郑燮(郑板桥)题写的楹联。楹联共两对。按照戏楼坐向,第一对分别在第一条、第四条台柱上,左联为“仪凤箫韶遥想当年节奏”,右联为“文衣康乐休夸后代淫哇”;第二对则分别在第二条、第三条台柱上,左联为“切齿漫嫌前半本”,右联为“平情只在局终头”。戏楼上方横匾为“神之听之”。戏楼南北很窄,宽不过4米,没有后台,在戏楼的西旁有两间库房,有石台阶与戏楼相连,做后台用。大门的建筑规模为三间门厅,悬挂“城隍庙”大字牌匾,中间是供人们出入的门道,左右两间都是拴马的地方,各有马夫牵马的泥塑像。庙门为朱红色,其左、右前方不远处各有一米半高的石狮。石狮左、右前方不远处各有一座中军亭,为乐队演奏的地方。两座中军亭基础部分为一座1.5米高、3米见方的台基,上面建有单出檐四柱亭。亭外不远处各有一座跨街牌坊,主色也是朱红色。按照大门坐向,左右两座牌坊上方分别悬挂着书有“保障金汤”“福绥黎庶”的横匾。大门平时并不开启。大门东有一角门,平时由此出入。进入庙门向北,沿一条笔直甬道到达影壁并于两边绕过影壁后,沿甬道继续向北即到达过厅的门前。甬道与城隍庙建筑群的中轴线是重合的。过厅,有人也称为二门,共三间,供奉城隍坐骑,称神马。过厅前部门柱上镌刻着清代嘉庆年间潍县知县孙世栋题写的楹联。按照过厅坐向,左联为“享祀平寿侯阴阳默相”,右联为“鉴临潍水地泾渭攸分”。过厅前院,甬道的东西两侧,厢房为仓房、杂物间。厢房以东、以西,各建有三排坐北面南的房屋,自过厅南面一直排列到大门南沿以南的东西两侧。其中,靠近大门两边的房屋为庙户(庙务人员及其家属,时称庙户)的住所。城隍庙大门东西两侧都有庙户出入的小门。 城隍庙如影子官署 对官民有威慑作用 过厅后门外,仍为一条与过厅前院等宽、与城隍庙建筑群中轴线重合的笔直甬道。沿甬道继续向北即到达正殿殿前小广场。小广场紧临正殿出厦。正殿为5间,供奉泥塑城隍坐像。城隍穿官袍、戴乌纱,正襟危坐,全副仪仗分列左右。正上方悬挂横匾,上书“惟德是辅”。正殿前出厦为5间,东西两侧各有耳房。正殿后部的东西两侧各有一条穿廊,分别与正殿后院北端的后殿两侧相连。正殿后门外也有一条与城隍庙建筑群中轴线重合的笔直甬道通到后殿正门前。这条甬道略窄于前面的甬道。后殿共5间,正中供奉城隍木雕神像。后殿东侧为一处方形厢房,供奉城隍夫人。城隍夫人为盖着红绫被子、侧身睡卧在炕台上的神像,民众尊称为卧奶奶。后殿在供奉城隍木雕神像以前,也称寝宫、寝堂或后寝堂。正殿前部的东西两侧有穿廊与前院两侧、与甬道平行的厢房相连。这两列厢房时称东庑、西庑,都是7间,从后殿前部向南一直延伸到正殿前方的过厅后部为止,但这两列厢房与过厅东西两侧不相连。厢房内塑有城隍的吏、户、礼、兵、刑、工六曹等属官,与潍县衙门正堂前有吏、户、礼、兵、刑、工六房相同。可见,城隍庙建筑群前部“办公”、后部“居住”的功能分布,也与潍县衙门相仿。不同的是,廊屋内还塑有十殿阎罗、地狱场景及各类酷刑的群像,阴森可怖。每座阎罗殿都有分工,死后孽鬼至此,逐殿过关,逃过一殿逃不过二殿。每殿都有夜叉持叉,小鬼手拿蒺藜锤,赶打受刑者。地狱酷刑有抱铜柱炮烙、卧铁床火烙、锯解、拔舌、挖眼、沸汤煮、油锅炸、剑树刀山、火海、寒冰、苦海,各类刑罚应有尽有。揭示的意义在于:无论官、民,只要在人间做了坏事,死后到阴间会得到报应。每座阎罗殿都题有对联,是教化官、民的内容。明清时期,官民都认同城隍是抵御外敌入侵、保护城池安全、辟邪御凶的保护神。不仅如此,大家还认同现实世界为阳世,死亡后的未知世界为阴间。而城隍不但是各地阴间的知府、知州、知县等地方父母官,而且是执掌各地地狱的惩恶扬善、正直无私的神明。从城隍庙建筑布局、城隍职能与当时的本地官署、官员基本仿似的设计都说明,城隍庙、城隍的作用相当于影子官署、影子父母官,颇具威慑力。其威慑作用在于警示现实世界的官、民都要心存敬畏之心,为官、做事、为人都要清清白白、老老实实,否则会遭受城隍爷的无情惩罚,上刀山、下油锅都是可能的。
