安盛卓越环球是大陆市场存续时间最久的高端医疗险之一了,早期积累很多铁粉客户,当然安盛给客户提供的高服务品质也相当对得起这么多年的老客户。
安盛卓越环球的突出特点:
(1)核保尺度宽,对三高和慢性病患者比较友好
(2)产品费率增长稳定,还推出“无理赔折扣”,类似买车险一样,无理赔保费会越来越便宜
(3)支持全球保单迁移,比如现在中国居住,以后移民到英国了,可以免核保进行保单迁移
(4)各年龄段新单投保不强制体检,非常适合年龄偏大的人投保
(5)费率区分北京版和非北京版,非北京版保费更便宜
(6)中医治疗额度比较高,含常规体检和疫苗额度
(7)新世纪儿童不属于昂贵医院,可以只买单独住院计划,保障责任和费率比较稳健
(1)安盛卓越投保规则:
①投保年龄: 出生15天—65周岁
无强制体检要求。
未成年人不可单独投保。
医生、护士或医疗机构从业人员谨慎选择。
孕妇可投保,要通过核保,除外生育及相关并发症
②家庭共同投保:
附属被保人的计划及保障责任不得超过主被保险人(包括可选责任)
③等待期
门诊和住院无等待期,孕产180天等待期。
④生效日
最早生效日为保费到账次日,可指定生效日。
⑤新单费率折扣
3人及以上95折。
⑥新生儿加保
新生儿出生满15天进行加保
⑦无理赔折扣
第一年5%,第二年 10%,第三年 15%,第四年 20%(体检、疫苗责任将不计算在理赔金额中)
(2)安盛卓越福利:
安盛卓越按保障区域分为三个计划,中国计划(含港澳台)、国际计划(全球除美)和全球计划,保额从1200万到2500万。
中国和全球除美又分为经典和精英计划,其中精英计划更高端一些,可覆盖昂贵医院。全球含美计划默认覆盖昂贵医院。
精英计划昂贵医院可选自付20%或不自付——调节价格用。
可设置0免赔或1万5免赔——调节价格用。
住院保障基本上没有单项限额。门诊三个计划额度分别是4.5万、9万、18万。

(3)安盛卓越费率:
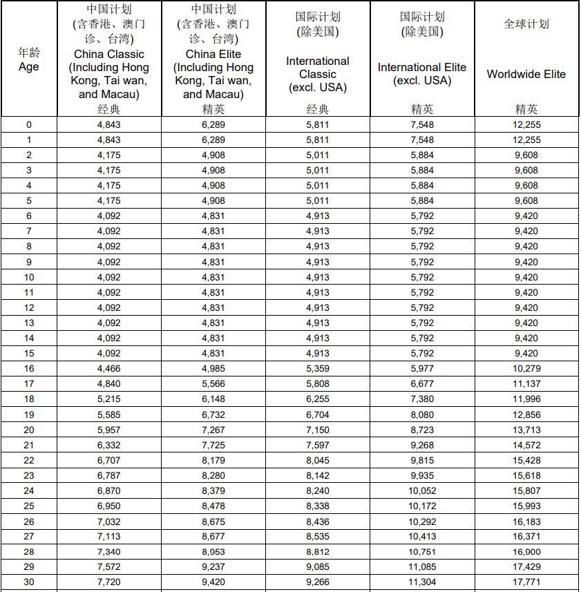
中国经典纯住院计划,0免赔,费率:

比如:
北京的30岁妈妈+30岁爸爸+0岁女儿,选择中国经典计划,纯住院,家庭总保费(7720+7720+ 4843)*0.95=19268.85元,保费比较实惠。
天津的30岁妈妈+30岁爸爸+0岁女儿,选择中国经典计划,纯住院,家庭总保费(7297+7297+ 4577)*0.95=18212.45元,保费比北京版便宜了一千多。
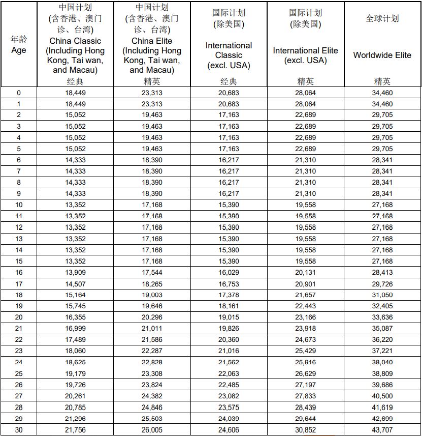
中国经典住院+门诊计划,0免赔,费率:

比如:
北京的30岁妈妈+30岁爸爸+0岁女儿,选择中国经典计划,住院+门诊,家庭总保费(21756+ 21756+ 18449)*0.95=58862.95元,比MSH经典计划便宜多了。
天津的30岁妈妈+30岁爸爸+0岁女儿,选择中国经典计划,住院+门诊,家庭总保费(20564+ 20564+ 17438)*0.95=55637.7元,比北京版便宜了三千多。
(4)温馨提示:
① 中国计划的门诊额度适中4.5万,其中中医和针灸每年最多10次,每次就诊限额1000元;常规体检和疫苗共用3000元。
国际计划门诊额度9万,中医和针灸没有单项限额,限12次就诊;体检和疫苗共用4000元。
② 可选齿科不推荐,需要的时候可买单独的齿科保险
③ 孕产责任等待期180天,额度3万在略好一点的医院可能不太够
④ 住院方案可选智能核保,核保更友好,带门诊的方案是严格医学核保
⑤ 中国计划不含精神病治疗,国际计划和全球计划覆盖,等待期180天
⑥ 康复治疗每年最高赔付28天
⑦ 住院责任含 义肢/人造假肢的费用是“全额赔付”,在很多医疗险里,会区别“内置”和“外置”,很多高端医疗险对“内置”设备没有限额,但对“外置”是有要求的。卓越环球并没有限制此项。
⑧ 最新昂贵医院名单:
(1) 和睦家
(2) 莱佛士
(3) 上海东方国际医疗中心
(4) 上海、北京天坛普华医院
(5) 北京国际医疗中心
(6) 百汇医疗(除成都鹰阁医院和成都百汇馨康门诊部)
(7) 港安医院
(8) 香港明德医院、香港养和医院
(9) 上海国际医学中心
(10) 上海红枫国际妇儿医院
(11) 港怡医院、香港浸信会医院
(12) 上海德达医院
另外,有限制医疗的机构,有三家: 上海王志伟中西医结合诊所、上海五雷中医诊所、亚洲专科医生 。在这三家诊所就医不承担任何费用。
总结 :
安盛卓越环球适用人群:
①年龄偏大又不愿意接受体检的朋友们。
②喜欢中医治疗的朋友们。
③想拥有稳定的住院责任医疗险的朋友们。
④带孩子投保想覆盖新世纪儿童医院的朋友们。
⑤有移民计划,希望保单全球迁移的朋友们。
……