在看到有朋友成功获得ACT的Matrix邀请后, 有朋友咨询关于堪培拉担保的申请材料和注意事项,我们为大家整理出相关内容。

首先堪培拉州担保审核比较严格,所有材料必须在递交前准备完整,具体包含以下内容以及注意事项:
1. 递交给移民局的EOI;
2. 递交完EOI之后出的分数建议表;
3. 如果是经常往返澳洲,则需要一份国际旅行记录;
4. 职业评估结果信;
5. 护照首页;
6. 银行账单;
- 银行账单必须显示在堪培拉居住,包括消费以及账单的支付;
- 必须同时体现工资的收入,需要与工作时间和收入一致;
(如果是需要通过在堪培拉居住加分,则需要提供每年的银行账单,从且需要包括从开始递交Matrix到获邀的)
7. 简历;
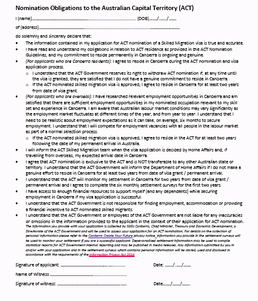
8. 签署获得ACT州政府担保的义务;

9. 签署Statutory Declaration :
需要雇主确认雇佣的真实性,则需要雇主的声明文件,如果是自雇,则需要本人的雇佣真实性声明文件;
10. 工作时间总结(非常重要):
- 工资到账必须与银行账单显示的一致;
- 必须显示详细的工作时间;
- 如果期间有未付工资的请假时间必须留有空白并且附上医院证明;
- 如果是为多个雇主工作则需要每个工作出一份单独的工作时间表;

11. 在堪培拉的居住时间:
需要详细计算一年内在ACT的时间以及离开超过7天的时间;

12. ACT工作证明
- 雇员需要提供所有的工资单来证明工作的时间,如果是连续的在银行账单上能显示工资的工作则只需要提供第一份,中间一份和最后一份工资单;
- 现金支付的工作如果是拿到现金之后会固定存到银行卡上的也需要提供第一份,中间一份和最后一份工资单;
- 需要提供一份纳税单,如果没有纳税单那么现金支付的工作将无法被ACT州政府认可;
- 自雇需要提供ABN,公司的税单,客户的信息,工作的记录;还需要提供在税务局备案的12个月的经营情况证明;每周500澳币(兼职)或者一周1000澳币(全职)的最低工资证明;
13. 英文成绩的证明;
14. 配偶的详细信息(如适用)
- 如果配偶也同时为申请人加分,则需要满足上述的居住工作要求也需要同时提供一份配偶的详细资料;
- 承诺在堪培拉居住的声明—申请人需要用不到2页纸用自己的语言来形容自己在拿到永居之后在堪培拉会继续居住2年;
- 现在的签证信;
- 经济情况的证明:需要声明自己有足够的资金可以在ACT居住并生活;