◎相关链接十殿阎罗名称与对联 一殿阎罗广秦王。对联:辞别人间初做鬼,凄凉地下始逢君。二殿阎罗楚江王。对联:要向三曹重对案,岂能一跳两翻身。三殿阎罗宋帝王。对联:见我才知三稽首,问君何不一回头。四殿阎罗五官王。对联:恶骨磨考砻四转,阴刑惨刻尚千般。五殿阎罗阎罗天子。对联:朽骨犹罹千万苦,罪身初度五重关。六殿阎罗卞成王。对联:已经铁杵千回锉,惟望莲花六度开。七殿阎罗泰山王。对联:七魄已同齑粉碎,三关犹念转轮遥。八殿阎罗都市王。对联:私汝难开三面网,劝君早服八关斋。九殿阎罗平等王。对联:黄泉已做千年鬼,黑狱空留九转魂。十殿阎罗转轮王。对联:兹来始有投生望,此去还留作畜忧。
明清时期数次筹款修缮

城隍庙戏楼,郑板桥所题对联依稀可辨。

城隍庙门前右侧的“福绥黎庶”牌坊。
明代潍州所建城隍庙布局状况已经无考,相关著述中的城隍庙建筑群,以及现在能够见到的部分建筑物,都是清代乾隆、嘉庆年间修缮后的样子。明清时期,城隍庙经过多次修缮,其中两次大修之后都留下了碑文。明成化二年(1466)为记载中的城隍庙第一次重修。当时,城隍庙已破陋不堪,不乏雀巢鼠穴。潍县县丞张杰拿出经费倡导修缮,绅商们也自愿出钱、出工积极支持。到了清康熙六年(1667),缙绅于凤翼等倡修城隍庙。但是不久后在康熙十一年(1672)的地震中,城隍庙再次遭到严重破坏。此后,贡生陈震元倡导重修。乾隆十四年(1749),城隍庙在大雨中受损严重。三年后,潍县知县郑板桥主持修缮,缙绅人士州同知陈尚志、田廷琳、谭信、郭耀章,诸生陈翠,监生王尔杰、谭宏鼎力襄助。修缮后的城隍庙东西两廊比原来增高三尺,殿厦、寝堂、神像、中军亭台重新抬高、加固,并新建了一座戏楼(时称演剧楼)、两座过街牌坊。这就是潍县民国中期标注、记载下的城隍庙建筑群。嘉庆年间,潍县知县孙世栋又一次重修城隍庙,并在过厅廊柱上留下了一对楹联。这对楹联至今在原处保存完好。其中,明代和清代的两次大修之后都留下了碑文,分别是时任潍县教谕丁仕能所撰《潍县重修城隍庙记》、时任潍县知县郑板桥所撰《新修城隍庙碑记》。两篇碑文对城隍的来源以及城隍祭祈、城隍庙修缮的意义和作用等,都进行了阐述。郑板桥还幽默地指出,城隍本是城防实物,既然能够以人道进行祭祈,让他享受歌舞的乐趣,有何不可。所以这次大修,增建一座戏楼,也不算是多事吧。友人对这两篇碑文进行了点注,笔者在此基础上剪辑、注音并划分段落,供读者参考。 ◎相关链接丁仕能《潍县重修城隍庙记》(节选) 城以保民禁奸,通节内外;隍即城下天堑也。有功于人,岂云小补?自古有功于人者法当祀,则夫城隍在祀典之列,实有官君子所当务也。潍,古青之名郡。《书》曰“潍淄其道”是已!县治之西百步许,城隍庙在焉。迹神之自,莫可详考,所可考者,我太祖高皇帝封曰“灵佑侯”,盖“灵”则随感而通,“佑”则锡善以福,备见敕命。庙宇廊庑,前长民者修葺,经久上雨旁风.雀巢鼠穴,倾圮日剧。天顺癸未,灵石张公杰由乡荐登国学,还天官,来丞潍县,以故事礼谒祠下,顾敝弗支,慨然喟叹曰:“吾吏兹土,神人具依。苟神祭不供,人事不治,将何以副圣天子责任?治民事神之意耶?”爰自下车,廉以律己,仁以抚下,明以烛微,公以除弊。以故政化大洽,民用休阜,上下怗然无事。今上成化丙戍,乃谋请寮寀,谓:“城隍与有土者相表里,捍灾御惠,保障一方,所以同辅国家,安养生民也,岂彼淫祠可方?今敝陋若斯,宁忍视于橑砾中而不经营,可乎?”遂鸠工计料,卓有成算。贮材木,陶砖瓦,烈灰石,如山如阜,绰然有羡。躬自往来。董匠作曰:“非壮丽坚久而无以伸尊严神祠之敬,亦岂吾心所安哉?”是以费皆官给,民咸子采而翕然劝助,如蜂屯蚁。附者又自若也。若台若基,增筑高广;如甬如 ,创缮坚完。栋檩梁桷之朽腐者易其旧,门屋廊庑之荒顿者更以新,神各肖像,使装以形,黝垩斫砻,涂塈丹雘,匪直易檐改涂之而已。建正祠五楹,突兀雄峙.嵯峨塽皑,尊城隍于其中。后纵为卷屋三楹,横为寝堂五楹,妥神栖矣。前东为庑七楹,西为庑七楹,分六曹也。前门三楹揭以庙榜,二门三楹列以神马,又所以通神之往来,以起人之钦仰也。及旧所宜有而未备者,悉皆备之。玄荫邃深,轮焉奂焉,岿然于潍邑之中,视之往昔,奚翅倍蓰。工始于春之三月,迄于夏之五月。 郑板桥《新修城隍庙碑记》(节选) 一角四足而毛者为麟,两翼两足而文采者为凤,无足而以龃(jǔ)龉(yǔ)行者为蛇,上下震电、风霆云雷、有足而无可用者为龙。各一其名,各一其物,不相袭也。故仰而视之,苍然者天也:俯而临之,块然者地也。其中之耳目口鼻手足而能言、衣冠揖让而能礼者,人也。