一、概述
1.定义 凡是可以使信号*特中**定的频率成分通过,而极大地衰减或抑制其他频率成分的装置或系统都称之为滤波器,相当于频率“筛子”。

上海衡丽

上海衡丽
2.分类

上海衡丽
幅频特性如下

上海衡丽
频率通带:能通过滤波器的频率范围 频率阻带:被滤波器抑制或极大地衰减的信号频率范围。 截止频率:通带与阻带的交界点。
2)按物理原理分:机械式、电路式
3)按处理信号分:模拟、数字
3.滤波器的作用 1)将有用的信号与噪声分离,提高信号的抗干扰性及信噪比; 2)滤掉不感兴趣的频率成分,提高分析精度; 3)从复杂频率成分中分离出单一的频率分量。
二、理想滤波器与实际滤波器

上海衡丽

上海衡丽
1.理想滤波器的频率特性 理想滤波器:使通带内信号的幅值和相位都不失真,阻喧内的频率成分都衰减为零的滤波器,其通带和阻带之间有明显的分界线。如理想低通滤波器的频率响应函数为
理想滤波器实际上并不存在。
2.实际滤波器 实际滤波器的幅频特性如下图所示

上海衡丽
实际滤波器的特性需要以下参数描述:

上海衡丽
①信频程选择性:与上、下截止频率处相比,频率变化一倍频程时幅频特性的衰减量,即

上海衡丽
信频程选择性总是小于等于零,显然,计算信量的衰减量越大,选择性越好。
②滤波器因素 :-60dB处的带宽与-3dB处的带宽之比值,即

上海衡丽
③分辨力:即分离信号中相邻频率成分的能力,用品质因素Q描述。

上海衡丽
3.实际带通滤波器的形式
①恒定带宽带通滤波器:B=常量,与中心频率f0无关。
②恒定百分比带通滤波器:
在高频区恒定百分比带通滤波器的分辨率比恒定带宽带通滤波器差。

上海衡丽
三、RC无源模拟式滤波器
1.一阶RC低通滤波器

上海衡丽

上海衡丽

上海衡丽

上海衡丽
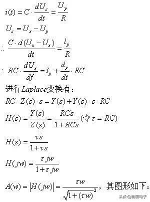
2.一阶高通滤波器

上海衡丽

上海衡丽

上海衡丽

上海衡丽
3.带通滤波器
将RC低通和高通滤波器串联起来,就可以组成RC带通滤波器。

上海衡丽

上海衡丽
四、数字滤波器简介
数学滤波:通过一定的计算方法和计算程序对离散信号进行加工,将其改造成新要求的。离散信号,有低通、高通、带通、带阻之分。数字滤波是对模拟滤波的一种模拟。如模拟RC低通滤波器,输出与输入的关系式为:

上海衡丽
该内容是小编通过网络搜集资料整理而成,如果你还想了解更多关于电子元器件的相关知识及电子元器件行业实时市场信息,敬请关注微信公众号 【上海衡丽贸易有限公司】
