在阅读此文前,诚邀您请点点右上方的“关注”,既方便您进行讨论与分享,还能及时阅读最新内容,感谢您的支持。
宇宙中几乎每个星系的中心区域,都存在一个质量约为百万到几十亿倍太阳质量的超大质量黑洞。 宇宙中许多观测现象与星系中央的超大质量黑洞有关,一个典型的例子就是活动星系核。
星系中心区域有一个极小而极亮的核,有强的非热连续谱,这类天体被称为活动星系核 。活动星系核种类繁多,不同的观测特性有不同的命名, 但在观测上主要分为4种类型: 射电星系、塞弗特星系、类星体和蝎虎BL Lac天体。射电光度超过约1034 J¨s´1的星系称为射电星系。

星系团中的气体冷却时间小于109 a。在忽略加热的情况下,Fabian在1994年提出了一种冷却流模型, 他指出气体会冷却到对应于X射线辐射的温度以下,被吸积到星系团中间形成分子云,从而形成恒星。 冷却流气体的主要特征是向内衰减的温度梯度和较短的中心冷却时间。
但是Chandra和ASCA望远镜以及高分辨率的XMM-Newton望远镜发现, 某些源中气体流的温度并没有像预计的那样低于2 ke V,这意味着星系团内的气体存在着某种加热机制。
人们通过XMM-Newton和Chandra望远镜发现 ,在星系团的中心星系存在一些能量约为1048„1055J的巨大X射线空洞,为星系团内介质冷却被有效抑制,及活动星系核反馈在星系形成和演化过程中的作用提供了直接观测证据。

来自活动星系核中央黑洞吸积盘的喷流被认为是形成这些X射线空洞的原因。 因此,这些X射线空洞与周围热气体的作用可以提供一种十分有效的方法来测量喷流所注入的能量。 观测上可通过测量空洞的体积以及浮力上升的时标来估算喷流的平均功率。
星系团中气体的辐射冷却时标通常远小于哈勃时标,理论上这将不可避免地形成大量内流冷气体,但这与高分辨率的X射线观测结果相矛盾。 观测表明,在这些星际介质中必须有某个未知的加热源来平衡其辐射冷却。
X射线波段观测到的这些空洞在膨胀及上浮的过程中,会对周围的星际介质进行加热。一些研究表明, 该加热过程足以有效抑制星际介质的灾难性冷却。 与成对的射电瓣类似,X射线空洞也经常成对地出现,其直径从数kpc到几百kpc不等。

一些观测表明X射线空洞与AGN的射电瓣间有非常好的空间吻合关系, 这间接证明了来自AGN的反馈是星际介质加热过程中的重要能量来源。
相对论性喷流形成需要两个条件: (1)快速转动的黑洞或吸积盘;(2)大尺度磁场。 在近几十年,许多工作研究活动星系核中的喷流形成机制,并提出了许多喷流形成的理论模型。
它们基本上可以分为两类 :Blandford-Znajek机制和Blandford-Payne机制。 这两类模型都需要大尺度且有序的磁场存在,不同的是前者提取的是黑洞转动能,由坡印廷能流主导,几乎不含物质成分;而后者是由物质成分主导,提取的是吸积盘的转动动能。

MS 0735+7421中存在一个巨大的X射线空洞,它存储着大约有1055 J的能量,存在的时间大约为108 a, 是最大的活动星系核能量爆发事件之一。
如果MS 0735+7421中存在一个5ˆ109Md的黑洞,它的喷流的平均能量约为1039 J¨s´1,是其爱丁顿光度LEdd的2%。然而, 观测表明这个活动星系核的光学波段辐射非常低,LIă2.5ˆ1035J¨s´1。
这意味着它此时的吸积率太低,无法产生1039 J¨s´1量级功率的喷流。众所周知,黑洞喷流的能量与黑洞吸积盘的吸积率有关,并且黑洞质量的增长与其吸积率有关。

MS 0735`7421中央黑洞质量为5ˆ109Md,如果黑洞在质量增长过程中存在一段吸积率相对较高的时期,那么它的吸积率或许足以产生约为1039 J¨s´1的喷流。本文利用最近提出的随机吸积-喷流模型, 模拟黑洞质量增长过程喷流提供给X射线空洞的能量,以重现目前空洞存储的内能,并探讨MS 0735+7421中活动星系核的喷流形成机制。
通常情况下如果不考虑电荷量,黑洞具有两个内禀属性,即质量M和角动量J。 黑洞周围的时空性质可根据这两个基本参量通过Kerr度规进行描述。 黑洞周围具有很深的引力势阱,周围气体会被黑洞的引力俘获向黑洞掉落。
在掉落的过程中由于气体相对于黑洞具有一定的角动量,因此并不会自由落体般地直接进入黑洞,由于角动量守恒,气体会在黑洞的周围形成一个吸积盘。黑洞通过吸积盘不断吸积气体,其质量增长及自旋演化可由下面这组方程进行描述:

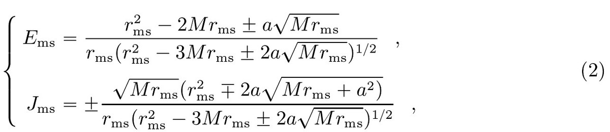
其中,Ems及Jms分别是吸积盘最内稳定轨道上单位质量的物质所携带的能量及角动量,M是被黑洞吸积物质的静止质量。在最内稳定轨道以内, 物质将携带着这些能量及角动量进入黑洞,这里我们不再深入考虑黑洞吸入区的复杂物理过程。 最内稳定轨道上的特征能量及角动量可以表示为:

其中,a”J{Mc为黑洞的比角动量。rms是吸积盘的最内稳定轨道半径,其可以表示为:

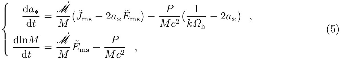
当黑洞周围存在大尺度磁场时,进入黑洞能层的大尺度磁场可以提取黑洞的转动能量,此时黑洞质量及自旋的演化中我们必须考虑由磁场导致的黑洞能量及角动量损失。因此式(1)中需要加入如下修正项:

其中,k是一个小于1的常数,

为黑洞的角速度,P是BZ喷流的功率。
通过选取适当的无量纲参数,可将式(4)改写为:

其中,使用的无量纲参数定义如下:

如果黑洞自旋方向与吸积盘转动方向一致,这种吸积过程称为正向吸积;反之,如果黑洞自旋的方向与吸积盘转动方向相反, 这种吸积过程称为逆向吸积。
随机吸积过程,顾名思义,就是黑洞的吸积在某个时间段是正向吸积的过程,经过演化可能变为逆向吸积,或继续正向吸积;反之若黑洞在某个时间段是逆向吸积的过程,经过演化可能继续逆向吸积,也有可能变为正向吸积。

之前很多学者都认为磁场强度的量级与吸积盘内气体压或辐射压量级相同。 Livio等人在1999年指出,Ghosh和Abramowica过高地估计了BZ机制的喷流能量大小;他们过高地估计吸积盘内区的磁场强度,导致BZ机制产生的喷流能量偏大。
大尺度的磁场强度与吸积盘的厚度有关,由薄盘的发电机机制形成的磁场强度较低。 假设吸积盘表面的磁场环向分量量级与极向分量的量级相同,就可以用来估计吸积盘提取的最大喷流能量。

Mc Namara等人认为BP机制无法产生目标源的喷流能量。所以在本文中, 我们选择BZ机制作为吸积盘的喷流形成的主要过程。 由于磁压的最大值受黑洞吸积盘的限制,当k“1{2时,BZ模型的喷流功率最大,我们可以得到,喷流功率的最大值为:

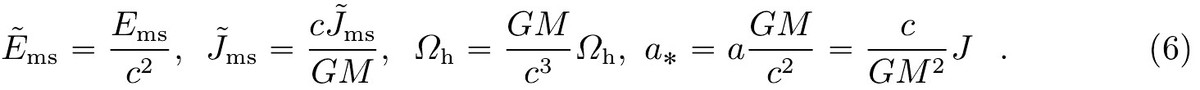
其中,˜rh“c2rh{GM“1`p1´a2q1{2是无量纲的黑洞半径,M9“M{109Md,Pd,max为吸积盘的最大压力。 根据标准盘理论,当黑洞吸积率高于临界吸积率9mc时,吸积盘的最大压力可用如下公式近似描述:

其中,9m“9M{9MEdd,η9MEddc2”1.3ˆ1040M9J¨s´1,η“1´˜Ems,α为粘滞参数。临界吸积率9mc定义为:

其中,R1«˜rms´3{2,R2«˜rms´52{20。将式(8)代入式(7)可得喷流的最大功率为:

将式(10)代入式(5),可得考虑喷流修正后的黑洞质量及自旋演化方程(时间以a为单位):

第2章介绍了主要的模型,通过求解式(11)我们可以得到考虑喷流情况下黑洞质量及自旋随时间的演化。 粘滞系数α的具体取值仍然不清楚,磁流体数值模拟给出了一个很大的取值范围 ,如α“0.01„1。