岂有苍然之天而又耳目口鼻而人者哉?自周公以来,称为上帝,而俗世又呼为玉皇。于是耳目口鼻手足冕旈执玉而人之:而又写之以金,范之以土,刻之以木,琢之以玉;而又从之以妙龄之官、陪之以武毅之将。天下后世,遂裒裒然从而人之,俨在其上,俨在其左右矣。至如府州县邑皆有城,如环无端,齿齿啮(niè)啮者是也;城之外有隍,抱城而流,汤汤汨汨者是也。又何必乌纱袍笏而人之乎?而四海之大,九州之众,莫不以人祀之;而又予之以祸福之权,授之以死生之柄;而又两廊森肃,陪以十殿之王;而又有刀花、剑树、铜舌、铁狗、黑风、蒸鬲(lì)以惧之。而人亦裒裒然从而惧之矣。非惟人惧之,吾亦惧之。每至殿庭之后.寝宫之前,其窗阴阴,其风吸吸,吾亦毛发竖栗,状如有鬼音,乃知古帝王神道设教不虚也。子产曰:“凡此所以为媚也。愚民不媚不信。”然乎!然乎!潍邑城隍庙在县治西,颇整翼。十四年大雨,两廊坏,东廊更甚,见雨伤之。谋葺新于谙绅士,咸曰:“俞。”爰是重新两廊,高于旧者三尺,其殿厦、寝室、神像、鼓钟、筍(sǔn)虡(jù)(古代悬挂钟磬的架子),以坚以焕。而于大门之外,新立演剧楼居一所,费及千千,不且多事乎哉!岂有神而好戏者乎?是又不然,《曹娥碑》云:“盱(xū)能扶节安歌,婆娑乐神。”则歌舞迎神,古人已累有之矣。诗云:“琴瑟击鼓,以迓田祖。”夫田果有祖,田祖果爱琴瑟,谁则闻知?不过因人心之报称,以致其重叠爱媚于尔大神尔。今城隍既以人道祀之,何必不以歌舞之事娱之哉!况金元院本,演古劝今,情神刻肖,令人激昂慷慨,欢喜悲号,其有功于世不少。至于鄙俚之私,*欲情**之昵,直可置弗复论耳。则演剧之楼,亦不为多事也。总之,虑羲、神农、黄帝、尧、舜、禹、汤、文、武、周公、孔子,人而神者也,当以人道祀之;天地、日月、风雷、山川、河岳、社稷、城隍、中霤(liū)、井灶,神而不人者也,不当以人道祀之。然自古圣人亦皆以人道祀之矣。夫茧粟握尺之牛,太羹元酒之味,大路越席之素,瑚琏盙(fǔ)簋(guǐ)之华,天地神祗岂尝食之饮之驱之御之哉?盖在天之声色臭味不可仿佛,姑就人心之慕愿,以致其崇极云尔。若是则城隍庙碑记之作,非为一乡一邑而言,直可探千古礼意矣。
庙会热闹非凡好戏连台

《潍县志稿》中对城隍庙以及城隍祭祈的记载。

城隍庙湾2000年的面貌。
潍县知县郑板桥主持修缮城隍庙增建戏楼,活跃了此处文化和经济活动。每逢庙会,这里人山人海,戏班轮番上阵。正月里小广场也是繁华的年货市场。另外,属城隍庙组成部分的一处湾塘,与潍县城里传说中的“九湾不显”有关。 明清城隍皆为御封 祭祈活动正规隆重 明、清时期,城隍都是御封的,国家要求各地官署按照规制祭祈城隍作为行使地方神权的重要内容,官、民也都认同城隍是各地的影子知府、知州、知县,而且是执掌各地地狱的惩恶扬善、正直无私的神明,各地的城隍祭祈活动便在显得正规和隆重的同时,带有鲜明的地方特色。据相关记载,清代潍县官方的城隍祭祈活动比较频繁。潍县官署有关方面在农历每月初一和十五都拜谒城隍,这是规定的平时活动。每年的清明节、中元节(农历七月十五)、寒衣节(农历十月初一),官方都要在厉坛(也称邑厉坛)祭奠那些享受不到正常祭祈的孤魂厉鬼。潍县厉坛建于明代洪武年间,位于潍县城北门(望海门)外1里左右处,1936年迁建于白狼河(今白浪河)西岸某处。因孤魂厉鬼都在城隍的辖制之下,故厉坛的祭奠活动都必须请出城隍作为主神享受祭祈。官方还要分别在每年农历二月、八月初的戊日到风云雷雨山川坛,代表朝廷祭祈上苍,祈求风调雨顺,国泰民安。祭祈时,中间设置风、云、雷、雨牌位,代表天象,祈风调雨顺;左侧设山、川牌位,代表地象,祈五谷丰登,右侧设城隍牌位,代表本地主事的神明。故在该祭祈活动中,城隍为“陪同”享受祭祈的神明。潍县风云雷雨山川坛位于潍县城南门(安定门)外1里左右处,建于明代洪武年间,万历三十七年(1609)重修。潍县城隍还是一位普通民众平时也可以祭拜的神明。农历每月的初一和十五,民众都能够去城隍庙祭拜、许愿,无非就是祈求帮助辟邪御凶、达成心愿,保佑平平安安、吉祥顺利。农历五月初一为潍县城隍的诞辰。每年这一天的祭祈活动称之为城隍“出巡”,场面最为隆重,官、民的参与度也最为广泛。 小广场可容纳千人 戏楼丰富人们生活 自从城隍庙前建起戏楼,有了小广场,戏楼的职能便是名副其实的戏剧舞台,小广场就是观众聚集看戏的地方。