作者:朱国祥(上海市南市区教育学院,特级教师)
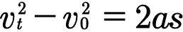
关于匀变速直线运动,高中一年级物理课上主要介绍了三个公式,即:
s= v₀t +½at²、vₜ=v₀+at、

图片
要注意其中只有前两个公式是独立的,后一个公式可由上两式消去时间t而推出。这里,共涉及五个物理量,即位移s、初速度v₀ 、末速度vₜ、加速度a和时间t,而每个公式中只出现其中四个量。于是,只要已知这五个物理量中任三个量,就可解出另两个量。当然,这只是指一个质点的同一运动过程来说的。由于问题的提法的复杂性,在解题时往往还要注意区分不同物体的运动过程、同一物体的不同运动过程等等。下面谈谈解题的一般步骤和应加注意的问题。
1. 认真审题,弄清楚物体运动的性质,画示意图,图中要把物体的起始位置及终了位置的位移和速度标出来,并把时间和加速度标出来。根据题意确定已知量及待求量,应用适当公式列出方程。这种方法对于分步计算比较困难的习题更为重要。

例题1
图片
[例1]一物体从塔顶自由落下到达地面,它在最后一秒内通过的路程是全程的9/25,求:(1)塔的高度;(2)物体落到地面时的速度(g取10米/秒²)。
解 这是一个自由落体问题,整个过程是初速为零的匀加速直线运动。物体自塔顶A落到地面C的时间为t秒,通过的路程AC即塔的高度s₂;物体自塔顶A落下经过(t-1)秒(除去最后一秒的时间),通过的路程AB即s₁ ,则最后一秒通过的路程为BC=s₂-s₁

表1
图片
根据运动方程和已知条件,可有

图片
解这组方程,得:
t=5秒,s₂=125米,vₜ=50米/秒。
读后感
大约在1604年,伽利略发现了自由落体运动定律。
……由静止开始的匀加速直线运动——“天然的加速运动”,物体开始下落计时后某一时刻的速度与时间成正比(任意相等时间间隔内速度的增量都相等),比例系数被定义为“加速度”,且这段时间内,运动的平均速度为末速度的一半。对该结论的证明延续了古希腊的几何学传统,实质上已经奠定了后世解析几何与微积分手段的雏形。
这套几何描述的一个自然而然的结论:由静止开始的匀加速直线运动,从出发点计时到任意位置的距离正比于时间的平方——如果这个匀加速运动是自由落体,那么这就是所谓“自由落体定律”。它还有一个在经验世界可供检验的推论:从静止开始,任意相邻相等时间间隔内的运动距离之比为1:3:5:7:9……恰好构成一个奇数列——这是一个毕达哥拉斯式的发现。
……
李轻舟 著《德尔斐的囚徒:从苏格拉底到爱因斯坦》摘录
因为1+3+5+7+9=25,所以t=5(秒)
所以答案就像水晶一样透明……
2. 如果物体的运动不是只经历一个过程,就要弄清楚每个过程的运动性质以及各个过程之间的联系,前一过程的末速度就是后一过程的初速度。解题时,要分别就各个过程列出方程,并考虑各个过程之间的相互联系。
[例2]火车由甲站出发,先以匀加速运动行进5分钟,后以匀减速运动行进2分钟到达乙站。已知甲、乙两站距离为3.5公里,求火车的最大速度。
解 火车从A点(甲站)静止出发,速度逐渐增大到达 B 点;又以匀减速前进,速度逐渐减小。因此火车在 B 点时速度最大。分别就 AB 及BC两个过程列方程。

例题2
图片

表2
根据运动方程和已知条件,可有

图片
把已知量t₁=5分钟、t₂=2分钟、 s=3.5公里代入上述五式,解方程组得
v=1公里/分=17米/秒。
3. 有关两个运动物体的问题,应分析各个物体的运动性质,分别列出两个物体的运动方程,并找出它们之间的联系,列出方程,从中解得需求的量。
[例]两个骑自行车的人相向行驶,一个人以18公里/小时的速度开始沿斜坡向上运动,加速度是﹣0.10米/秒²,另一个人以4.5公里/小时的速度开始沿斜坡向下运动,加速度是0.10米/秒²。如果山坡的长度是187.5米,那末经过多少时间,和在山坡上什么地方,他们才会相遇?
解 甲自 A 点以初速v₁、加速度a₁向上坡作匀减速运动,乙自 B 点以初速v、加速度a向下坡作匀加速运动,他们在斜坡上 C 点相遇。由已知,他们分别从A到 C ,从 B 到 C 所经历的时间相等;他们通过的路程s及s之和等于斜坡长度s。找出了他们运动过程之间的联系并列出方程,再分别列出他们的运动方程,解这组方程可得到需求的量。

例题3
图片

表3

把已知量 v=18公里/小时=5米/秒, v=4.5公里/小时=1.25米/秒,a=-0.10米/秒, a=0.10米/秒,s=187.5米代入,解方程,得
t=30秒,s=105米,s=82.5米。
4. 用相对运动的原理,可以使较难的问题变得容易考虑 。
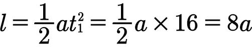
[例4]列车从静止开始,作匀加速运动。站在列车前端的观察者知道第一节车厢驰过身旁需4秒,问第n节车厢驰过身旁需要多少时间?(车厢间距离不计。)

解 这个问题中,人静止不动,列车以加速度 a 向左作匀加速运动。根据运动相对性原理,可以认为列车静止不动,人从静止开始以加速度 a 向右作匀加速运动。那末,这个问题就变为一个普通的初速为零的匀加速直线运动了。
设每节车厢的长度为l,人从静止开始以加速度 a 走过第一节车厢的时间为t=4秒,

图片
人从静止开始以加速度a走过n

紧接上文
图片
文章来源:
上海科学技术出版社,《数理化生园地》1983年第3辑,“解题方法谈”。
推荐阅读下面的文章:
https://m.toutiao.com/is/rrGrf13/ - 自由落体运动最后n秒问题探究 - *今条头日**
科学尚未普及,媒体还需努力。感谢阅读,再见。