据我国国家癌症中心以往的数据显示,国内超过86%的肝癌与乙肝病毒感染有关。可见,乙肝病毒感染是导致我国肝癌的主要病因。
因此,慢乙肝患者除了要控制乙肝病毒载量外,还应该防范肝癌的发生。而长期的抗病毒治疗,能够起到降低乙肝患者肝癌发生风险的作用。但是,不同的核苷(酸)类似物(NA)在降低肝癌风险效果方面,却存在着差异,即使两者同为慢乙肝一线用药。

去年,一项发表在JAMA Oncology杂志上的韩国全国队列研究显示,在成人慢乙肝人群队列研究中,替诺福韦治疗组比恩替卡韦治疗组降低肝癌风险更为显著。类似的结论,在美国底特律Henry Ford医院Stuart C Gordon学者对亚裔乙肝患者的研究中,也得到验证。
那么,我国用不同NA治疗的乙肝人群,其患HCC的风险是否也与上述两项研究类似呢?
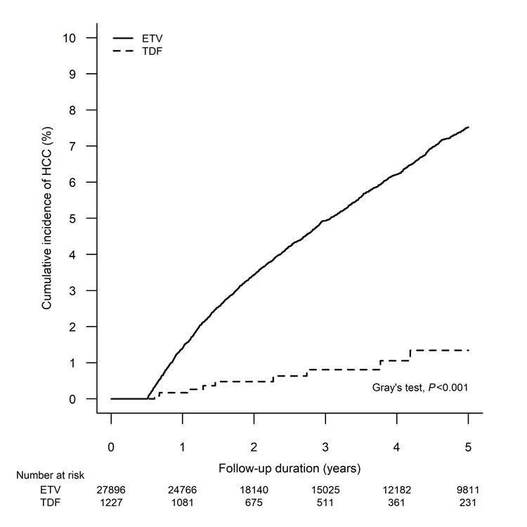
香港中文大学黄丽虹教授团队,通过香港公立医院、诊所的住院和门诊患者数据中,筛选出2019年期间,首次接受ETV或TDF治疗,治疗时间超过6个月的慢乙肝患者进行研究分析,最后得出结论:香港全地区的慢乙肝患者中,TDF治疗后患者的HCC风险显著低于ETV治疗的。

TDF和ETV治疗后的HCC累积发病率
可见,不同的核苷(酸)类似物(NA),降低肝癌发生风险确实存在着差异。不过,这一结论也只对强效低耐药的核苷(酸)类似物(NA),也就是研究中所用的TDF及恩替卡韦,此外,强效低耐药的口服抗病毒药物还有一个TAF,这三者均是欧洲及美国等权威肝病指南推荐的乙肝一线用药,是目前乙肝抗病毒药物中典型的强效零耐药药物。值得一提的是,TAF是TDF的升级版,在TDF效果的基础上,直接靶向作用于肝脏,除了持续强效抑制乙肝病毒外,还显著提高了转氨酶复常率,肾脏骨骼安全性也得到了提升,TAF或可以进一步降低肝癌发生风险。
至于恩替卡韦与其他非强效低耐药的核苷(酸)类似物(NA),如拉米夫定、阿德福韦酯和替比夫定,以往也做过多项类似的研究比较,结果并没有发现在降低肝癌的风险方面,恩替卡韦与其他非强效低耐药的口服抗病毒药物之间存在着显著的差异。即不管是使用恩替卡韦治疗,还是选用拉米夫定、阿德福韦酯或替比夫定,肝癌的发生风险差异不大。