演戏,本地方言叫“演剧”,看戏称“看演剧的”。不知这些方言是否来源于郑板桥当年的《新修城隍庙碑记》。他在文中将自己主持修建的城隍庙戏楼称为“演剧楼居”“演剧之楼”。五月初一为城隍诞辰日,初一至初五为城隍庙庙会。城隍庙及戏楼和小广场一带都是热闹的去处。民众为了求雨、祈福、祛病、消灾,祭拜城隍并许愿后,一般都要再来城隍庙烧香、还愿。庙会期间,官商士绅纷纷出资请来戏班。往往是这个戏班刚唱完,那个戏班又接上,好戏连台,唱个不休。平时的每月初一、十五,民众在城隍庙祭祈,许了一台戏的,也按时还愿,请来戏班唱戏。地方有名的戏班有“三庆班”“四喜班”“永福班”等,都曾在城隍庙献艺。城隍庙前小广场据说可容纳近千人,其作用则不只用于民众看戏和参与其他文化娱乐活动,正月初一至十五,小广场也是繁华的年货市场。这个时间里,市面上所有的店铺都按惯例关门休业过大年,而城隍庙前的戏楼小广场却热闹非凡。卖年货的、卖儿童玩具的,逛庙会的人山人海。城隍庙庙会期间,城隍庙街自两座过街牌坊向外,道旁出现很多摊点,香纸、儿童玩具、糯米人、糖稀人等等应有尽有。欢喜团儿(本地称“欢气里团儿”,一种传统膨化食品)挂得像一棵棵彩树,糖葫芦(本地称“粒糕”)插在草把上叫卖。特别是卖茶汤的那把大锡壶,银白雪亮,格外显眼。茶汤是炒米面加糖用开水冲熟,状如稀粥,又香又甜。加上香客、游人熙熙攘攘,孩子们要这要那,显得格外热闹。潍县上世纪初到上世纪二十年代的文人、民间医生裴星川在一首《竹枝词》中这样描绘城隍庙及戏楼和小广场一带的市井景象:衣裳鞋帽通身新,互拜亲朋与四邻。香纸媚神求福佑,城隍庙里聚人群。儿童得意舞婆娑,庙外浮摊玩具多。木制刀枪泥老虎,小型皮鼓小铜锣。城隍庙外大戏楼,板桥题字最风流。酬绅还愿烦优孟,正月接连演不休。 潍县城里“九湾不显” 城隍庙湾为其中之一 在城隍庙建筑群的正西方,有一处湾塘,本地人称城隍庙湾,整个湾塘都在城隍庙围墙内,为城隍庙的组成部分。城隍庙湾南起正殿前院西厢房南沿稍偏北以西不远处,北到后寝堂西穿廊中部以西不远处,形状不规则。笔者根据相关记载和标注仔细推算得到的结果是,上世纪三十年代的城隍庙湾,南北主体长约41米,西南部约36米;东西主体宽约26米,东南部不足18米。传说城隍庙湾为潍县城里“九湾不显”的湾塘之一。顾名思义,“九湾不显”指潍县城里因其藏匿在僻巷、官方机构、民居之中,不容易被人发现的9处湾塘。其余8处湾塘分别位于张尔忠故居内(今城隍庙小区南区北部)、北马道杜家过道内(今十笏园小区北部,清代光绪末年的标注为油坊湾)、察院前街路南巷内(今泛海大酒店一带)、新街子路北巷内(今曹家巷小区西南部)、塘子过道内(今和平广场一带)、郭宅街养济院内(今郭宅街中部)、东门大街东岳庙内(今十笏园文化街区东南部)。据说“九湾”还包括射步亭湾(今松园子小区东南部)、胡家牌坊路南巷内的湾塘(今十笏园文化街区魁星楼一带)。笔者在童年时期见到的仓巷子北段的两处湾塘(今城隍庙小区北区东南部)也具有不容易发现的特点,尽管未曾听过这两处湾塘也属于“九湾”的说法。综上所述,传说的“九湾”也可能不是实数,而是指潍县城里不易被人发现的湾塘十分众多的意思。至于“九湾”的功能和作用,有人在相关著述中说,潍县城里一带以前无排水管网。“九湾”与城里其他湾塘一样,都起到雨季汇集附近的降水、缓冲内涝的作用。有老人回忆,只要不是酷旱之年,众多湾塘一般不会干涸。附近民众就近取水救火也是很方便的。可见,众多湾塘还是天然的消防设施。
积淀久远富含人文底蕴

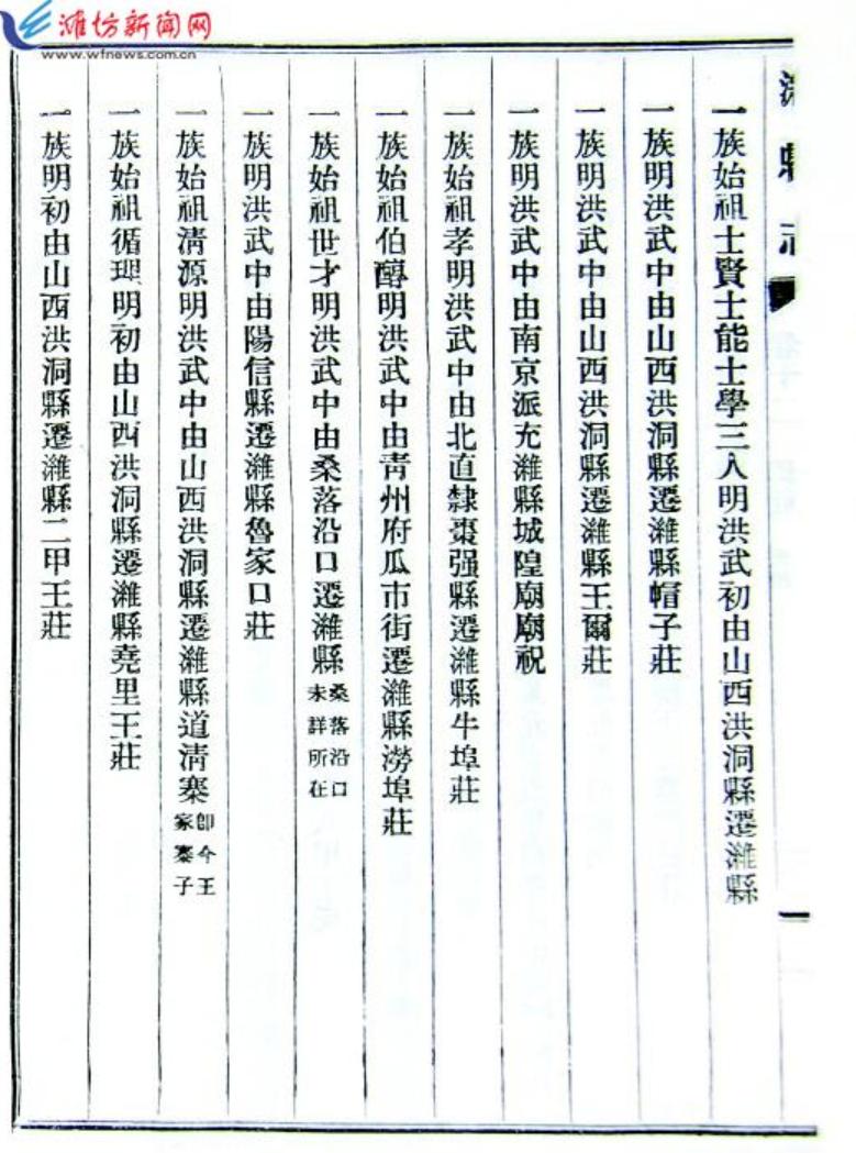
《潍县志稿》中对充任城隍庙庙祝王氏一族的记载。

《潍县志稿》中对城隍庙街徐氏一族的记载。