图1 随机吸积情况下黑洞质量随时间的演化
在所有计算中我们采用粘滞系数α“0.01,不考虑吸积盘内边界上可能存在的其他力矩作用,即物质掉入黑洞中携带的角动量等于其在最内稳定轨道上具有的角动量。
我们设定该黑洞喷流活动的时标是108 a,计算了持续吸积过程喷流贡献的总能量,同时在随机吸积过程中我们考虑了不同的单次吸积周期时长,即τ“107a、τ“5ˆ106a及τ“106a三种情况, 计算中黑洞的总吸积时标为108 a,该时标由多个周期长度为τ的吸积过程组成,不同吸积周期之间是连续的,区别在于不同的吸积周期中吸积盘的角动量方向是随机的。
图1是随机吸积下黑洞质量随时间的演化,我们选择不同的初始黑洞质量,使得其在经过108a的吸积活动后质量刚好达到5ˆ109Md。

图2 a)为随机吸积情况下黑洞自旋随时间的演化;b)为随机吸积情况下喷流最大功率随时间的演化
由图1可知,黑洞在随机吸积过程中单次吸积周期τ越短,其质量增长就越快,初始的黑洞质量就更低;反之则需要初始的黑洞具有较大的质量才能在0.1 Ga的时间内增长到5ˆ109Md。当τ相同时,爱丁顿比9m越大,则黑洞质量增长越快,即初始黑洞质量更小。
图2a)为随机吸积过程中黑洞自旋随时间的演化,对于相同的吸积周期τ,爱丁顿比9m越大则黑洞的自旋能越大,这是由于在相同的时间内黑洞吸积的物质越多,则进入黑洞的总角动量越多,因此黑洞的自旋快速增加。

图3 随机吸积情况下黑洞喷流总能量随时间的演化
而对于不同的吸积周期τ,由于在最内稳定轨道上,处于顺行轨道时单位质量的物质携带的角动量显著小于处于逆行轨道时单位质量的物质携带的角动量,因此随机吸积过程具有降低黑洞自旋的效应,即τ越短则黑洞自旋大小的平均值越接近于0。
图2b)为喷流的最大功率随时间的演化,从图中可以看出在吸积周期τ“107a及τ“5ˆ106a两种情况下,在较长的时间内,喷流的最大功率可以超过1039 J¨s´1。 当τ“106a时其最大功率均小于3ˆ1039J¨s´1,这主要是由于当τ比较小时随机吸积的自旋减速效应使得黑洞整体的自旋都比较低,而喷流的总功率强烈依赖于黑洞自旋的快慢,这使得黑洞喷流的最大功率较小。
图3为喷流的总能量随时间的演化,从图中我们可以看到,对于吸积周期


两种情况 ,最终喷流的总能量可以超过1055 J,这与观测上MS 0735`7421的X射线空洞中储存的能量大致相当, 可以很好地解释该观测结果,而对于τ“106a这种情况,其最终所能达到的总能量小于1055 J。
因此如果该源中心的黑洞经历过多次的随机吸积过程,则随机吸积过程的周期不能太短,太短则最终喷流的总能量无法解释目前的观测。我们还计算了持续吸积情况下黑洞相关参量随时间的演化,见图4及图5。

图4 持续吸积情况下黑洞质量随时间的演化
相比于随机吸积过程,持续吸积要求初始的黑洞质量超过109Md,最终黑洞的自旋较快,喷流的总能量可以超过1055 J。
但我们仍然不清楚质量高达109Md的黑洞形成过程,同时,基于持续吸积过程形成的X射线空洞,其中央黑洞现在是一个自旋a˚«1的黑洞,预期会有很强的喷流, 这似乎与观测不符。我们认为MS 0735+7421的X射线空洞很可能是由中央超大质量黑洞的随机吸积形成的喷流所提供的能量。

图5 持续吸积情况下黑洞相关参量随时间的演化
我们在模型计算中假设中央星系一直处于活动状态,实际上星系应当只有部分时间处于活动状态,但对于MS 0735`7421这个具有极高能量X射线空洞的系统, 其中央星系可能比较特殊,或许一直处于活动状态,即duty cycle约等于1。
因而我们的计算结果可能是实际情况的上限,这是值得进一步研究的问题。此外,我们的模型计算只考虑BZ过程的贡献,因为一般情况BZ过程的能量远高于BP过程;但对于a˚«0的情况,BP过程会更重要,如果我们把BP过程产生的能量也计算进去,则总能量会比目前计算结果更大,这样即使我们采用一个较小的duty cycle,仍然能够解释观测到的这个X射线空洞的能量, 在今后的工作中我们将讨论通过BP机制形成的外流对X射线空洞形成的作用。
参考文献
[1] Armitage P J,Natarajan P.Ap J,1999,523:7
[2] Allen S W,Dunn R J H,Fabian A C,et al.MNRAS,2006,372:21
[3] Blandford R D,Znajek R.MNRAS,1977.179:433
[4] Blandford R D,Payne D G.MNRAS,1982.199:883