城隍庙街除了“街以庙得名”,在记载中也是积淀数百年、富含人文底蕴的地域。明末名宦张尔忠、清代进士陈应聘、学者王延年父子的宅第,都坐落在城隍庙区域。 明初被选充任庙祝 王氏一族传承久远 潍县上世纪三十年代有记载说:有王氏一族的始祖,明代洪武中期由南京选派,充任潍县城隍庙庙祝,即庙里管香火的人。直到几百年后,潍县公安总局进驻城隍庙,庙祝仍为该族王氏成员。据说,明初太祖皇帝大封城隍的同时,还为各地城隍庙配备了专职庙正(庙祝),这一职务负责各地城隍庙的日常祭祀和管理,在同一家族中世代传承。毋庸置疑,上世纪三十年代标注的潍县城隍庙庙户也都属该族王氏。该族王氏经过世代繁衍,成为潍县城里人数众多的家族之一。直至解放前,城隍庙街老住户中,该族王氏仍占有不小的比例。特别是城隍庙附近的住户,几乎都是姓王的。该族王氏是目前笔者见到的城隍庙街一带定居和延续时间最长的族群之一。但除了作庙正(庙祝)、庙户,笔者未见该族王氏的其他事迹。 城隍庙戏楼以南 曾是 张尔 忠家后花园 张尔忠,明代崇祯四年(1631年)进士,历任临漳知县、山西道御史、陕西巡按、佥都御史并陕西巡抚等官职,为明末潍县籍名宦。当时,正值清兵进犯和各地农民反朝廷武装风起云涌的乱世。在临漳,张尔忠招募兵勇,整修城防,每天自早至晚带兵训练,与士兵同甘苦。来犯清兵见守卫严密而不敢攻城;在山西,他受命疏通河道,兼任防守和疏浚漕运的重任。他一边练兵布防,一边组织人力加紧施工。河道很快疏通,漕粮安然抵京;在陕西,他弹劾布政使和按察使,惩治咸阳、长安两地的贪腐知县。他还领受皇命,会同陕西总督孙传廷诱杀败兵之将、纵兵殃民的总兵贺人龙,并施计短期内平定贺人龙残部兵乱。他算得上是明末的一位能臣,每任一职,都有相当的业绩,故深得崇祯皇帝赏识。他为官十年,就由一个知县升迁到了封疆大吏。崇祯十五年(1642),张尔忠辞官回潍,为官11年。当年年底,清军*攻围**潍县城。他与郭尚友、胡振奇等离职返乡官员,协同知县周亮工与军民誓死守城。他分工扼守北城墙,冒着箭雨在城顶来回督战。某日,城墙被攻破一个缺口。他率军击退清兵后抢修城墙时,儿子不幸掉到了城外墙下。有人要开城门营救。他厉声喝止说,为保卫城池落城下者不止一人。因为是我的儿子,就该冒险开城门抢救吗?他的言行鼓舞了守城军民的斗志。全城军民奋力抗击,终于迫使清军无功而退。笔者未曾听说过潍县城隍有人物原型。明末潍县人张尔忠,无论是他为官11年、桩桩件件的文治武功,还是他在潍县城保卫战中的贡献和牺牲,都近乎完美地诠释了保境安民的本意。因而他是有资格做潍县城隍人物原型的。张尔忠当年在潍县宅第的大门原来位于大十字口西(今东风西街)路北。清代,张宅转手卖给本地士绅陈应聘。陈应聘,清代道光十三年(1833)进士。历任四川新都、岳池知县、广东新会知县、署韶州知府兼南韶连道员。任内也有不少施行善政、勤慎安民、守城保境方面的事迹。离任后,新会县民众曾设立生祠敬奉他。张宅转手变为陈宅后,陈家将大门改置在了城隍庙巷戏楼以西路南处,在门前竖起两支旗杆,并安放上马石。原张尔忠宅第后花园的荷花池位于城隍庙戏楼以南,面积约400平方米,池中有泉。陈家在池边立了一块石碑,上刻“瑞应泉”三字。后来泉水枯竭,荷花池废。 清代学者王延年家 坐落在城隍庙以西 城隍庙街的路北、城隍庙以西,坐落着清代本地缙绅、学者王延年、王之翰父子的宅第。王延年,嘉庆二十二年(1817)进士,曾任山西长子知县,以母病离职还乡,开设私塾馆教授乡里子弟。他的学生参加科举考试,46人考中举人,8人考中进士。仅道光二十四年(1844),就有他的儿子王之翰与学生宋玉珂同时考中进士。王之翰,道光二十四年(1844)进士,历任授翰林院编修、河南乡试副考官、顺天乡试同考官、广东乡试正考官、内阁学士兼礼部侍郎、文渊阁直阁事等官职。他在潍县丧亲守孝期间,曾为后来科举考试中了状元的潍县人曹鸿勋授课。他离职返乡时,家境清贫。他先后在顺德府(府治今河北邢台)龙岗书院、广平府(府治今河北永年)清晖书院担任主讲,他病故时任济南泺源书院山长。他的学生追赠他“文敏先生”的称号。他工诗词,精书法,创作的《九九消寒歌》在本地曾广泛流传,家喻户晓。王延年、王之翰父子宅第的建筑规模包括五排房屋、四个院落,从南向北依次是厅房、正房、偏房、下人房和磨房及牲口棚。厅房三间,最大最气派,是接待客人和朋友的地方。前三排房子之间是相通的,可以通过厅房的后门到正房,再由正房的后门到偏房。正房地下深处建有一个能容纳多人的地窖(本地称地窨子),窖内有房间、灯台、通气孔、厕所等设施,平时可以储粮存物外,遇到战乱可以入窖躲避。下人房和磨房及牲口棚则单独成院。直到2013年,厅房和正房原址尚存。其中正房及地窖保存最为完好。而偏房、下人房和磨房及牲口棚都已不复存在。 潍县徐氏共有十四族 徐氏先祠紧邻仓巷子 在城隍庙街仓巷(仓巷子)口以东路北有一处传统院落,本地人称之为徐氏家庙。据说1912至1949年间,该处徐氏家庙的正式名称为徐氏先祠,大门三间为一正门两挂耳房,大门正中高悬匾牌,书有金光闪闪四个大字“徐氏先祠”。平时大门不开启,走西耳房便门。大门北为窄长小院。进小院东北角门是祠堂正院,左右栽有两棵矗立挺拔的三学士老柏树。正面三间祠堂宽敞高大,拔台明柱出厦,屋顶覆盖琉璃瓦、哈巴狗、纲插兽。室内主设施是供奉始祖牌位的墙阁楼,阁楼前面是供奉用的香案,香案底下有执行家法用的一头圆、一头扁的堂棍。按照潍县上世纪三十年代的相关记载,潍县徐氏共有14族。其中一族的始祖徐士贤,明代洪武十年(1377)由武定州桑落树迁至潍县城内县门口以西。但除此外,未见该族的其他记载。从位置上看,该处徐氏先祠当时应该是该族的族产。
部分建筑尚存修旧如旧

城隍庙大殿及前出厦顶端整修一新。

整修一新的城隍庙过厅全貌。
我国在经历了新文化运动后,民主、科学思想日益传播开来。潍县也与各地一样,城隍祭祈活动逐步终止。城隍庙历经纷繁变迁,至今部分主体建筑物原址尚存,并正在修旧如旧中。 官方城隍祭祈终止 公安总局进驻办公 潍县最后的城隍“出巡”发生于1923年,标志着官方的城隍祭祈活动从此终止。庙前每年五月初一至初五的城隍庙庙会则延续了几年。记载显示上世纪三十年代潍县境内的会、集里面就已经没有城隍庙会了。1929年,潍县公安总局进驻城隍庙,在此办公。当时的公安总局拥有175名警务人员和职员,下辖东关(今属奎文区东关街道辖区)、坊子(今属坊子区坊城街道辖区)两个分局。 潍县公安总局的前身是成立于清光绪三十一年(1905)的巡警局,山东巡抚杨士骧认为潍县是铁路要站而设立。1912年,改巡警局为警区。1914年,警区改为警察所,县知事兼所长。1917年,改警察所为警察署。同年成立警备队(一度称武装警察),县知事兼领队官。此后潍县警务机构的名称在“警察所”与“警察署”之间数次来回变动。1928年警察所合并于警备队。同年设立公安局,以警备队队长兼代局长。以上警务、公安机构办公地点不详,但根据清末巡警局设立原因分析,笔者认为应该在潍县火车站(今潍坊火车站)一带。1929年,警备队维持地方有功,改为山东暂编第七旅,开赴济南。同年设立公安总局,办公地点就设在了城隍庙。按照上世纪三十年代的标注,潍县公安总局驻城隍庙期间的机构分布大致是:正殿的前出厦,中间为局长室,勤务室和巡察室分别在前出厦的东西耳房。正殿原来的城隍泥塑神像去向不明。正殿前院东厢房从南到北依次为讲堂、医官室、马警室、戒烟(*片鸦**烟)所;西厢房从南到北依次为巡官室、卫生队、警棚室。两列厢房原来的城隍吏、户、礼、兵、刑、工六曹等属官,十殿阎罗、地狱场景及各类酷刑的群像也不知去向。另外,过厅前院西厢房也有一处勤务室。后殿东面、东穿廊以北,即整个建筑群最东北端、原来供奉城隍夫人的厢房为拘留所。去拘留所需要七弯八绕,线路十分复杂,以方便看管。城隍夫人卧像也不见了。1938年1月,日寇侵占潍县前夕,公安总局离开城隍庙,随同县政府撤出潍县城。同年6月,日伪潍县警务局设立,地址也在城隍庙内。1940年3月,日伪警务局改为日伪潍县警察所。日伪时期,城隍庙内所有的泥塑像毁坏殆尽,只保存了后殿的城隍木雕像。日寇投降后,1945年10月设立潍县警察局,地址仍在城隍庙内,延续至1948年4月潍县解放。 成为*物文**保护单位 陆续拨款修缮房屋 潍县城解放后,潍坊特别市公安局曾在城隍庙办过两期警校,训练新入伍的民警。城隍庙在1949年为潍坊特别市公安局西城分局(按照当时的行政区划,称县城分局似更符合惯例。待考。)所在地。1950年分局改为潍坊市公安局第一派出所。以后,城隍庙房产移交给市政府,曾作为潍坊市市直机关学校的校址。几经辗转,城隍庙正殿以南的区域以后成了潍坊三中教师宿舍,部分房屋卖给了居民。1966年,潍坊市博物馆迁入城隍庙。正殿、后殿及两者之间的部分房屋为博物馆所在地。潍坊市博物馆成立于1962年,办公地点与潍坊市手工业管理局同院,原址位于今东风西街曹家巷口以西路南一带。1964年迁至俗称“黄楼”的建筑内,原址位于今胜利西街向阳路口以西路北一带。1978年博物馆由城隍庙迁往十笏园,这里成了博物馆的西仓库。1980年城隍庙建筑群确定为潍坊市重点*物文**保护单位。1982年潍坊市拨款修缮正殿、后殿及部分房屋。1992年城隍庙建筑群确定为山东省重点*物文**保护单位。2013年,拆除潍城区北门大街以东、向阳路以西、金巷子以南、城隍庙街以北的民居和建筑。按照相关规划,拆除后,该区域内将修复重建城隍庙、新建城隍庙“金银仓”文化老街等。有关部门在2014年编制了《城隍庙保护方案》。2017年启动城隍庙建筑群一期修缮工程,2018年5月30日完成。共投资360万元,集中对城隍庙建筑主体进行了修缮。如对残缺的墙体进行替补,对斑驳的柱子进行修复,屋顶瓦片更换了70%,屋内房梁更换了60%到70%。之前因为火灾和腐烂而损坏的木质材料,这次一并得到了修缮。这次修缮采用古法施工,本着“修旧如旧”的原则,最大程度还原了城隍庙以往的面貌。城隍庙二期修缮保护正在审批中。计划主要针对城隍庙的庭院,如对庭院内的整体设计进行恢复,假山、碎石、石碑、匾额、对联等力求恢复原貌。修缮工作完成后,将城隍、城隍夫人塑像陈列其中,并将原有的各类陈列补充完整。 ◎相关链接数次游历城隍庙 30多年见证变迁 1979年左右,笔者和几个同学相约去城隍庙观看挖出不久的大铁佛。那时的城隍庙在感观上已与附近的民居融为一体。沿着一条小过道拐来拐去,最后看到一尊大铁佛安放在一栋两层红砖居民楼后面的小空场上。这是笔者第一次去城隍庙。后来笔者得知,那年看到的大铁佛原为本地铁佛寺里的佛像。铁佛寺又称石佛寺,俗称南寺。大致在1980年以后不久,笔者再次看到大铁佛时,佛像已经安放在潍坊市博物馆即今十笏园博物馆西北部一处院落的南墙下。目前,大铁佛保存在今潍坊市博物馆内。城隍庙大铁佛背后的那栋红砖居民楼,系1977年潍坊市房管部门在城隍庙内过厅与正殿之间加塞增建的职工宿舍。2000年8月,笔者与另外两位地方历史文化同好去城隍庙探访时的状况为:正殿、后殿及两者之间的部分建筑虽显得有些破败,但基本为原来的样子,且好像仍由博物馆管理。隔窗相望,正殿像是堆放杂物的仓库。一位工作人员好像举家住在那五间后殿里以便于保护。过厅仍为原址原样,已经圈起院落,成了居民户。城隍庙的其他建筑物则早已拆除无存。上世纪三十年代标注面积1000多平方米的城隍庙湾,经过60多年增建住房、人进湾退式的不断蚕食,成为一处已经干涸的积水坑,面积约有50平方米。笔者最近一次去城隍庙是在2018年端午节小长假期间。城隍庙原址处为一处建设工地,但空无一人。笔者有幸就近看到了修旧如旧后的过厅。青瓦、顶饰物、青砖墙、红门窗历历在目,清代嘉庆年间潍县知县孙世栋题写并刻在廊柱上的楹联字迹清晰。十几年前过厅前的居民院落以及正殿前、过厅后加塞增建的职工宿舍都已经拆除并予以清理。笔者还远远看到正殿和正殿前出厦的顶端也已经完成修复,但因无法近前,看不到更多细节。观察工地周边情势,原址复建包括戏楼、小广场、牌坊、大门以及正殿前其他建筑物、全部恢复城隍庙建筑群都是有条件实现的。
历经沧桑老街面目已非

2013年以前,城隍庙街东端徐氏先祠原址一带,小吃店铺林立。

2013年以前城隍庙街上的肉火烧铺。
城隍庙街历经沧桑后几经变迁,至2013年这里的古旧民居和建筑基本拆除。因“城隍庙”而闻名的火烧至今依然为人们津津乐道,与人们的生活分隔不开了。 老街面貌几经变迁 城隍庙街变化巨大 1970年,笔者家迁至红旗街西段附近地带时,此处的基本地理面貌,与清末和上世纪三十年代对城隍庙街的标注和记载,大致是吻合的。明显不同处在于,具有我国漫长的传统时代特有的、仪式感的建筑,比如记载中的城隍庙庙前小广场、戏楼、牌坊、中军亭、庙门,以及陈应聘宅第门前的旗杆、上马石等等,当时都已拆除无踪。红旗街西段与附近其他古旧街巷的面貌并没有什么区别,丝毫看不出其曾为城隍庙所在地。1988年,拆除潍城区北门大街以东、向阳路以西、城隍庙街以南、东风大街(今东风西街)以北范围内的古旧街巷、建筑和民居。该*迁拆**范围内改造完成后形成的居民小区,也因庙而得名为城隍庙小区南区。当时,传统文化元素已经重新得到一定的重视和提倡。笔者曾见到城隍庙小区南区北沿的原城隍庙庙门对面一带,一栋居民楼北、储藏间的一列北墙专门装饰为流行款式的仿古墙模样,以彰显城隍庙在这一带的存在感。2013年,拆除潍城区北门大街以东、向阳路以西、金巷子以南、城隍庙街以北的民居和建筑。不久后,除了城隍庙原有的部分建筑物,城隍庙街以北的其他古旧民居和建筑物全部拆除。现在,该区域内的建设活动仍在进行中。两年前笔者去城隍庙街一带时,发现城隍庙街原址已与该地域附近的建设工地融为一体,但还可依稀辨认出其主路面及走向,书有“城隍庙街”字样的立柱式地名标志,仍可在城隍庙街东口看到。目前,城隍庙一带其他因庙而得名的地域和机构有城隍庙小区南区、城隍庙小区北区和城隍庙社区。 城隍庙火烧铺林立 渐成招牌名气远扬 笔者家迁至潍坊城里时,周围没有什么商业店铺,就连买个酱油、食盐什么的也要到七八百米外的蔬菜公司西门里(今东风西街)门市部去。大致在1972年还是1973年的样子,在红旗街西段仓巷子口以西路北不远处新开张一家火烧铺,早上制销肉火烧,中午制销瓤子火烧,门前悬挂着一块竖长方形的白色小牌子,上书“红旗西街居委会火烧代营店”字样。这是笔者第一次知道肉火烧、瓤子火烧这两种食品。肉火烧、瓤子火烧都用一种特制的、以煤炭为燃料的泥烤炉烤熟。当时,买一个肉火烧要花费八分钱、一两粮票,一个瓤子火烧则是六分钱、二两粮票。差不多在相同的时间里,笔者家附近的几条街道上陆续开业了七八家商业店铺,距离笔者家几百米,日常生活中必不可少的购买活动顿觉方便了不少。笔者能回忆起名字来的有“红光街(今东大街)居委会国营食堂代营店、肉食品代销店”,“胜利路(今北门大街)居委会百货、油盐酱菜、水产代销店”等。1980年以后,随着个体私营商业网点的兴起和发展,潍坊城一带的居委会代营店、代销店在市面上逐渐消失。城隍庙街两旁陆续开了不少个体私营火烧铺,鼎盛时共有十几家,有的专营肉火烧和菜火烧,有的专营瓤子火烧;有的制销普通火烧,有的制销酥皮火烧;有的用传统泥烤炉,有的用电烤炉。多家火烧铺以“城隍庙”的招牌招徕食客。城隍庙街逐渐成为潍坊城一带火烧铺相对集中的地域,也拥有了响亮的名声。本地人在这里一般不太区分什么品种的火烧,只是按照自己的口感喜好来选择。而许多外地人来潍,会专程前往城隍庙街,慕名品尝肉火烧。这种状况一直持续至2013年城隍庙街全部*迁拆**时。 ◎相关链接潍坊的三代店 1956年,潍坊市基本完成私营商业的社会主义改造,商业全行业转为公私合营和合作经营,成立了10个公私合营总店。1958年合作商业转为国营。从此,国营商业总揽商品流通领域,并对集体商业采取人员不增加等限制措施。“*革文**”初期,个体小商小贩被当作“资本主义尾巴”予以取缔。潍坊市面上直接服务于民众生活的小规模商业网点几乎绝迹。1972年,潍坊市商业部门发动街道居委会及有条件的工厂企业兴办代购、代销、代营店,称为三代店。专为国营商业代销部分日用生活品,代购废旧物资,代营饮食服务。到了1975年,三代店发展到400个,从业人员1120名。其中各公社街道居委会兴办215个,厂矿企业兴办185个。行业包括百货代销店162个,蔬菜代销店17个,肉食品代销店20个,水产品代销店10个,土产杂品代销店12个,废品代购店47个,饭食代营店71个,面食加工点48个,茶水炉带烩干粮店9个,理发店5个。郊区农村生产大队兴办代购代销店34个。直接服务于民众生活的商业网点得到一定程度的恢复。1976年,潍坊市三代店代销总金额550万元,占国营同类商品营业总额的21%;代购总额14.5万元,占国营同类收购额的16%;代营总金额134万元,占国营饮食业营业额的25%。1975年12月,国家商业部在潍坊召开了全国城市代购、代销、代营店经验交流会。28个省、市、自治区和部分大、中城市代表参加。潍坊市代表做了典型发言。会议对潍坊市发展三代店的经验给予了很高的评价。本期资料来源:清光绪《潍县乡土志》、《潍县志稿》、《潍坊市街道、居民点、桥梁名称表》、《潍城文史资料》、《潍城区地名志》、《潍城区志》、《沧桑拾遗》、《潍坊*物文**博览》、《潍坊文化志》、《辞海》,寒亭区文管所崔永胜对相关部分的梳理有帮助。
本期图片均为王瑞甫提供
撰稿:王瑞甫
编辑 付宁